-
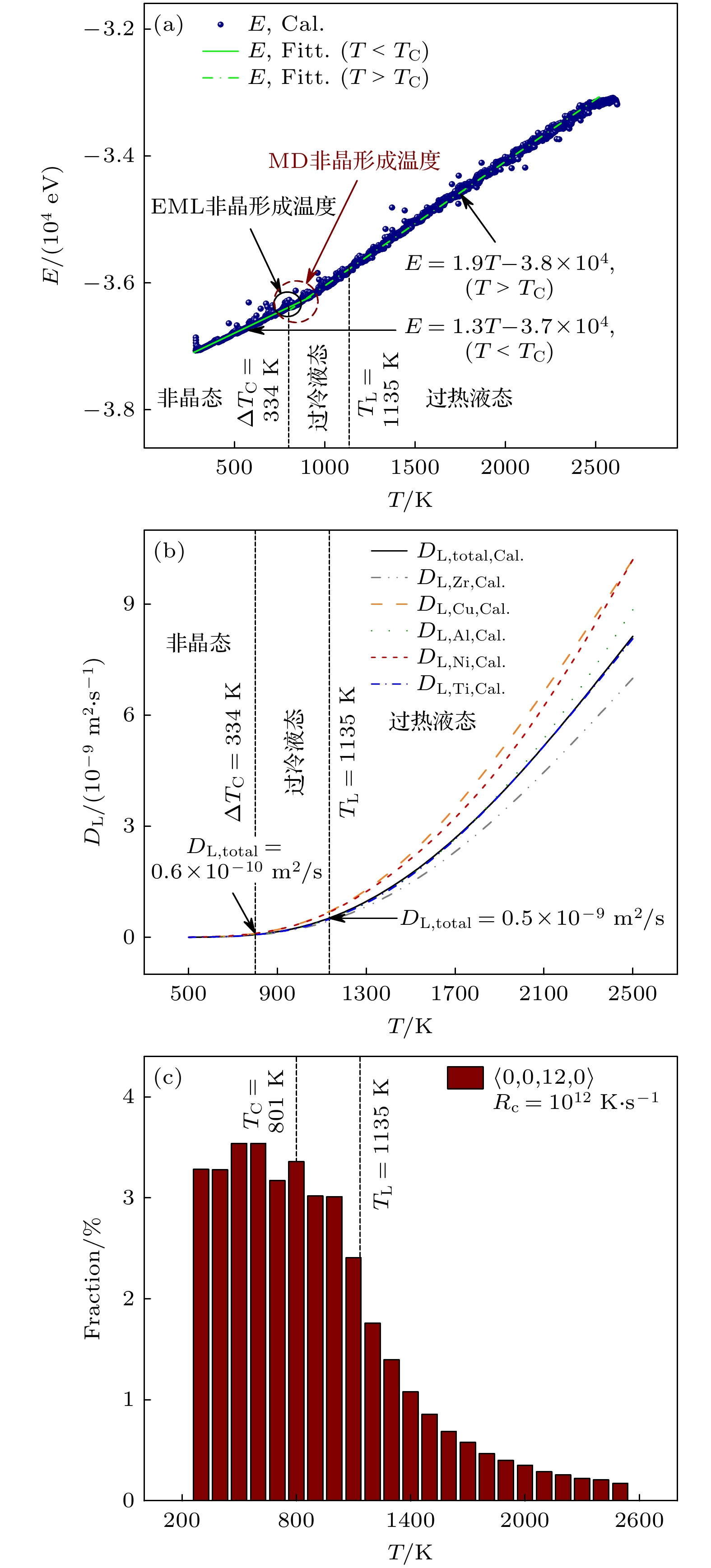
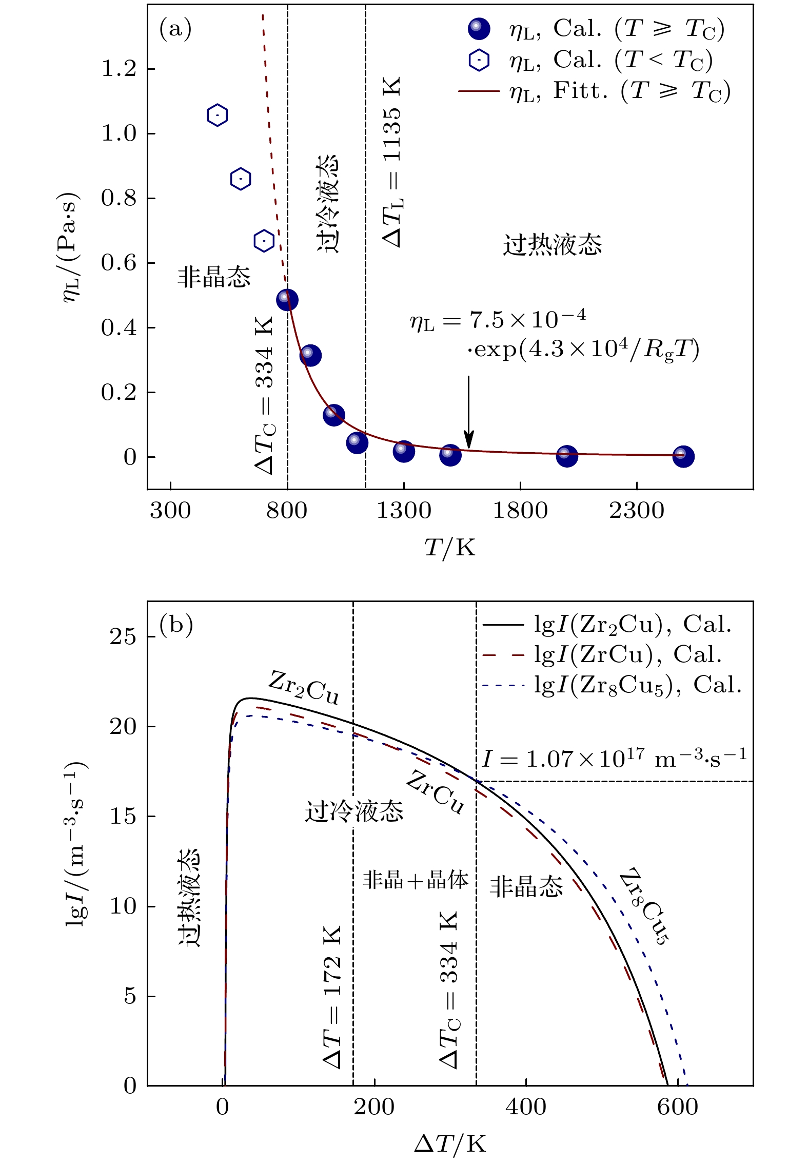
利用电磁悬浮无容器处理技术实现了液态五元Zr 57Cu 20Al 10Ni 8Ti 5合金的深过冷与快速凝固, 同时通过分子动力学模拟计算揭示了非晶形成的微观机制. 实验发现, 凝固组织具有明显的核-壳结构特征, 核区为非晶相, 壳区主要由ZrCu, Zr 2Cu和Zr 8Cu 5晶体相组成. 非晶体积分数随合金过冷度的升高逐渐增大, 当达到实验最大过冷度300 K (0.26 T L)时, 非晶体积分数增至81.3%. 由此导出完全非晶凝固所需临界过冷度为334 K. TEM分析显示, 过冷度增大并接近临界过冷度时, 合金凝固组织中晶体相主要为Zr 8Cu 5相, 而ZrCu和Zr 2Cu相的生长被抑制. 在达到临界过冷度后, 过冷液相的凝固路径由Zr 8Cu 5结晶生长转变为非晶凝固. 此外, 合金的晶体壳中存在少量的晶间非晶相, 而非晶核中亦有微量的非晶间Zr 8Cu 5纳米晶团簇. 模拟结果表明, 晶间非晶相的形成主要源于近临界过冷度下偏析行为诱发的成分过冷, 而非晶间纳米晶团簇的出现则主要归因于深过冷液相中的微观热起伏效应.The substantial undercooling and rapid solidification of liquid quinary Zr 57Cu 20Al 10Ni 8Ti 5alloy are achieved by electromagnetic levitation (EML) technique. The amorphous solidification mechanism is revealed with molecular dynamics (MD) simulation. It is observed in EML experiment that the containerlessly solidified alloy is characterized by a core-shell structure, with mainly amorphous phase becoming the core and crystalline ZrCu, Zr 2Cu and Zr 8Cu 5phases forming the shell. The volume fraction of amorphous core structure increases with undercooling and attains a value up to 81.3% at the maximum experimental undercooling of 300 K, which indicates that the critical undercooling required for complete amorphous solidification is 334 K. TEM analyses show that the alloy microstructure is mainly composed of Zr 8Cu 5phase, whereas the ZrCu phase and Zr 2Cu phase are suppressed when liquid undercooling approaches this threshold. Once the critical undercooling is reached, amorphous solidification prevails over the crystallization of Zr 8Cu 5phase. In addition, a small quantity of amorphous phases are found in the crystalline shell and a little trace of Zr 8Cu 5nano-cluster is detected among the amorphous core. It is further verified by MD simulation that the formation of amorphous phase in the shell is caused by the microsegregation-induced solutal undercooling when liquid alloy attains the critical undercooling, while the nano-clusters within the core is mainly ascribed to the micro-thermal fluctuation effect inside highly undercooled liquid phase.
-
Keywords:
- electromagnetic levitation/
- amorphous alloy/
- highly undercooling/
- rapid solidification/
- molecular dynamics
[1] [2] [3] [4] [5] [6] [7] [8] [9] [10] [11] [12] [13] [14] [15] [16] [17] [18] [19] [20] [21] [22] [23] [24] [25] [26] [27] [28] [29] [30] [31] [32] [33] [34] [35] -
[1] [2] [3] [4] [5] [6] [7] [8] [9] [10] [11] [12] [13] [14] [15] [16] [17] [18] [19] [20] [21] [22] [23] [24] [25] [26] [27] [28] [29] [30] [31] [32] [33] [34] [35]
计量
- 文章访问数:1908
- PDF下载量:63
- 被引次数:0












下载:







