-
在强电磁场下真空产生正负电子对的研究中, 多场的组合扮演重要的角色. 本文运用计算量子场论方法在全时空数值求解狄拉克方程, 研究了两个空间分离的局域化振荡电场击穿真空产生正负电子对的过程. 结果表明通过选取合适的场参数, 两场的相互作用可以显著增强正负电子对的产生. 两场的相互作用使产生正负电子对的动量分布曲线出现了周期性的振荡, 并导致了非对称的多光子跃迁过程. 通过含时微扰理论分析得出, 正负电子对的动量分布的周期性振荡可由电场宽度、电场频率和两场间距共同决定. 两场间距能够改变正负电子对动量分布的变化周期, 随着两场间距的增大, 产生正负电子对的动量(能量)的单一性得到优化; 电场宽度不仅影响正负电子对动量分布的峰谷高度差, 还会改变其在动量空间峰值的展宽; 根据能量守恒定律, 电场频率的增大使得产生粒子对的动量随之变大. 因此, 通过选择合适电场参数可以抑制或加强特定动量分布的正负电子对, 这为今后的实验设计提供了重要的理论指导.
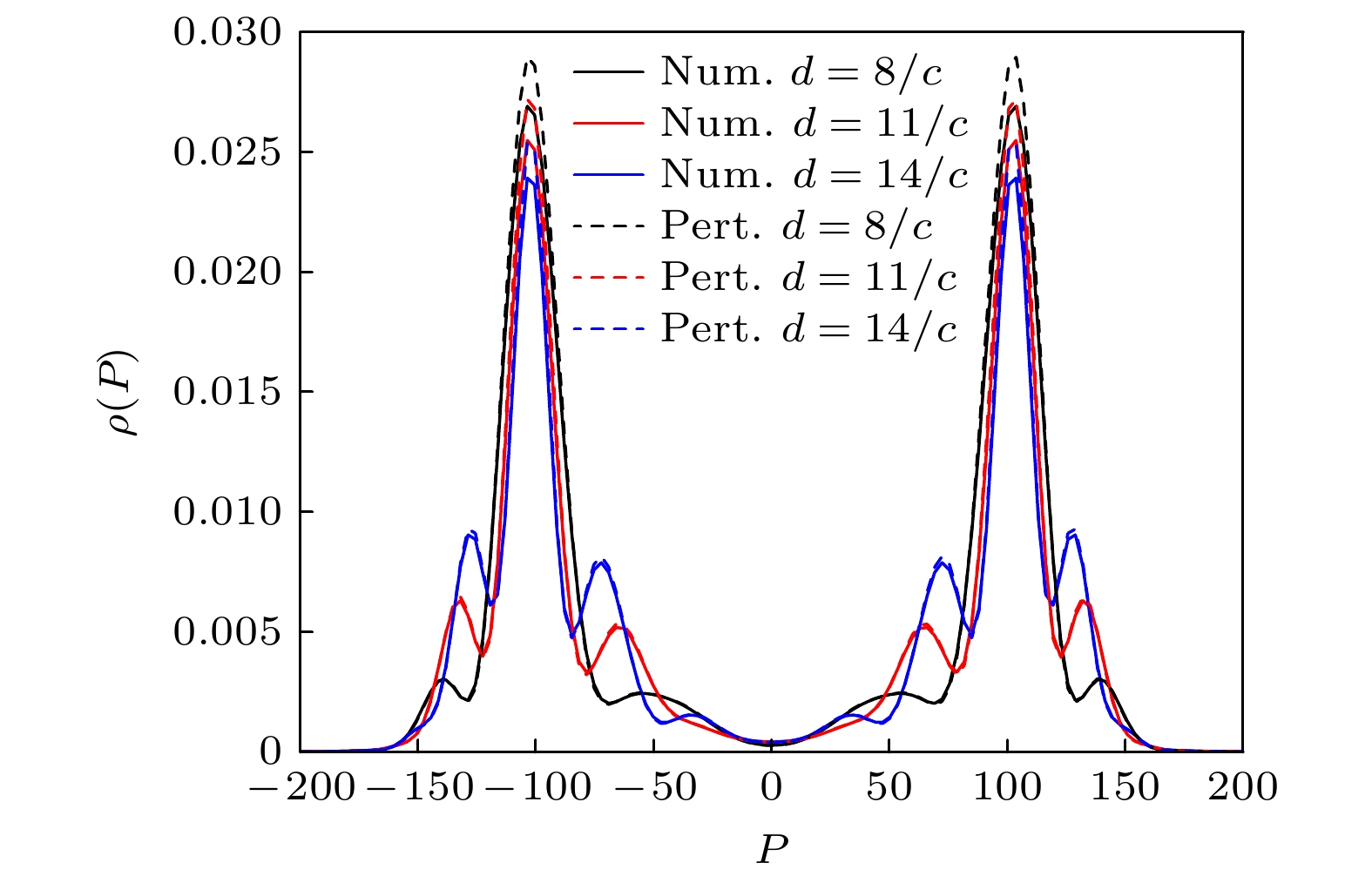
We investigate an important aspect of electron-positron pair creation from vacuum in the presence of a strong background field, where the combined field plays a key role in the pair creation process. By utilizing computational quantum field theory, we explore electron-positron pair creation induced by double-located oscillating electric fields by numerically solving the Dirac equation in full spacetime dimensions. We demonstrate theoretically that computational quantum field theory is equivalent to the first-order time-dependent perturbation theory for single-photon transition pair creation in a spatially inhomogeneous and time-dependent electric field, and verify their equivalence through numerical simulations of pair creation in double-located oscillating fields. We show some interesting results about the periodic oscillation of the momentum spectrum structure of the created particle and the asymmetric multi-photon pair creation process due to the interference between two fields. By using first-order time-dependent perturbation theory, we find that the periodic oscillation in the momentum distribution of the created particle is affected by the field width, the field frequency and the distance between two fields. The period of the oscillation of momentum spectrum structure is changed by the distance between two fields, while the field width has an influence on both the difference between the peak and valley of the momentum spectra and the width of the momentum space available to the created particle. Increasing the frequency of the electric field results in larger momentum for the created particle pairs, while correspondingly reducing the coupling matrix element $ \langle p|V|n \rangle $ and diminishing the probability of electron-positron pair creation.The interference between two fields significantly enhances the yield of pair numbers for small distances between two fields. When the distance is too large, the number of pairs created by double oscillating fields is twice that created by a single field, and the enhancement is vanished. When the distance between two fields increases, the period of oscillation decreases. In turn, the creation of electron-positron pairs can become more monochromatic in momentum (energy), while the number of pairs created remains almost constant. As the electric field broadens, the yield of the created pairs decreases for constant potential height. Increasing the field width will reduce the number of particles for each momentum and narrow the momentum space of the created particle. Increasing the field frequency leads to the reduction of the coupling matrix element $ \langle p|V|n \rangle $ and subsequently reduces the total number of electron-positron pairs created. The field profile parameters such as frequency, width, and distance between two fields can be utilized to select a specific momentum (energy) of particles in future electron-positron pair creation experiments.[1] [2] [3] [4] [5] [6] [7] [8] [9] [10] [11] [12] [13] [14] [15] [16] [17] [18] [19] [20] [21] [22] [23] [24] [25] [26] [27] [28] [29] [30] [31] [32] [33] [34] [35] [36] [37] [38] [39] [40] [41] [42] [43] [44] [45] [46] [47] [48] [49] -
峰值强度 峰值位置/arb.units 53.4(–53.4) 103.7(–103.7) 138.2(–138.2) 计算量子场论 0.0024 0.0270 0.0030 含时微扰理论 0.0025 0.0290 0.0031 相对误差/% 4.17 7.41 3.33 电场频率
(c2)平均相对
误差/%电场宽度
(c–1)平均相对
误差/%电场势高
(c2)平均相对
误差/%1.6 6.04 0.5 12.54 0.5 5.32 1.7 674 0.6 11.52 0.6 5.79 1.8 8.76 0.7 10.56 0.7 6.33 1.9 18.11 0.8 9.71 0.8 6.96 2.0 27.41 0.9 8.95 0.9 7.68 2.1 19.24 1.0 8.30 1.0 8.48 2.2 11.29 1.1 7.76 1.1 9.36 2.3 8.07 1.2 7.31 1.2 10.33 2.4 6.97 1.3 6.94 1.3 11.38 2.5 6.64 1.4 6.66 1.4 12.51 -
[1] [2] [3] [4] [5] [6] [7] [8] [9] [10] [11] [12] [13] [14] [15] [16] [17] [18] [19] [20] [21] [22] [23] [24] [25] [26] [27] [28] [29] [30] [31] [32] [33] [34] [35] [36] [37] [38] [39] [40] [41] [42] [43] [44] [45] [46] [47] [48] [49]
计量
- 文章访问数:1316
- PDF下载量:47
- 被引次数:0












下载:






