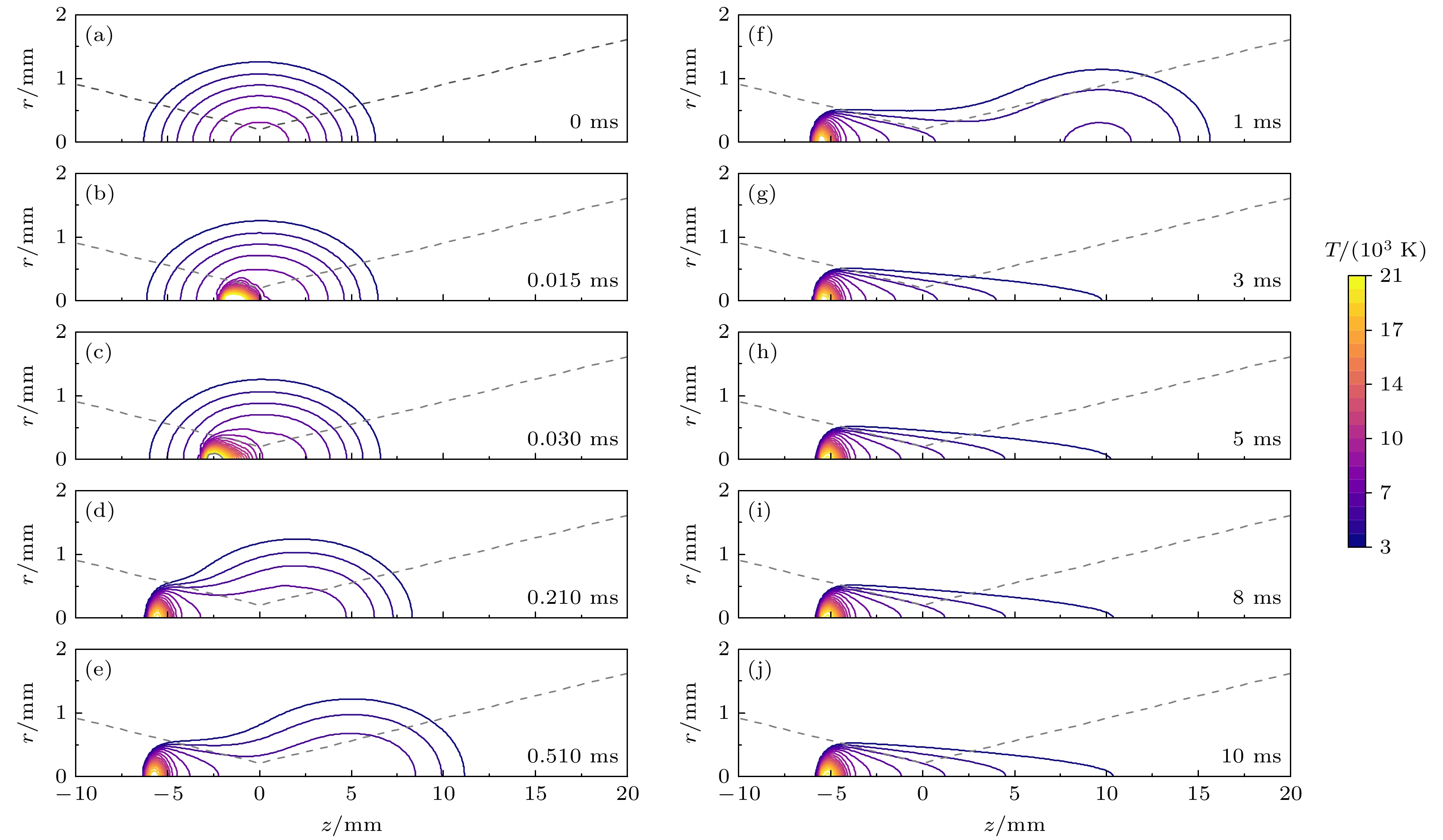
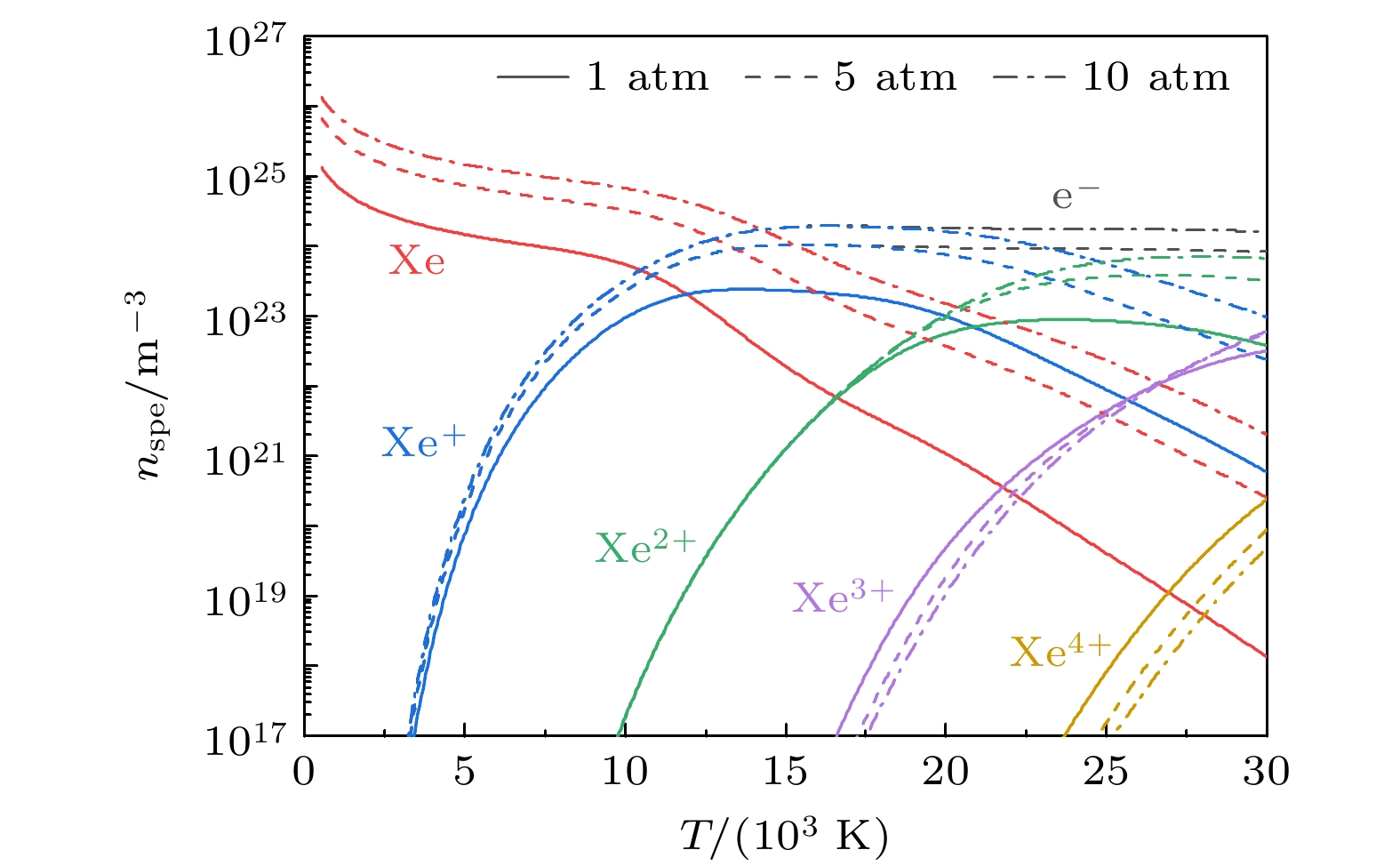
Laser-sustained plasma (LSP), which can be utilized for a novel radiation light source, has advantages such as high irradiance, broad spectral range, and stable emission, demonstrating significant applications in wafer inspection in the field of the semiconductor industry. This paper revisits the historical development of LSP research and introduces fundamental physical processes in LSP. The mathematical description equations for LSP and methods of calculating plasma parameters are provided, thereby a time-dependent two-dimensional fluid model is established by taking into consideration a laser-thermal-hydrodynamic coupling effect. The propagation of the laser in plasma is investigated based on the established model, and the fundamental processes in LSP, including the initial evolution process, laser energy deposition, steady-state characteristics, and instability, are explored. The effectiveness of the simulation model is confirmed through comparing with the experimental results of high-pressure Xe LSP. The findings indicate that the mode, power,
F-number of incident lasers, as well as parameters including components, pressure, and flow velocity of gas, can all affect the steady-state properties of LSPs. Under the identical power and
F-number conditions, Gaussian mode laser and annular mode laser both produce LSPs with different shapes and positions. Notably, under the conditions of high-power annular laser incidence, large laser
F-number, and high flow velocity, the simulation results reveal temporal and spatial instability in LSP. These simulation results contribute significantly to a more in-depth understanding of the underlying physical mechanisms of the LSP. Furthermore, they provide a theoretical basis for designing the light source system and optimizing the multiple parameters. The influence of laser parameters on LSP properties elucidated in this study not only advances the fundamental understanding of LSP but also offers crucial insights for designing and optimizing the light source systems in various applications, particularly in the field of optical detection for semiconductor wafer inspection.