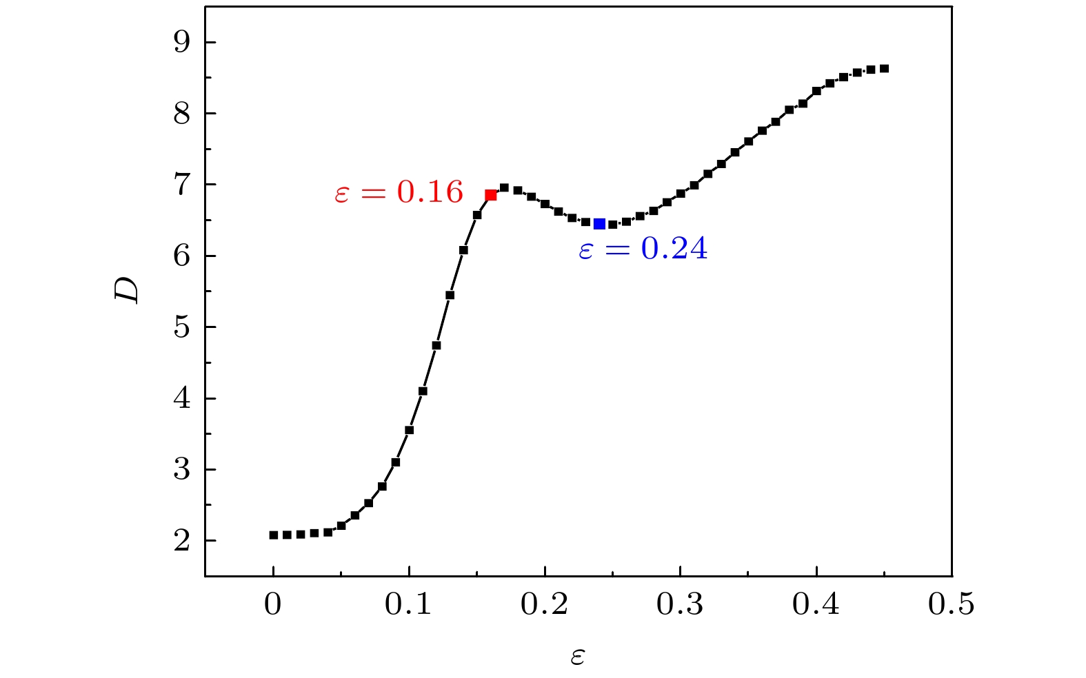
\begin{document}$\varepsilon $\end{document}微盘的模式分布、品质因子Q、定向激射效果D以及庞加莱截面图. 理论模拟结果显示, 微盘变形过程中微盘周长与谐振波长的比值近似为一定值. 当\begin{document}$\varepsilon $\end{document}大于0.24时, 微盘具有较好的单向激射性, Q值大于105; 当\begin{document}$\varepsilon $\end{document}变形因子大于0.4时, 庞加莱截面图几乎被混沌海区域占据, Q值低于103. 因此, 薄膜蚶线形微盘变形因子\begin{document}$\varepsilon $\end{document}在0.24—0.4之间时, 微盘不仅具有高的品质因子(Q值为103—105), 激射方向性也较高(D值为6.45—8.32)."> - 必威体育下载

搜索

x

留言板

姓名
邮箱
手机号码
标题
留言内容
验证码

downloadPDF
引用本文:
Citation:

    徐宇轩, 姚泰宇, 邓莉, 陈诗枚, 徐辰尧, 唐文轩

    Directional emission properties of thin film microdisk

    Xu Yu-Xuan, Yao Tai-Yu, Deng Li, Chen Shi-Mei, Xu Chen-Yao, Tang Wen-Xuan
    PDF
    HTML
    导出引用
    计量
    • 文章访问数:1054
    • PDF下载量:27
    • 被引次数:0
    出版历程
    • 收稿日期:2023-11-05
    • 修回日期:2024-01-22
    • 上网日期:2024-02-19
    • 刊出日期:2024-04-20

      返回文章
      返回