-
基于第一性原理计算方法, 在考虑磁效应的基础上, 对不同温度下合金Co 2(Hf Ta)中的稳定结构、电子性质和热力学性质展开了研究. 通过第一性原理计算形成能、弹性性质及声子色散关系, 结果表明合金Co 2(Hf xTa 1–x) 在 x≤ 0.75时基态是C36, 当 x> 0.75时基态是C14. 这一发现提示了合金成分对其基态结构的影响, 并为合金的稳定性提供了重要线索. 值得注意的是, 考虑了振动熵和电子熵的贡献后, Co 2Hf相对稳定的结构变为C36, Co 2Ta变为C14, 这表明温度会对合金结构稳定性的影响. Co 2(Hf xTa 1–x)合金在弹性方面呈现出本征脆性. 热力学分析表明其在高温下热容趋于稳定, 德拜温度近似为常数, 振动熵随温度递增且与压强负相关. 电子态密度分析揭示了Co 2(Hf Ta)合金三个结构的相稳定性.
-
关键词:
- Co2(Hf Ta)/
- Laves相稳定性/
- 热物性质/
- 第一性原理计算
There exists still the controversy over the stable structure of Laves-phase Co 2(Hf Ta) alloys with the C14, C15 or C36 structures. In this study, the stability, electronic and thermodynamic properties of Laves-phase Co 2(Hf Ta) are investigated. In order to fully understand the influence of magnetic state and temperature on phase stability, we systematically study the free energy change at finite temperature, elastic stability, and phonon dispersion. The low Curie temperature can be estimated, which suggests that the Co 2(Hf Ta) alloys possess the paramagnetic state in a wide temperature range. Results indicate that the lattice vibration and electronic excitation have an important effect on the phase stability. The ground state of Co 2Hf compound has a C14-type structure, while the ground state of Co 2Ta has a C36-type structure, without the effect of temperature. After doping Hf with different concentrations (0.25, 0.50, 0.75) into Co 2Ta, the most stable structure still possesses the C36-type structure. After considering the contribution of vibration entropy and electron entropy, the relatively stable structures of Co 2Hf and Co 2Ta undergo the C36 and C14 phase transition, respectively. In addition, the thermodynamic properties, including Debye temperature, heat capacity, and vibration entropy, which vary with pressure and temperature, are studied. The electronic properties of Co 2Hf and Co 2Ta compounds are analyzed by the charge difference and density of states. The similar electronic density of states between different phases suggest that the Lave phases have the similar stability. The Hf-Co bonding with a certain direction is revealed. Our results are of great significance in understanding the structure and properties of Co 2Hf and Co 2Ta compounds.-
Keywords:
- Co2(Hf Ta)/
- Laves phase stability/
- thermo-physical properties/
- first-principles calculation
[1] [2] [3] [4] [5] [6] [7] [8] [9] [10] [11] [12] [13] [14] [15] [16] [17] [18] [19] [20] [21] [22] [23] [24] [25] [26] [27] [28] [29] [30] [31] [32] [33] [34] [35] [36] [37] [38] [39] [40] [41] -
结构名称 结构类型 空间群 原子 亚格点位置以及占位 x y z C15 MgCu2 227 A 8a 0 0 0 B 16d 5/8 5/8 5/8 C14 MgZn2 194 A 4f 1/3 2/3 z B1 6h x 2x 1/4 B2 2a 0 0 0 C36 MgNi2 194 A1 4f 1/3 2/3 z A2 4e 0 0 z B1 6h
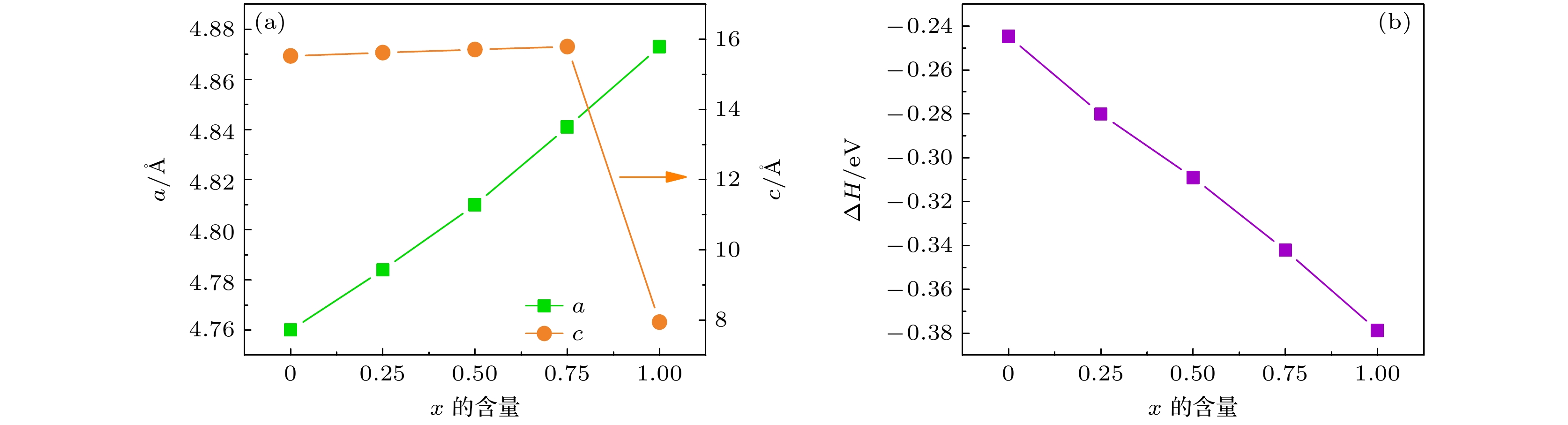
x2x 1/4 B2 6g 1/2 0 0 B3 4f 1/3 2/3 z 体系 结构 a/Å c/Å V/(Å3·atom–1) M/(μB·atom–1) ΔH/(eV·atom–1) ΔE/(eV·atom–1) Refs. Co2Hf C14 4.873 7.939 13.605 0.69
0.79–0.3788 –0.017 C15 4.870 13.615 0.76 –0.3752 –0.002 4.824
4.909
13.945Cal.[22]
Cal.[34]C36 4.876 15.837 13.585 0.68
0.70
0.58–0.3779 –0.007 4.816 15.650 Cal.[22] Co2Ta C14 4.766 7.750 12.703 0.33
0.68–0.2378 –0.002 4.797 7.827 12.730 Exp.[13] C15 4.759 12.702 0.40 –0.2442 –0.005 4.791 12.957 Cal.[34] C36 4.760 15.529 12.698 0.39
0.41
0.27–0.2447 –0.003 体系 结构 c11 c33 c44 c12 c13 $c_{66}, {c_{14}}^* $ Refs. Co2Hf C14-FM 274.14 332.76 81.86 86.14 126.48 94.00 C14-PM 299.75 348.07 73.80 90.11 113.04 104.82 C15-FM 308.80 85.60 154.53 C15-PM 298.50 106.00 139.12 C15 270.20 85.50 117.50 Cal.[34] C36-FM 308.11 293.50 80.53 121.99 113.90 93.06 C36-PM 329.08 343.58 81.90 120.83 117.89 104.12 Co2Ta C14-FM 407.15 430.80 97.10 138.20 151.11 134.48 C14-PM 442.04 421.53 89.27 167.32 137.34 137.36 C15-FM 357.11 141.47 137.90 C15-PM 395.37 151.94 165.32 C15 383.50 143.90 173.40 Cal.[34] C36-FM 424.64 429.32 98.18 154.27 143.77 135.19 C36-PM 444.08 481.10 88.70 174.90 177.34 134.59 Co2Hf0.25Ta0.75 156-FM 390.67 383.02 80.43 153.72 146.41 –1.13 Co2Hf0.5Ta0.5 186-FM 358.36 362.80 84.35 132.40 126.78 Co2Hf0.75Ta0.25 156-FM 327.16 312.04 77.66 130.90 122.88 0.68 *:c66,c14数据列, 其中后3行时c14数值, 其他行为c66数值. -
[1] [2] [3] [4] [5] [6] [7] [8] [9] [10] [11] [12] [13] [14] [15] [16] [17] [18] [19] [20] [21] [22] [23] [24] [25] [26] [27] [28] [29] [30] [31] [32] [33] [34] [35] [36] [37] [38] [39] [40] [41]
计量
- 文章访问数:917
- PDF下载量:47
- 被引次数:0












下载:










