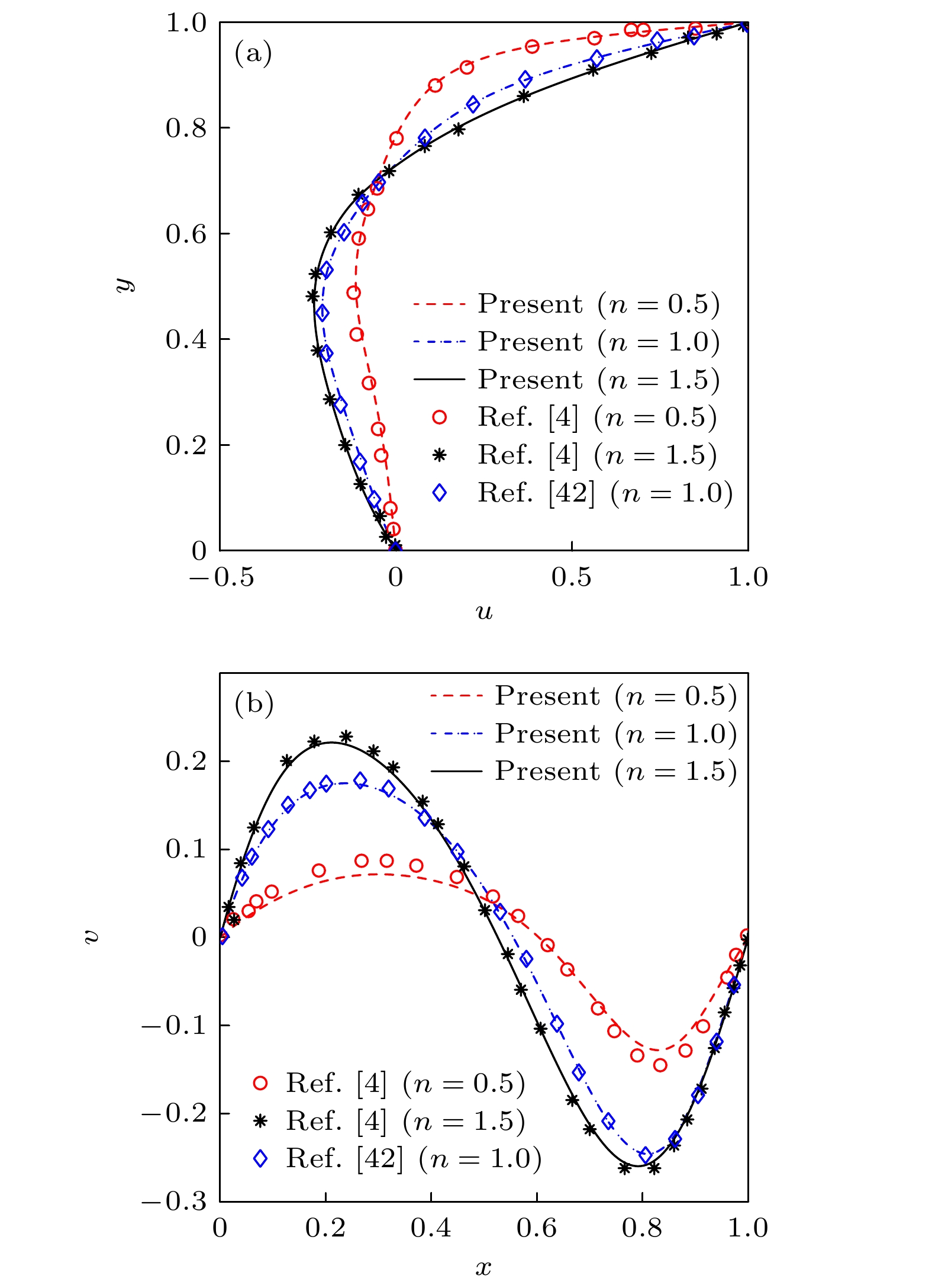
In this paper, the motion of a circular particle in a lid-driven square cavity with the power-law fluid is studied by using the diffuse interface lattice Boltzmann method, and the study mainly considers the effects of the particle's initial position, the power-law index, the Reynolds number, and the particle size. The numerical results show that the circular particle is first in a centrifugal motion under the effect of inertia, and it finally moves steadily on the limit cycle. Furthermore, it is also found that the initial position of the particle has no influence on the limit cycle. For a shear-thinning fluid flow, the limit cycle moves towards the bottom right corner of the square cavity. Moreover, the particle velocity is small, and the period of the particle motion is long. On the other hand, in the case of shear-thickening fluid flow, the limit cycle moves towards the top left corner of the cavity. In addition, the particle velocity is large, and the period of the particle motion is short.With the increase of Reynolds number, the limit cycle moves towards the bottom right corner of the square cavity, which is caused by a strong fluid flow field. Meanwhile, the particle velocity becomes larger, and the period of the particle motion is shorter. With the increase of particle size, the effect of confinement of the cavity boundary becomes significant, and the circular particle is pushed towards the center of the cavity. In this case, the limit cycle shrinks towards the center of the cavity. The circular particle squeezes the secondary vortices, especially when the circular particle is located in the bottom left, bottom right and top left corners. Additionally, the appearance of the circular particle has a significant influence on the position of the primary vortex, which changes periodically near the position of the primary vortex without the particle. It is also observed that the influence of the circular particle becomes more significant as its size increases and the power-law index decreases.