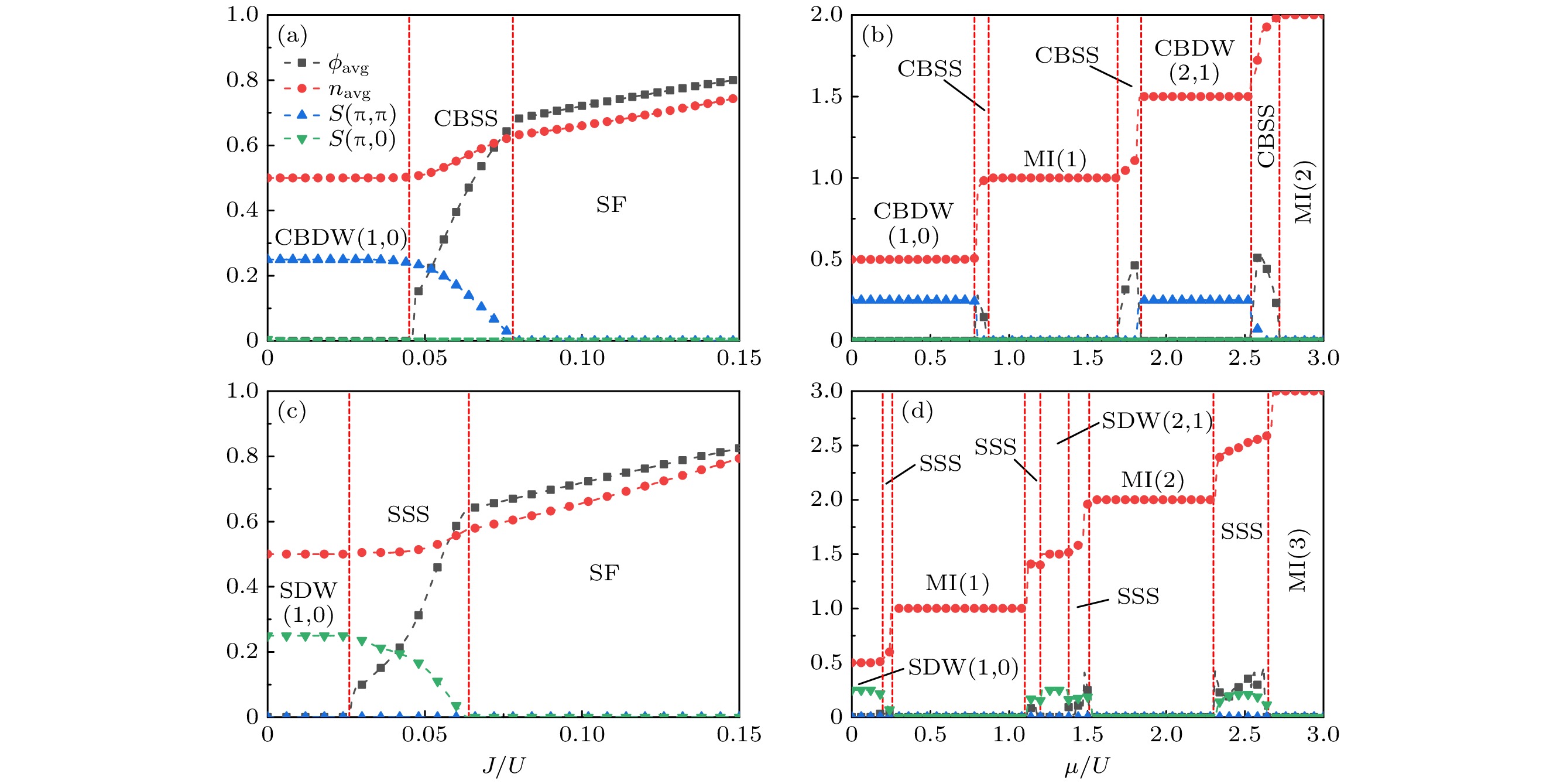
The quantum system composed of optical lattice and ultracold atomic gas is an ideal platform for realizing quantum simulation and quantum computing. Especially for dipolar bosons in optical lattices with artificial gauge fields, the interplay between anisotropic dipolar interactions and artificial gauge fields leads to many novel phases. Exploring the phase transition characteristics of the system is beneficial to understanding the physics of quantum many-body systems and observing quantum states of dipolar system in experiments. In this work, we investigate the quantum phase transitions of anisotropic dipolar bosons in a two-dimensional optical lattice with an artificial magnetic field. Using an inhomogeneous mean-field method and a Landau phase transition theory, we obtain complete phase diagrams and analytical expressions for phase boundaries between an incompressible phase and a compressible phase. Our results show that both the artificial magnetic field and the anisotropic dipolar interaction have a significant effect on the phase diagram. When the polar angle increases, the system undergoes the phase transition from a checkerboard supersolid to a striped supersolid. For small polar angle (
$V_x/U= 0.2, V_y/U=0.1$
, Fig.(a)), artificial magnetic field induces both checkerboard solid phase and supersolid phase to extend to a large hopping region. For a larger polar angle (
$V_x/U=0.2, $
$ V_y/U=-0.1$
, Fig.(b)), artificial magnetic field induces both striped solid and striped supersolid to extend to a large hopping region. Thus, the artificial magnetic field stabilizes the density wave and supersolid phases. In addition, we reveal the coexistence of different quantum phases in the presence of an external trapping potential. The research results provide a theoretical basis for manipulating the quantum phase in experiments on anisotropic dipolar atoms by using an artificial magnetic field.