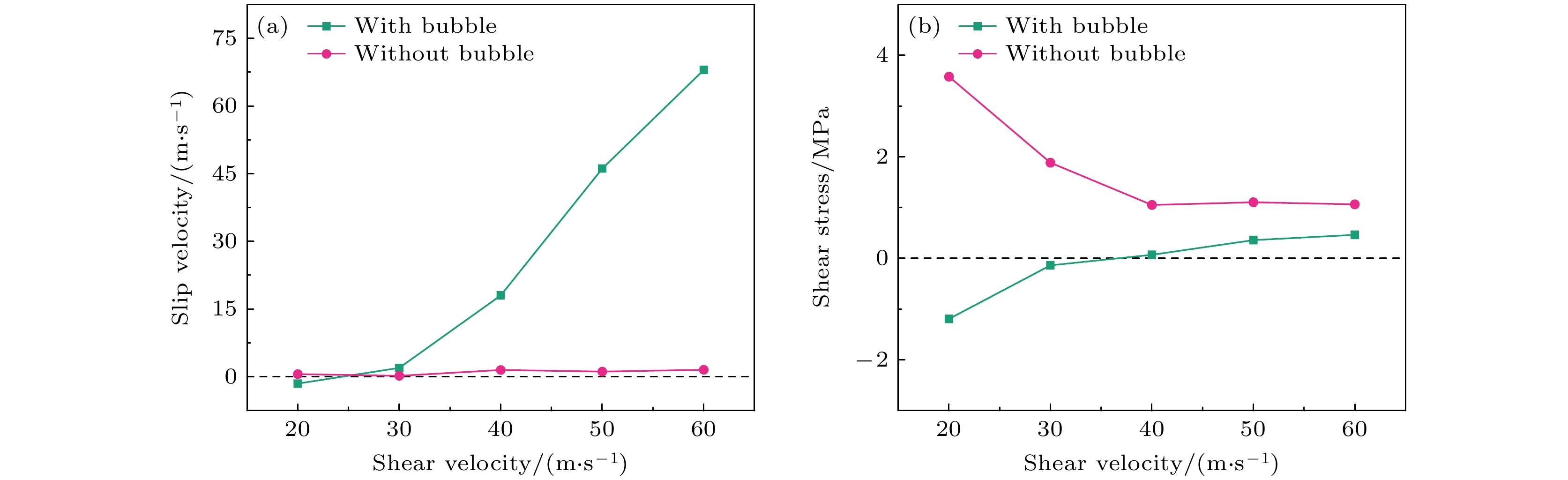
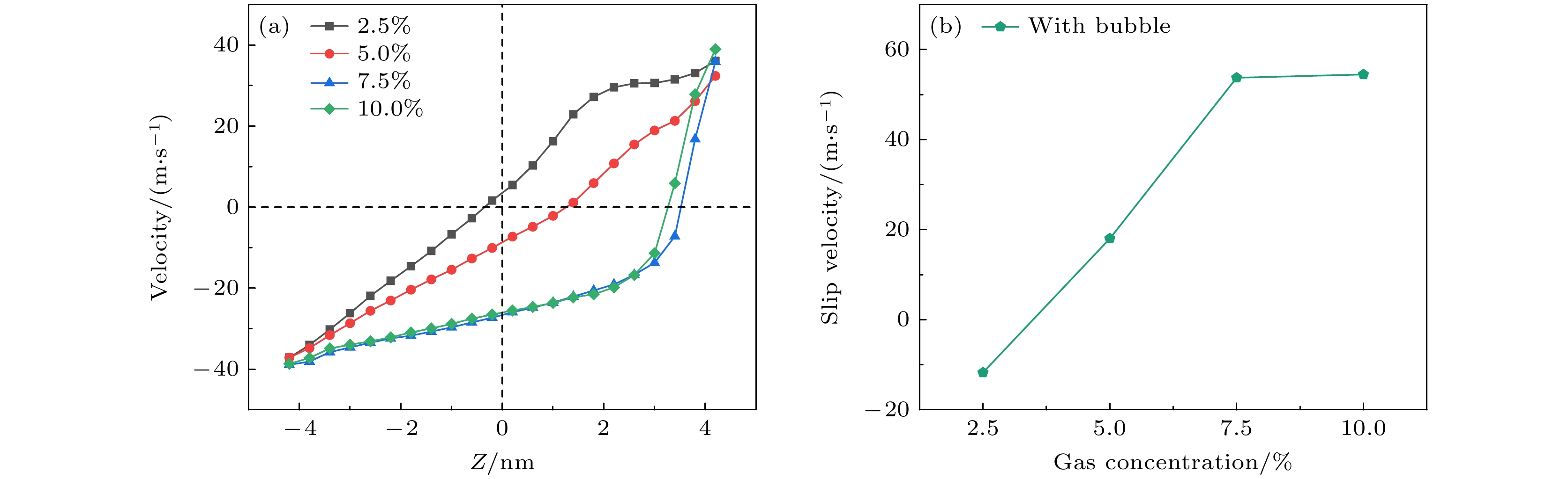
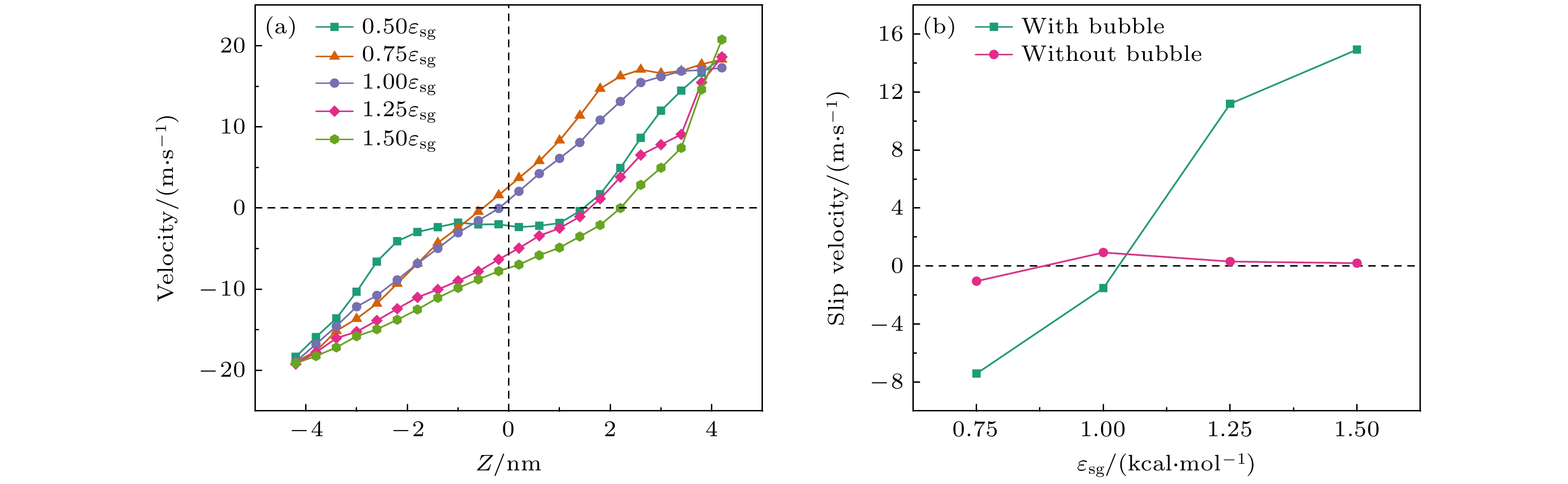
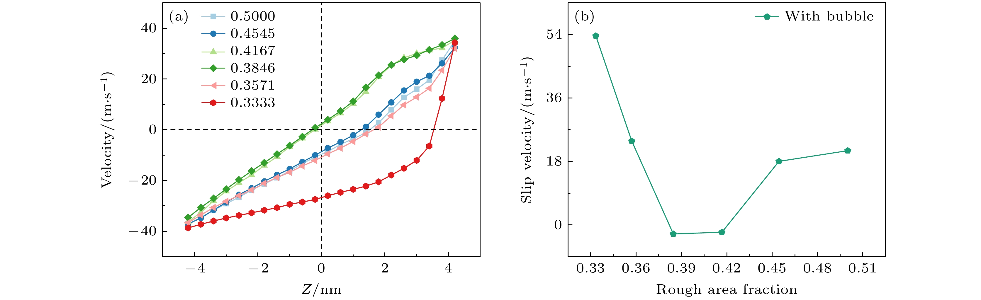
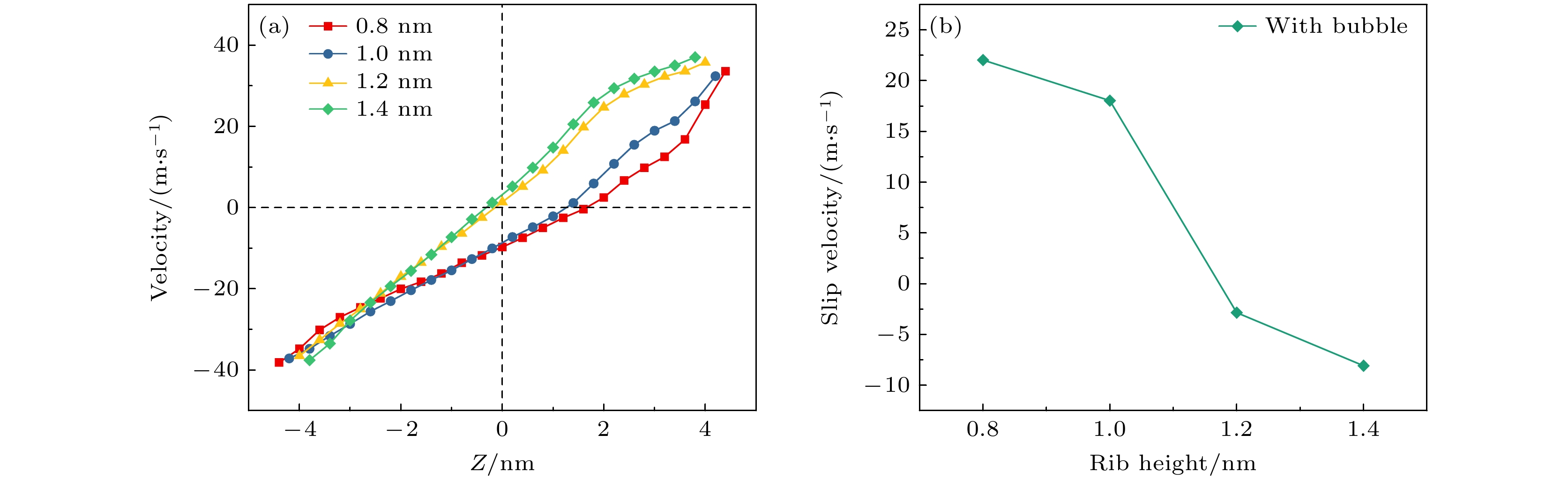
Bubble drag reduction technology is of great significance in improving the propulsion efficiency of underwater vehicle and reducing the comprehensive energy consumption during navigation. Bubble drag reduction is a highly effective method of reducing the frictional resistance encountered by large ships and underwater vehicles during navigation. It exhibits excellent stability in drag reduction, and has advantages such as environmental friendliness, adaptability to various flow environments, and suitability for all underwater components of ships. Therefore, it is greatly significant to conduct in-depth research on bubble drag reduction and its underlying mechanism. In this work, the flow characteristics and the boundary bubble drag reduction mechanism of gas-liquid Couette flow in parallel wall nanochannels are studied by molecular dynamics method, and the influences of surface wettability, wall roughness, and gas concentration on boundary slip velocity and bubble drag reduction effect are analyzed. The results indicate that the bubble drag reduction effect is enhanced with the increase of boundary slip velocity. In the gas-liquid two-phase flow region, with the increase of shear velocity, the lateral deformation of boundary adsorbed bubble and boundary slip velocity increase, thus enhancing the bubble drag reduction effect. The increase of solid-gas interaction strength and gas concentration can lead to the enrichment of gas atoms near the wall, improve the bubble spreading characteristics on the wall, and thus increase the slip velocity of the solid-liquid interface. The wall roughness can change the spreading characteristics of bubble, affect the boundary slip velocity, and then change the drag reduction effect of the fluid-solid interface. As the rib height increases, gas atoms accumulate in the grooves between ribs and the adsorption quantity of gas atoms on the upper surface of the rib decreases, which leads to the decrease of the boundary slip velocity of the solid-liquid interface and ultimately reduces the drag reduction effect. The research results will provide important theoretical guidance for implementing the boundary drag reduction technology in large ships and underwater vehicles.