-
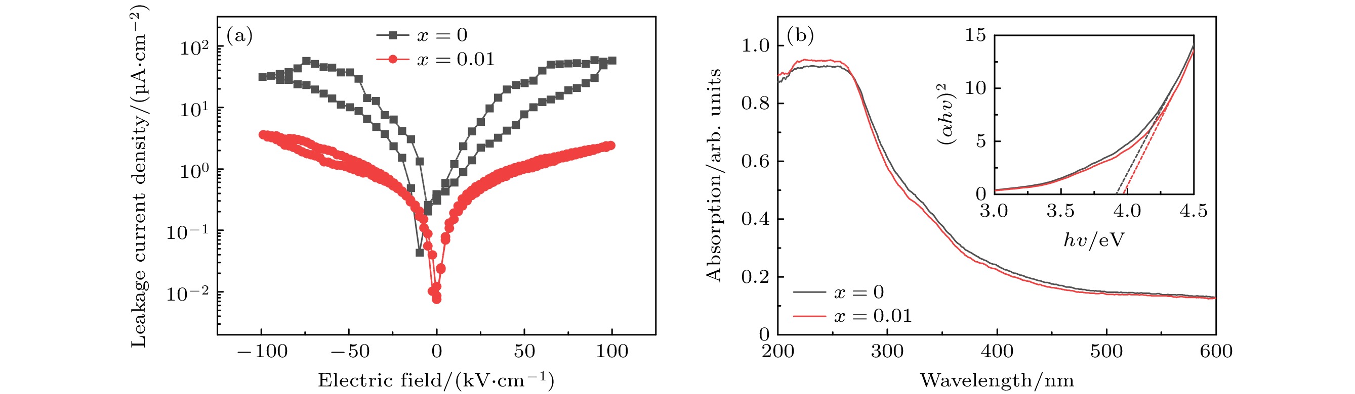
准二维的杂化非本征铁电体在实现强磁电耦合的单相室温多铁性方面具有很大的潜力, 然而此类陶瓷样品通常有着较高的矫顽场和较低的剩余极化强度, 严重阻碍了对其的研究和应用. 本文成功制备了质量高且单相性较好的具有准二维结构的双层R-P(Ruddlesden-Popper)型氧化物Sr 3Sn 2–xGe xO 7陶瓷样品, 观察到了较高的剩余极化和与Sr 3Sn 2O 7单晶接近的矫顽场. 微量Ge元素对B位Sn掺杂后极化强度显著增强, 同时进一步降低了Sr 3Sn 2O 7样品的矫顽场. 结合晶格动力学研究, 对样品的拉曼和红外光谱进行标定, 得出掺杂样品铁电性能的增强可能源于氧八面体倾侧幅度的增大和旋转幅度减小. Berry相位法和玻恩有效电荷模型进一步证实了铁电性能的增强. 通过紫外可见光光度计测试得到Sr 3Sn 2O 7样品的光学带隙为3.91 eV, 采用Becke-Johnson势结合局部密度近似(MBJ-LDA)所计算的结果与实验基本一致. 总之, 这项研究为此类杂化非本征铁电体的制备及铁电性能的调控提供了参考, 有望促进铁电陶瓷在各种电容器和非易失性存储器件中的广泛应用.Hybrid improper ferroelectricity with quasi-two-dimensional (quasi-2D) structure has attracted much attention recently due to its great potential in realizing strong magnetoelectric coupling and room-temperature multiferroicity in a single phase. However, recent studies show that there appears high coercive field and low remnant polarization in ceramics, which severely hinders the applications of this material. In this work, high-quality Sr 3Sn 2O 7and Sr 3Sn 1.99Ge 0.01O 7ceramics with a Ruddlesden-Popper (R-P) structure are successfully prepared, and their crystal structures and electrical properties are investigated in detail. It is found that the Sr 3Sn 2O 7ceramic exhibits a lower coercive field that is close to that of Sr 3Sn 2O 7single crystal. Moreover, via a small amount of Ge doping, the polarization reaches 0.34 μC/cm 2for Sr 3Sn 2O 7and 0.61 μC/cm 2for Sr 3Sn 1.99Ge 0.01O 7. Combining crystal lattice dynamic studies, we analyze the Raman and infrared responses of the samples, showing the information about the tilting and rotation of the oxygen octahedra in the samples. The improved ferroelectricity after doping may be attributed to the increased amplitude of the tilt mode and the reduced amplitude of rotation mode. Besides, the enhanced ferroelectric properties through Ge doping and its mechanism are further investigated by the Berry phase approach and the Born effective charge method. Furthermore, via the UV-visible spectra, the optical bandgap is determined to be 3.91 eV for Sr 3Sn 2O 7ceramic and 3.95 eV for Sr 3Sn 1.99Ge 0.01O 7ceramic. Using the Becke-Johnson potential combined with the local density approximation correlation, the bandgap is calculated and is found to be in close agreement with the experimental result. And the electronic excitations can be assigned to the charge transfer excitation from O 2p to Sn 5s (Ge 4s). The effects of Ge doping on the ability of Sr 3Sn 2O 7to gain and lose electrons and the bonding strength of Sn-O bond are analyzed via two-dimensional charge density difference. In conclusion, this study provides insights into the synthesis method and modulation of ferroelectric properties of hybrid improper ferroelectrics Sr 3Sn 2O 7, potentially facilitating their widespread applications in various capacitors and non-volatile memory devices.
-
Keywords:
- Sr3Sn2O7/
- hybrid improper ferroelectricity/
- oxygen octahedron tilt and rotation/
- first-principles study
[1] [2] [3] [4] [5] [6] [7] [8] [9] [10] [11] [12] [13] [14] [15] [16] [17] [18] [19] [20] [21] [22] [23] [24] [25] [26] [27] [28] [29] [30] [31] [32] [33] [34] [35] [36] [37] [38] [39] [40] [41] [42] [43] [44] -
x a/Å b/Å c/Å V/Å3 Sn-O1/Sn-O2 Sn-O3/Sn-O4 Sn-O1-Sn χ2 0 5.7073(5) 5.7275(9) 20.6614(6) 675.39(1) 2.0543/2.0157 2.0519/2.0655 165.5724 9.34 0.01 5.7072(9) 5.7279(8) 20.6537(9) 675.17(5) 2.0746/2.0124 2.0469/2.0253 164.5905 7.63 Mode Freq. Mode Freq. Mode Freq. Mode Freq. A1(1) 83.45 A2(1) 84.32 B1(1) 79.63 B2(1) 98.83 A1(2) 106.1 A2(2) 95.39 B1(2) 120.98 B2(2) 105.36 A1(3) 113.74 A2(3) 117.77 B1(3) 135.12 B2(3) 120.32 A1(4) 137.11 A2(4) 143.61 B1(4) 145.26 B2(4) 146.46 A1(5) 161.92 A2(5) 151.16 B1(5) 152.96 B2(5) 147.76 A1(6) 169.23 A2(6) 167.5 B1(6) 177.96 B2(6) 171.62 A1(7) 180.04 A2(7) 184.97 B1(7) 222.77 B2(7) 214.88 A1(8) 205.98 A2(8) 224.54 B1(8) 235.61 B2(8) 228.54 A1(9) 218.41 A2(9) 270.38 B1(9) 256.1 B2(9) 239.46 A1(10) 235.43 A2(10) 282.2 B1(10) 284.18 B2(10) 268.64 A1(11) 259.61 A2(11) 312.19 B1(11) 335.67 B2(11) 309.89 A1(12) 268.83 A2(12) 323.99 B1(12) 357.18 B2(12) 320.91 A1(13) 335.88 A2(13) 389.97 B1(13) 501.68 B2(13) 335.2 A1(14) 380.89 A2(14) 481.55 B1(14) 552.45 B2(14) 351.21 A1(15) 421.45 A2(15) 566.25 B1(15) 610.85 B2(15) 404.25 A1(16) 504.49 A2(16) 620.55 B1(16) 657.19 B2(16) 510.89 A1(17) 572.78 A2(17) 717.72 B2(17) 623.74 A1(18) 610.09 B2(18) 708.57 Atom $Z^*$ Atom $Z^*$ ∆x Sr1 2.50(6) Sr1 2.51(3) –0.04(8) Sr2 2.33(1) Sr2 2.34(6) 0.37(2) Sn 4.22(0) Sn/Ge 4.25(2)/4.37(7) 0.15(0) O1 –1.75(2) O1 –1.73(6) 0.14(0 O2 –1.93(2) O2 –1.93(2) 0.03(5) O3 –2.49(8) O3 –2.53(4) 0.42(2) O4 –2.49(8) O4 –2.53(7) –0.11(7) -
[1] [2] [3] [4] [5] [6] [7] [8] [9] [10] [11] [12] [13] [14] [15] [16] [17] [18] [19] [20] [21] [22] [23] [24] [25] [26] [27] [28] [29] [30] [31] [32] [33] [34] [35] [36] [37] [38] [39] [40] [41] [42] [43] [44]
计量
- 文章访问数:810
- PDF下载量:31
- 被引次数:0













下载:







