-
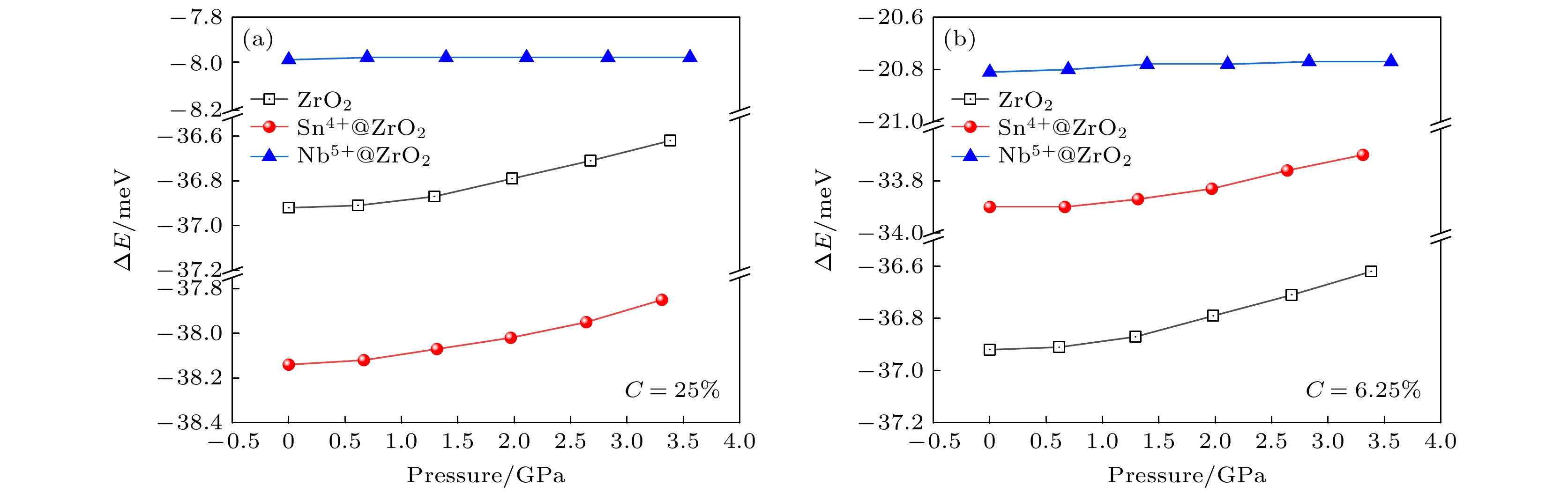
锆合金的水侧腐蚀是核燃料棒包壳材料设计的关键问题之一. 包壳材料的耐腐蚀性能与锆合金氧化膜中 t-ZrO 2含量和 t- m相变密切相关. 目前, Zr-Sn-Nb系合金是新型锆合金发展的主流方向. 合金元素Sn, Nb在氧化膜中可呈现多种价态, 显著影响ZrO 2稳定性, 然而Sn, Nb对 t-ZrO 2含量和 t- m相变的影响机制尚不明晰. 本文基于第一性原理计算了不同价态Sn, Nb掺杂ZrO 2的晶体结构性质、形成焓和氧空位形成能, 从原子尺度揭示了Sn, Nb对ZrO 2稳定性的影响机理. 研究表明Sn 2+, Nb 3+引起显著晶格膨胀; Sn 4+则造成轻微晶格膨胀, 而Nb 5+引起晶格收缩, 可见高氧化态下Nb比Sn更利于减小氧化膜的内应力. 低价合金元素降低ZrO 2稳定性, 且会增大 t, m相形成能差距; 高价的Nb 5+, Sn 4+均可提高 t-ZrO 2相对稳定性从而抑制 t- m相变, 其中Nb 5+效果显著, Sn 4+则作用微弱. 0—3.5 GPa范围内, t-ZrO 2相对稳定性随压力增大而增强. 合金元素的低价态比高价态更利于在 t-ZrO 2中形成氧空位, 因而在氧化膜/金属界面附近低氧化态区域, 低价元素和压应力是稳定 t-ZrO 2的主要因素. 通过电子结构分析, 发现氧空位形成能与合金元素离子和氧空位间的电荷转移幅度(或电子局域化程度)呈正相关. 这些结果有助于针对锆合金耐腐蚀性的成分优化和结构设计 .
-
关键词:
- 第一性原理/
- Zr-Sn-Nb合金/
- 氧化膜/
- 相稳定性
Water-side oxidative corrosion of zirconium alloy is a key problem in the design of nuclear fuel rods cladding materials in pressurised water reactors (PWRs), and its corrosion resistance is one of the main factors limiting service life. At present, Zr-Sn-Nb system alloys are still the main development direction of advanced zirconium alloys. Sn and Nb can exhibit a variety of valence states in the oxide film of the cladding and significantly affect the stability of ZrO 2. However, the influence mechanism of Sn and Nb on the fraction of t-ZrO 2and the t- mphase transition is unclear. In this work, the lattice properties, formation enthalpies, and oxygen vacancy formation energy of ZrO 2under the doping conditions of Sn and Nb with different valence states are calculated based on the first-principles, and the influence mechanism of Sn and Nb on the stability of ZrO 2is revealed at an atomic scale. The results show that there is a significant difference between the effects of Sn and Nb, as well as between low-valent and high-valent elements. Sn 2+and Nb 3+cause lattice swelling to be significantly distorted , Nb 5+causes lattice to shrink, which contributes to reducing the stresses within the film, and Sn 4+leads the lattice to slightly swell. The low-valent elements all make ZrO 2less stable and are unfavourable for the stability of t-ZrO 2relative to m-ZrO 2. The high-valent Nb 5+and Sn 4+promote the relative stability of t-ZrO 2, thus inhibiting the t- mphase transition, with Nb 5+having a significant effect and Sn 4+having a weak effect. The relative stability of t-ZrO 2increases with pressure rising in a range of 0–3.5 GPa. Compared with high-valent elements, the low-valent elements are favourable for introduing oxygen vacancies into t-ZrO 2, thus stabilising the interfacial t-ZrO 2and enhancing the corrosion resistance of the cladding. By investigating the electronic structure, it is found that the oxygen vacancy formation energy is positively correlated with the magnitude of charge transfer (or degree of electron localisation) between the alloying element ion and the oxygen vacancy. These results contribute to optimizing the composition and designing the structure for corrosion resistance of zirconium alloys.-
Keywords:
- first-principles/
- Zr-Sn-Nb alloys/
- oxide films/
- phase stability
[1] [2] [3] [4] [5] [6] [7] [8] [9] [10] [11] [12] [13] [14] [15] [16] [17] [18] [19] [20] [21] [22] [23] [24] [25] [26] [27] [28] [29] [30] [31] [32] [33] [34] [35] [36] [37] [38] [39] [40] [41] [42] [43] [44] [45] [46] [47] [48] [49] [50] [51] [52] [53] [54] [55] [56] [57] [58] [59] [60] [61] [62] -
Phase a/Å b/Å c/Å α/(°) β/(°) γ/(°) $ {H}_{{\mathrm{f}}} $/eV Ref. m-ZrO2 5.1901 5.2441 5.3760 90.00 99.63 90.00 –3.860 This work 5.1850 5.2780 5.2860 90.00 99.65 90.00 –3.778 DFT-GGA[40] 5.0791 5.1785 5.2340 90.00 99.49 90.00 — DFT-LDA[50] 5.0930 5.1760 5.2440 90.00 99.10 90.00 — DFT-LDA[51] 5.0790 5.2080 5.3110 90.00 99.23 90.00 — Exp.[52] 5.1473 5.2088 5.3166 90.00 99.21 90.00 — Exp.[50] t-ZrO2 3.6220 3.6220 5.2733 90.00 90.00 90.00 –3.823 This work 3.6370 3.6370 5.2820 90.00 90.00 90.00 –3.743 DFT-GGA[40] 3.5780 3.5780 5.1630 90.00 90.00 90.00 — DFT-LDA[39] 3.5948 3.5948 5.1824 90.00 90.00 90.00 — Exp.[53] 3.5916 3.5916 5.1790 90.00 90.00 90.00 — Exp.[54] 3.5961 3.5961 5.1770 90.00 90.00 90.00 — Exp.[55] h-ZrO 5.3110 5.3110 3.2005 90.00 90.00 120.00 –2.975 This work 5.2850 5.2850 3.1790 90.00 90.00 120.00 — DFT-GGA[56] 5.3100 5.3100 3.2000 90.00 90.00 120.00 — Exp.[22] Phase a/Å b/Å c/Å α/(°) β/(°) γ/(°) V/Å3 ΔV/Å3 ΔV/V0/% pure phases t 3.62 3.62 5.28 90.00 90.00 90.00 34.62 — — m 5.19 5.24 5.38 90.00 99.63 90.00 36.07 — — Nb5+doping t 3.52 3.51 5.07 90.00 90.00 90.00 31.27 –3.34 –10.69 m 4.94 5.18 5.00 90.10 96.75 89.69 31.76 –4.31 –13.56 Nb4+doping t 3.61 3.61 5.24 90.00 90.00 90.00 34.07 –0.55 –1.61 m 5.14 5.20 5.36 89.90 100.48 89.23 35.28 –0.79 –2.23 Nb3+doping t 3.33 4.23 7.02 90.00 90.00 90.00 49.49 14.88 30.06 m 5.32 5.30 5.52 90.14 102.46 89.71 38.02 1.95 5.14 Sn4+doping t 3.65 3.59 5.35 90.00 90.00 90.00 35.08 0.46 1.31 m 5.20 5.16 5.47 89.62 97.14 88.22 36.41 0.34 0.93 Sn2+doping t 4.14 3.41 7.00 90.00 90.00 90.00 49.34 14.73 29.84 m 5.80 5.90 6.18 90.26 115.55 89.93 47.77 11.70 24.48 Mx+ Phases C/% 25 6.25 3.125 E(Ox, 0)
/(eV·atom–1)Pure t –3.82 m –3.86 Sn4+ t –3.47 –3.74 –3.78 m –3.51 –3.77 –3.82 Sn2+ t –2.72 –3.54 –3.68 m –2.83 –3.59 –3.72 Nb5+ t –4.38 –3.96 –3.89 m –4.39 –3.98 –3.92 Nb4+ t –3.44 –3.75 –3.79 m –3.49 –3.79 –3.82 Nb3+ t –2.72 –3.54 –3.68 m –2.68 –3.60 –3.73 $ \Delta $E($ {\mathrm{O}}x $, 0)
/(meV·atom–1)Pure –36.92 Sn4+ –38.14 –33.90 –35.47 Sn2+ –115.96 –49.31 –42.26 Nb5+ –7.99 –20.81 –29.65 Nb4+ –51.89 –38.89 –38.11 Nb3+ 38.71 –60.04 –48.30 $ {\mathrm{O}}x $ Pure Nb5+ Nb4+ Nb3+ Sn4+ Sn2+ $ {E}_{{\mathrm{f}}}^{{1{\mathrm{N}}{\mathrm{N}}{\text{-}}{\mathrm{O}}}_{{\mathrm{v}}{\mathrm{a}}{\mathrm{c}}}} $/eV 6.353 5.771 5.691 5.252 4.474 3.905 $ {E}_{{\mathrm{f}}}^{{2{\mathrm{N}}{\mathrm{N}}{\text{-}}{\mathrm{O}}}_{{\mathrm{v}}{\mathrm{a}}{\mathrm{c}}}} $/eV 5.938 5.919 5.362 5.257 5.029 -
[1] [2] [3] [4] [5] [6] [7] [8] [9] [10] [11] [12] [13] [14] [15] [16] [17] [18] [19] [20] [21] [22] [23] [24] [25] [26] [27] [28] [29] [30] [31] [32] [33] [34] [35] [36] [37] [38] [39] [40] [41] [42] [43] [44] [45] [46] [47] [48] [49] [50] [51] [52] [53] [54] [55] [56] [57] [58] [59] [60] [61] [62]
计量
- 文章访问数:824
- PDF下载量:48
- 被引次数:0












下载:



