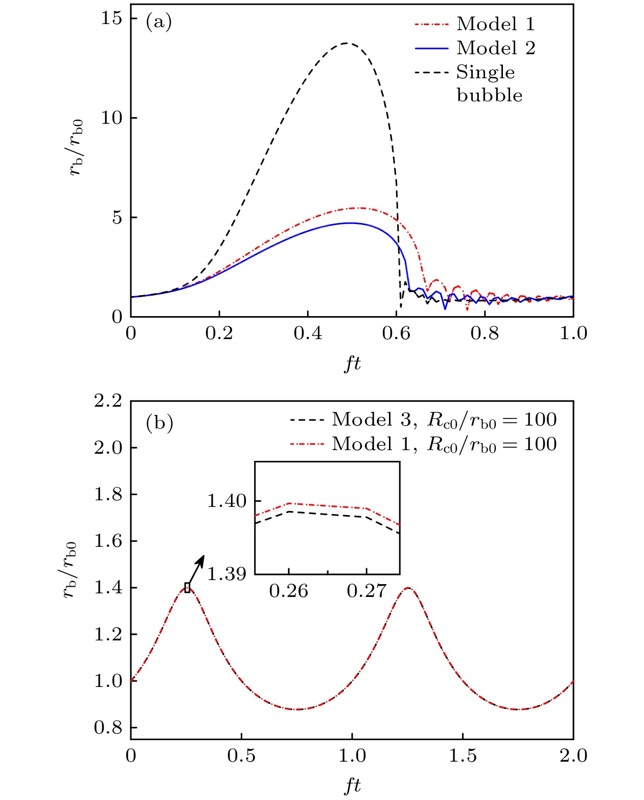
Considering the interactions between bubbles in a multi-bubble system in a liquid micro-cavity, a spherical bubble cluster in a liquid cavity is modeled in order to describe the dynamical effect of the viscoelastic medium outside the liquid cavity on the oscillation of bubbles, and the coupled equations of bubbles are obtained. Subsequently, the acoustic response characteristics of bubbles are investigated by analyzing the radial oscillation, the stability of the non-spherical shape of bubbles and the threshold of inertial cavitation. The results show that the confinement of the cavity and the bubble cluster facilitates the suppression of bubble oscillation, however, it might enhance the nonlinear properties of bubbles to a certain extent. From the acoustic response curve at 1 MHz, it is found that the main resonance peaks shift leftward with the increase of the bubble number, which means a minor resonant radius can be obtained. The nonlinear stability of bubbles in a confined environment is mainly determined by acoustic pressure amplitude and frequency, the initial bubble radius, and bubble number density, while the effect of the cavity radius is enhanced with the increase of the driving pressure. There is a minimum unstable driving acoustic pressure threshold, depending on the initial bubble radius, and the unstable regions are mainly located in a range of less than 4 μm. With the increase in bubble number density, the strip-type stable region scattered of the unstable region in the map is gradually transformed into a random patch-like distribution, which indicates that the bubble oscillation under high acoustic pressure is more sensitive to the parameters, and it is very susceptible to interference, produces unstable oscillation and then collapses. When the bubble equilibrium radius is in a range greater than 4 μm, the influences of frequency and bubble number density on the inertial thresholds are particularly significant.