The integration of metallic nanoparticles (MNPs) with plasmonic effects is an alternative approach to managing photons and charge carriers, and is considered as a promising method of advancing solar cell technologies. Plasmonic-enhanced solar energy harvesting involves three mechanisms: hot-electron injection, light trapping, and modulation of energy flow direction through dipole-dipole coupling. It has been observed that these phenomena significantly improve the performance of silicon, gallium arsenide, dye-sensitized, and organic solar cells. However, for emerging perovskite solar cells, the light trapping effect, specifically, through the far-field scattering of MNPs, has been seldom reported. The anomalous phenomenon is primarily attributed to the size constraints imposed on MNP by the thickness of the functional layers in cell devices. According to the theory of localized surface plasmon resonance (SPR), the characteristic size of the MNP needs to be larger than 90 nm to achieve optimal photon scattering. Conversely, the charge transport layers such as NiO
xand SnO
2in perovskite solar cells are usually very thin, with thickness ranging from a few nanometers to several tens of nanometers. Therefore, the community of perovskite solar cells still faces a great challenge in harvesting light through plasmonic scattering.
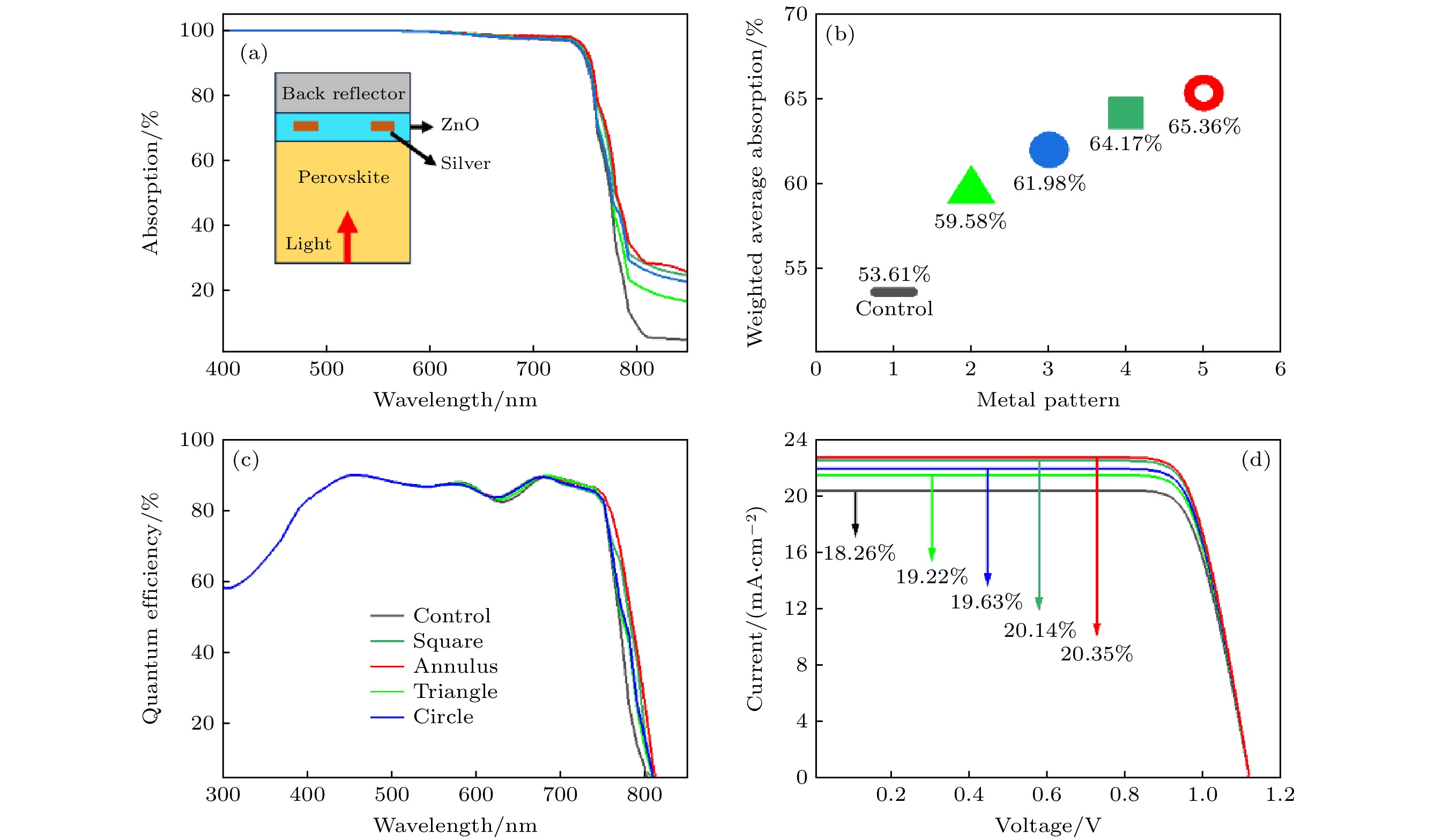
Comparing with MNPs, none of the shape, size, periodicity, and other characteristic parameters of two-dimensional metal patterns within the horizontal plane are not limited by the thickness of the device’s functional layer, thus making it more flexible to regulate the SPR response band, vibration intensity, and becoming a method of dissipating plasmonic energy. In this work, based on the finite-difference time-domain (FDTD) method and rigorous coupled-wave analysis (RCWA), we systematically investigate the SPR spectra of different metal patterns. The results demonstrate that by optimizing characteristic parameters such as pattern shape, thickness, and periodicity, a significant SPR phenomenon can be observed in the near-infrared region, with scattering dominating extinction. For the optimal metal ring pattern, the SPR peak corresponds to a wavelength of 772 nm, with the cross-section of relative absorption, scattering, and extinction being 0.54, 1.39, and 1.93, respectively. The weighted average absorption of the perovskite response layer in a range of 700–850 nm increases from 53.61% to 65.36%. Correspondingly, the photocurrent density of the device increases from 20.39 to 22.72 mA/cm
2, and the photoelectric conversion efficiency is relatively improved by 11.45%. This research provides a novel path for designing light trapping in perovskite solar cells in the near-infrared region, and serves as a “spectrum-based” reference for SPR regulation in other similar devices.