《必威体育下载 》创刊90周年·封面文章
封面文章
2024, 73 (16): 164204.
doi:10.7498/aps.73.20240791
摘要 +
量子光源是量子信息处理的关键器件之一, 是量子计算、量子通信、量子模拟等应用的重要基础, 基于量子光源制备量子态并提升其编码容量是量子信息技术发展的重大挑战. 轨道角动量 (OAM) 是光子一种无限维的空间自由度, 其空间模式构成无限维完备的正交基, 利用OAM制备高维量子态可大幅提升量子信息处理容量, 是高维量子信息处理的关键资源. 随着光量子技术的进步, 多种重要光量子器件已可在集成化芯片上实现. 然而, 微纳尺度下制备高维OAM量子态仍是实现量子光源集成化的挑战, 亟需深入研究和突破. 本文综述并讨论了集成化OAM量子光源的研究进展及其研究中面临的热点和难点问题, 为推进高维量子光源在量子信息处理中的研究及实用化进程提供参考.
总论
编辑推荐
2024, 73 (16): 160301.
doi:10.7498/aps.73.20240450
摘要 +
以量子信息领域中常使用的Werner态为研究对象, 详细地研究了其在两种非马尔科夫相位阻尼环境, 即Random-Telegraph (RT)噪声环境、Ornstein-Uhlenbeck (OU)噪声环境, 以及非马尔科夫振幅阻尼(AD)环境中演化后的量子非局域关联检验情况. 分别推导了Werner态在RT, OU以及AD环境中密度矩阵随时间的演化结果. 基于Clauser-Horne-Shimony-Holt (CHSH)不等式, 对演化后的量子态进行了详细的量子非局域关联检验研究. 结果表明, Werner态在RT噪声环境和AD环境中存在信息回流现象, 导致其量子非局域关联特性存在周期性振荡变化的现象, 即随演化时间的增加, 量子态能够从不具备量子非局域关联特性重新回到具有量子非局域关联特性的情况. 而在OU噪声环境中, 由于不存在信息回流现象, 量子非局域关联检验值将随演化时间的增加而降低. 同时, 本文还详细给出了Werner的保真度、量子态与非马尔科夫环境的耦合强度、OU噪声环境和AD环境的线宽、RT环境噪声的翻转率等参数与成功进行量子非局域关联检验的演化时间之间的关系.
2024, 73 (16): 160302.
doi:10.7498/aps.73.20240665
摘要 +
量子相变是量子光学和凝聚态物理领域的一个重要课题. 本文在标准双模Dicke模型的基础上引入原子-光的非线性相互作用, 研究其所引起的量子相变. 利用自旋相干态变分法从理论上给出有两个参量的基态能量泛函. 两模光场采用四种不同的比例关系进行研究, 并且在实验参数下, 通过可调的原子-光的非线性相互作用参量, 给出了宏观多粒子量子态的丰富结构. 本文主要呈现了在蓝失谐和红失谐下, 双稳的正常相、共存的正常-超辐射相和原子数反转态等丰富的基态特性. 原子-光的非线性相互作用在蓝失谐可以引起标准的双模Dicke模型的正常相到超辐射相的二级量子相变. 在红失谐时引起新奇的基态特性, 新奇的量子相变, 即反转的超辐射相到反转的正常相的二级逆量子相变. 原子-光的非线性相互作用和两模光场比例不同时, 对量子相变的相边界和基态物理量的值有较大影响.
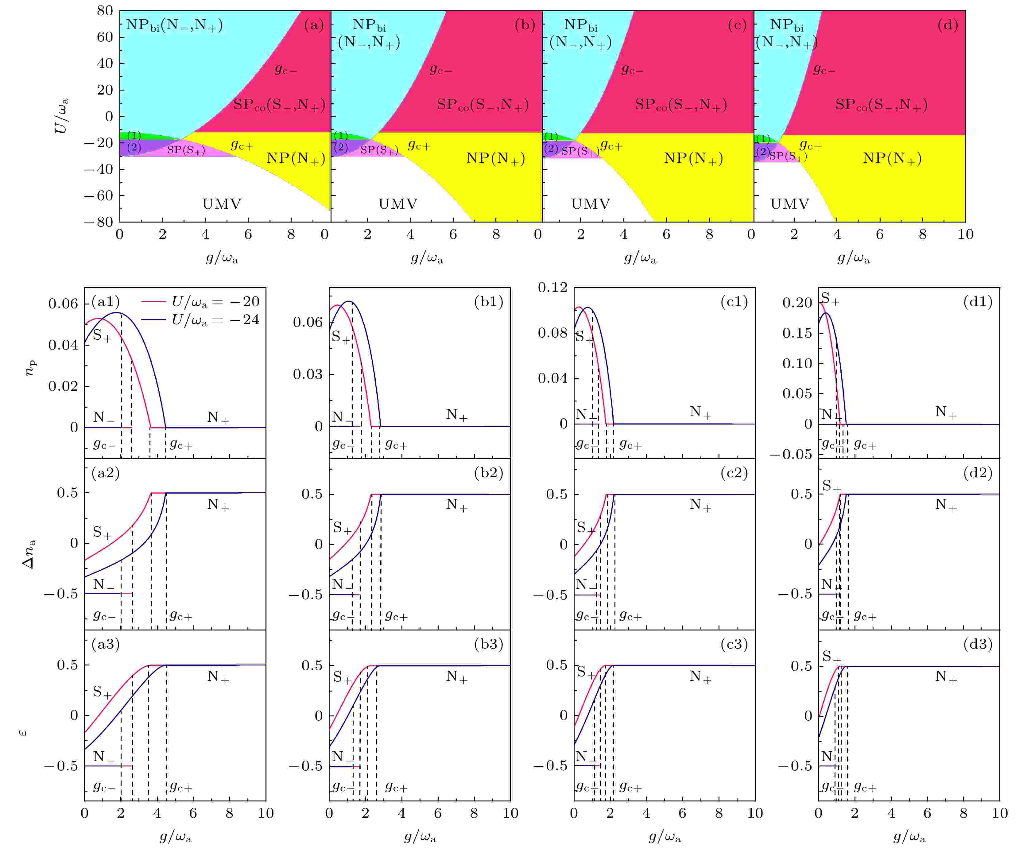
2024, 73 (16): 160501.
doi:10.7498/aps.73.20240852
摘要 +
Villain-Lai-Das Sarma (VLDS)方程因其能够有效描述分子束外延生长过程而在表面生长动力学等领域中备受关注. 然而, 长程关联噪声驱动下的VLDS方程的标度结果尚不明确, 不同解析近似方法所得的标度结果仍不自洽. 在数值模拟方面, 由于非线性项的存在, VLDS方程一直存在数值发散的问题. 当前主要引入指数衰减技术替换非线性项以缓解数值发散的问题, 但是最近研究表明, 这种方法会导致所获得的标度指数发生歧变. 因此本文基于深度神经网络来表征VLDS方程中的各个确定项, 并基于数值稳定型神经网络分别对含长程时间和空间关联噪声的VLDS系统进行有效的数值模拟. 结果表明, 我们所构建的深度神经网络具有良好的数值计算稳定性和泛化性, 可以获得不同关联噪声驱动下的VLDS方程的可靠标度指数. 同时, 本文还发现长程时间关联噪声驱动的VLDS系统在时间关联指数较大时呈现谷堆状的表面形貌, 而空间关联噪声驱动下的表面形貌则仍然呈现自仿射分形结构.
编辑推荐
2024, 73 (16): 160502.
doi:10.7498/aps.73.20240784
摘要 +
自然界的许多活性物质都处在复杂的环境中, 例如动物群体穿过丛林、微生物在土壤中迁移、细菌被设计用于感知肿瘤的多孔环境等. 活性物质在复杂环境中的行为是一个值得探究的课题, 在生物物理、医疗工程、工业领域具有可观的应用意义. 本文用活性哑铃代表细菌等具有形状各向异性的活性物质, 采用郎之万动力学模拟, 研究它们渗透有限多孔介质的行为. 研究发现在低温和适当的活性力下, 活性哑铃能在介质内外聚集并形成4种稳定的聚集结构. 4种聚集结构分别是中空巨聚集、介质内中空聚集、密实巨聚集、介质内密实聚集. 定向运动的持久性决定了活性哑铃的聚集程度. 4种聚集结构的密度、极性序参量、热力学温度在介质内外的分布有明显的区别. 本研究结果有助于进一步理解活性物质在复杂环境中的生命活动, 为微流器件的设计、药物的输运等医学操作提供新的思路.
原子和分子物理学
2024, 73 (16): 163201.
doi:10.7498/aps.73.20240737
摘要 +
本文利用三维经典系综模型研究了平行偏振三色场中He原子的非次序双电离. 利用强度相同的1600 nm和800 nm脉冲组成驱动场, 低强度的400 nm脉冲作为控制场. 研究结果表明, 第一次返回碰撞轨道、奇数次返回碰撞轨道(不含第一次返回碰撞)和偶数次返回碰撞轨道释放的电子对和离子分别处在电子关联动量谱和离子动量谱上的不同区域. 通过改变控制场的相位, 可以很好地控制不同返回次数碰撞轨道在双电离中的占比, 进而实现对电子动量分布和离子动量分布的控制. 另外, 多次返回碰撞导致的双电离以碰撞电离机制为主, 而第一次返回碰撞导致的双电离以碰撞激发电离机制为主, 所以通过改变控制场的相位也能实现对双电离机制的调控.
电磁学、光学、声学、传热学、经典力学和流体动力学
2024, 73 (16): 164201.
doi:10.7498/aps.73.20240690
摘要 +
光学系统中周期调制主要是通过周期性变化的复折射率材料来实现, 类似于周期驱动系统的量子隧穿行为, 宇称-时间(PT)对称光学波导系统中光的传播可以通过周期调制来进行有效操控. 本文设计了一种通过周期调制波导与增益型-耗散型波导交叉放置调控PT对称性的物理模型, 在高频近似下讨论了周期调制对体系能谱的影响, 最后结合解析和数值的方法揭示了光在非厄米四通道光学波导中的动力学演化. 结果表明, 与以往周期调制波导与增益型-耗散型波导平行放置的四通道光学波导体系相比, 不仅可以通过周期调制调窄完全实能谱的存在范围, 且可以更早地观测到实能谱. 此外, 调制参数变化时, 四通道波导的相对光强和光学周期更为稳定. 该理论研究给出了一种更为高效、稳定的调控PT对称的构型.
2024, 73 (16): 164202.
doi:10.7498/aps.73.20240184
摘要 +
本文解析研究了基于纳米光纤-半导体量子点分子耦合系统中时间光孤子存储和读取. 结果表明, 由于半导体量子点分子中点间隧穿诱导透明效应, 系统中的光吸收被大大抑制. 同时, 纳米光纤的横向约束能增强光与系统的相互作用, 增强的系统非线性响应能平衡色散效应得到稳定的时间光孤子. 进一步研究表明, 通过关闭和打开点间隧穿耦合, 系统中可实现光孤子的高效率和高保真度的存储与读取. 上述结果对于固体量子材料中全光信息处理的实际应用具有一定的指导意义和潜在的应用价值.
2024, 73 (16): 164203.
doi:10.7498/aps.73.20240223
摘要 +
基于加工出的Dy3+, Na+: PbGa2S4晶体元件的吸收光谱测试以及Judd-Ofelt理论计算数据, 通过互易法计算出各发光能级间的荧光吸收与发射截面. 通过测试与计算得到的数据, 数值模拟了采用1.3 μm和1.7 μm泵浦源直接抽运Dy3+, Na+: PbGa2S4晶体产生4.3 μm中红外激光的实验方案. 计算分析了激光功率、增益和吸收系数在晶体内的空间分布, 分析比较了泵浦光功率、元件长度和输出镜反射率对输出功率的影响. 模型中在光路中引入2.9 μm级联激光振荡, 以此抽运因为4.3 μm发光堆积在能级6H13/2上的粒子数, 发现其可以有效降低能级6H11/2到6H13/2跃迁的自终止效应, 提高激光输出功率. 计算结果表明: 采用1.3 μm和1.7 μm泵浦源, 当功率都为4 W时, 最大的输出功率分别为103 mW和315 mW, 斜率效率可达到2.8%和8.0%. 数值模拟的结果对下一步晶体元件的改良加工以及光路搭建参数的选取提供了一定的指导意义.
2024, 73 (16): 164205.
doi:10.7498/aps.73.20240747
摘要 +
针对空间光调制器(spatial light modulator, SLM)激光匀光整形方法, 提出了一种基于机器学习的激光匀光整形方法. 激光匀光整形的初步方法采用Gerchberg-Saxton (G-S)算法生成相位全息图, 并使用SLM将入射光调制为均匀光斑, 但SLM的固有匀光误差严重限制光斑均匀性进一步提高. 本文提出的机器学习方法能够实现对匀光误差进行补偿, 从而提高光斑的均匀度. 基于实验数据, 通过监督学习回归任务建立了匀光目标图像和实验探测图像之间的映射关系, 实验验证了对匀光误差进行补偿, 对比传统SLM激光匀光整形方法, 激光匀光不均匀度相对降低了13%, 从而验证了误差补偿机器学习方法实现高均匀度激光匀光整形的可行性与有效性. 本文能够为激光匀光整形方法提供基于机器学习的技术方法参考, 对推动激光加工、光学成像、光镊等激光应用具有重要的技术价值. 同时, 也能够为人工智能解决光学问题提供问题牵引与方法参考.
编辑推荐
2024, 73 (16): 164206.
doi:10.7498/aps.73.20240757
摘要 +
激光介质热效应引起的谐振腔模场结构变化成为高功率涡旋激光器的一个关键问题. 本文建立了环形光泵浦薄片激光晶体的温度场及热形变计算模型, 将热效应像差作为谐振腔衍射积分方程的微扰, 研究热效应对激光器模场结构的影响规律. 具体研究了Nd:YAG, Nd:YLF和Nd:YVO4薄片涡旋激光器的模场结构随泵浦功率、晶体吸收系数、晶体厚度的变化规律. 研究结果表明, 热效应使涡旋激光器模谱产生径向展宽, 模式纯净度下降. 泵浦功率越大, 高阶径向模式占比越大, 模场结构越复杂. 泵浦功率升高时, Nd:YVO4激光器的模谱展宽最大, Nd:YAG激光器的模谱展宽最小. 晶体吸收系数越大, 模谱展宽越严重; 激光晶体厚度减小时, 模谱展宽呈增宽趋势.
2024, 73 (16): 164207.
doi:10.7498/aps.73.20240753
摘要 +
作为一种非线性光学效应, 二次谐波产生(second harmonic generation, SHG)因其良好的偏振敏感性在获得物质成分、结构、特性等信息方面具有广泛应用. 尽管前人利用SHG光谱或SHG显微成像方法探索研究了纳米线的精密定位或追踪问题, 但是结合使用SHG光谱与SHG显微成像方法实现纳米材料结构与晶轴空间取向方面的研究鲜见报道. 本研究分别使用SHG光谱与SHG显微成像方法研究了CdS纳米线空间取向问题. 首先, 基于全光学分析方法从实验上和理论上研究了硫化镉(CdS)纳米线SHG光谱强度随入射光偏振方向变化的规律, 并详细分析了晶轴方位角γ,ω,φ对CdS纳米线SHG花型图的影响. 其次, 通过理论计算与实验测量结果相互验证, 成功确定了单根CdS纳米线的3个晶轴取向. 最后, 利用偏振相关的SHG显微成像方法研究了单根CdS纳米线的空间取向, 发现单根CdS纳米线不同部位具有不同的SHG响应. 研究结果为SHG光谱与显微成像在纳米材料空间高精度定位研究提供了新的思路与重要参考, 并为纳米材料在生物医学方面的潜在应用提供了重要启示.
2024, 73 (16): 164208.
doi:10.7498/aps.73.20240569
摘要 +
具有光学双稳态的非线性微纳光学器件在光集成电路和光神经网络中有着重要的应用. 然而, 传统光学双稳态特性会受到内部系统无序和外部系统扰动的影响, 不利于应用. 本文利用SiO2和TiO2的拓扑多层薄膜结构, 在拓扑模式电场强度最大的区域引入非线性介电常数, 探究拓扑模式的光学双稳态特性, 并分析了双稳态特性在层厚度变化和折射率变化下的鲁棒性. 最后, 本文将双稳态特性作为非线性激活函数应用到了光神经网络计算中, 相比于传统的非线性激活函数ReLu和Sigmoid, 双稳态非线性激活函数展示出了更好的图像识别精度. 本文结果对研发下一代鲁棒性强的光神经网络有着重要研究意义.
2024, 73 (16): 164601.
doi:10.7498/aps.73.20240244
摘要 +
为了阐明冲击速度对单晶镍冲击层裂行为的影响机理, 采用非平衡分子动力学方法获得了不同冲击速度下单晶镍自由面的速度、径向分布函数、原子晶体结构、位错和孔洞演化过程. 结果表明单晶镍层裂行为的临界冲击速度为1.5 km/s, 当冲击速度Up≤ 1.5 km/s时, 层裂机制为经典层裂损伤, 而Up>1.5 km/s时表现出微层裂损伤. 相比经典层裂, 微层裂下孔洞数量显著增加, 分布更为分散, 应力区域宽. 分析了冲击速度对经典层裂损伤行为(Up≤ 1.5 km/s)的影响, 并获得了相应的层裂强度, 当Up= 1.3 km/s时, 发生层裂强度突变. 单晶镍的层裂强度与层错、相变和位错机制共同作用. 随着位错形核和发射位错数量增加, 导致层裂强度先下降. 当冲击速度Up< 1.3 km/s时, 层裂损伤主要由层错作用影响; 当Up= 1.3 km/s时, 层裂强度主要受到层错与相变共同竞争作用; 当冲击速度Up> 1.3 km/s, 层裂强度主要由BCC相变机制影响, 其相变机制为相变路径为FCC→BCT→BCC的马氏体相变机制. 本文揭示了冲击速度对层裂损伤和断裂影响规律及作用机制, 可为镍基材料在极端冲击条件下的防护应用提供理论基础.
2024, 73 (16): 164701.
doi:10.7498/aps.73.20240591
摘要 +
在高Zeta势下, 研究平行板微通道中一类不可压缩微极性流体的时间周期电渗流. 在不使用Debye-Hückel线性近似条件下, 利用有限差分法数值求解非线性Poisson-Boltzmann方程和不可压缩微极性流体的连续性方程、动量方程、角动量方程及本构方程, 在低Zeta势下将所得结果与使用Debye-Hückel线性近似得到的解析解比较, 证明本文数值方法是可行的; 讨论高Zeta势下电动宽度m、电振荡频率
$ \varOmega $
、微极性参数
$ {k_1} $
等无量纲参数对不可压缩微极性流体的速度和微旋转效应的影响. 研究表明: 1)随着Zeta势的增大, 微极性流体的速度、微旋转、体积流量、微旋强度以及剪切应力增大, 说明与低Zeta势相比, 高Zeta势对微极性流体电渗流有显著的促进作用. 2)在高Zeta势下, 随着微极性参数的增大, 微极性流体的速度减小, 但是对微旋转效应呈现先增强后减弱的趋势. 3)在高Zeta势下, 当电振荡频率较低(小于1)时, 电动宽度的增大促进微极性流体的流动, 但抑制其微旋转; 当电振荡频率较高(大于1)时, 电动宽度的增大抑制微极性流体的流动及微旋转, 但促进体积流量快速增大并趋于恒定. 4)在高Zeta势下, 当电振荡频率较低(小于1)时, 微极性流体电渗流速度和微旋转随着电振荡频率的变化呈现明显的振荡变化趋势, 但是速度和微旋转的峰值、体积流量及微旋强度均保持不变; 当电振荡频率较高(大于1)时, 随着电振荡频率的增大, 微极性流体电渗流速度和微旋转的幅值减小, 体积流量及微旋强度减小直至趋于零. 5)在高Zeta势下, 壁面剪切应力
$ {\sigma _{21}} $
及
$ {\sigma _{12}} $
的幅值随电动宽度的增大而增大; 当电振荡频率较低(小于1)时, 壁面剪切应力
$ {\sigma _{21}} $
与
$ {\sigma _{12}} $
不随电振荡频率的增大而变化, 均取恒定值, 且微极性参数的取值不影响壁面剪切应力
$ {\sigma _{21}} $
的幅值; 当电振荡频率较高(大于1)时, 壁面剪切应力
$ {\sigma _{21}} $
及
$ {\sigma _{12}} $
的幅值随电振荡频率的增大而减小, 且壁面剪切应力
$ {\sigma _{21}} $
的幅值随着微极性参数的增大而减小, 而壁面剪切应力
$ {\sigma _{12}} $
的振幅随着微极性参数的增大而线性减小.
2024, 73 (16): 164702.
doi:10.7498/aps.73.20240713
摘要 +
为观察喷管收缩扩张型面上边界层发展演化现象, 研究超声速喷管内流场, 本文采用传统特征线方法设计喷管型面, 设计并制造了内流可视的超声速风洞. 通过数值计算和实验测量的方式验证了风洞喷管出口流场均匀稳定, 马赫数均方根偏差均优于国军标合格标准; 利用纳米粒子示踪平面激光散射技术, 开展内流可视超声速喷管的流动显示试验, 获取了喷管内全流场精细结构图像; 通过图像处理技术提取边界层与主流交界面, 采用分形维数的方法分析边界层状态, 定位边界层转捩位置. 结果表明: 喷管型面的开始转捩位置比喷管上平直壁面更加靠近下游; 分形维数可以定性地判断边界层的流动状态, 对于层流边界层和转捩初期的发卡涡需要结合边界层厚度进行区分.
气体、等离子体和放电物理
2024, 73 (16): 165101.
doi:10.7498/aps.73.20240482
摘要 +
磁流变弹性体在振动控制领域展现出巨大的潜力, 但其磁致力学性能的测量过程往往需投入较高的人工与时间成本. 本研究旨在利用机器学习方法在小样本试验数据驱动下实现磁流变弹性体磁致力学性能的快速准确预测. 基于加装可控磁场的剪切流变仪测试了磁流变弹性体 (9种配比, 4种加载频率)的磁致储能模量. 每种样品取5个测试点作为训练集并搭建支持向量回归机器学习模型, 从而表征磁流变弹性体的磁致储能模量. 结果表明, 相较于典型的理论模型, SVR模型仅使用5个样本点即可更准确表征磁流变弹性体磁致储能模量, 相关系数高达0.998. 另外, SVR模型训练时间仅为0.02 s, 可显著加速磁流变弹性体表征的进程. 更重要的是, SVR模型具有良好的泛化性, 对于不同硅油配比和不同加载频率的磁流变弹性体预测结果的相关系数仍可达 0.998 以上. 因此, 机器学习模型可实现磁流变弹性体磁致储能模量的快速准确表征, 为新型磁流变材料的研发提供参考.
编辑推荐
2024, 73 (16): 165201.
doi:10.7498/aps.73.20240364
摘要 +
深振荡脉冲磁控溅射(deep oscillation magnetron sputtering, DOMS)以一系列微脉冲振荡波形的形式向靶提供能量, 提供高密度等离子体的同时能够实现完全消除电弧放电和提高靶材原子离化率, 实现高质量薄膜的沉积制备. 针对DOMS微脉冲放电形式拓宽放电参数空间, 提高工艺灵活性的特点, 建立脉冲等离子体整体模型, 测量充电电压DCint= 300—380 V和微脉冲开启时间τon= 2—6 μs的Cr靶放电电压电流, 将电压电流波形作为模型输入条件, 获得DOMS放电等离子体参数随时间变化规律. 充电电压300 V, 等离子体峰值密度由τon= 2 μs的1.34×1018m–3增至τon= 3 μs的2.64×1018m–3,τon由3 μs增至6 μs时, 等离子体峰值密度基本不变. 靶材离化率随τon变化趋呈现相近趋势, 由τon= 2 μs的12%增至τon= 3 μs的20%,τon进一步增至6 μs, 离化率基本保持不变. 固定τon= 6 μs, DCint由300 V升高至380 V, 等离子体峰值密度由2.67×1018m–3增至3.90×1018m–3, 金属离化率由21%增至28%. DOMS放电具有高功率脉冲磁控溅射典型的金属自溅射现象, 峰值自溅射参数Πpeak随功率密度线性增大, 表明峰值功率密度是调控DOMS放电中金属自溅射的主要参数.Πpeak最高达到0.20, 金属自溅射程度远高于常规脉冲直流磁控溅射, 等离子体密度和沉积通量中金属离化率提高, 原子沉积带来的阴影效应减轻, 是DOMS沉积薄膜质量提高的原因.
编辑推荐
2024, 73 (16): 165202.
doi:10.7498/aps.73.20240696
摘要 +
利用粒子模拟程序研究了百拍瓦极端光场条件下, 锥形等离子体通道对激光脉冲的整形和重离子加速的影响. 研究发现, 由于非线性干涉和聚焦效应, 锥形等离子体通道能够整形激光脉冲时空波形并增强激光强度. 对于强度为5.46 × 1022W/cm2、束腰半径为10 μm的线偏振激光入射夹角θ= 10°的锥形等离子体通道, 可获得紧聚焦 (束腰半径< 1 μm)、超高强度 (强度提高6倍) 的整形激光. 利用该激光加速通道末端的超薄平靶发现, 辐射反作用力能够有效地抑制由于电子加热和激光强度横向不均匀引起的超薄平靶横向膨胀, 延长超薄平靶透明时间, 使得金离子得到充分加速, 最终可获得截止能量高达约 240 GeV的金离子. 研究结果有望为未来百PW激光重离子加速实验方案设计及其在核-核碰撞中的应用研究提供理论参考.
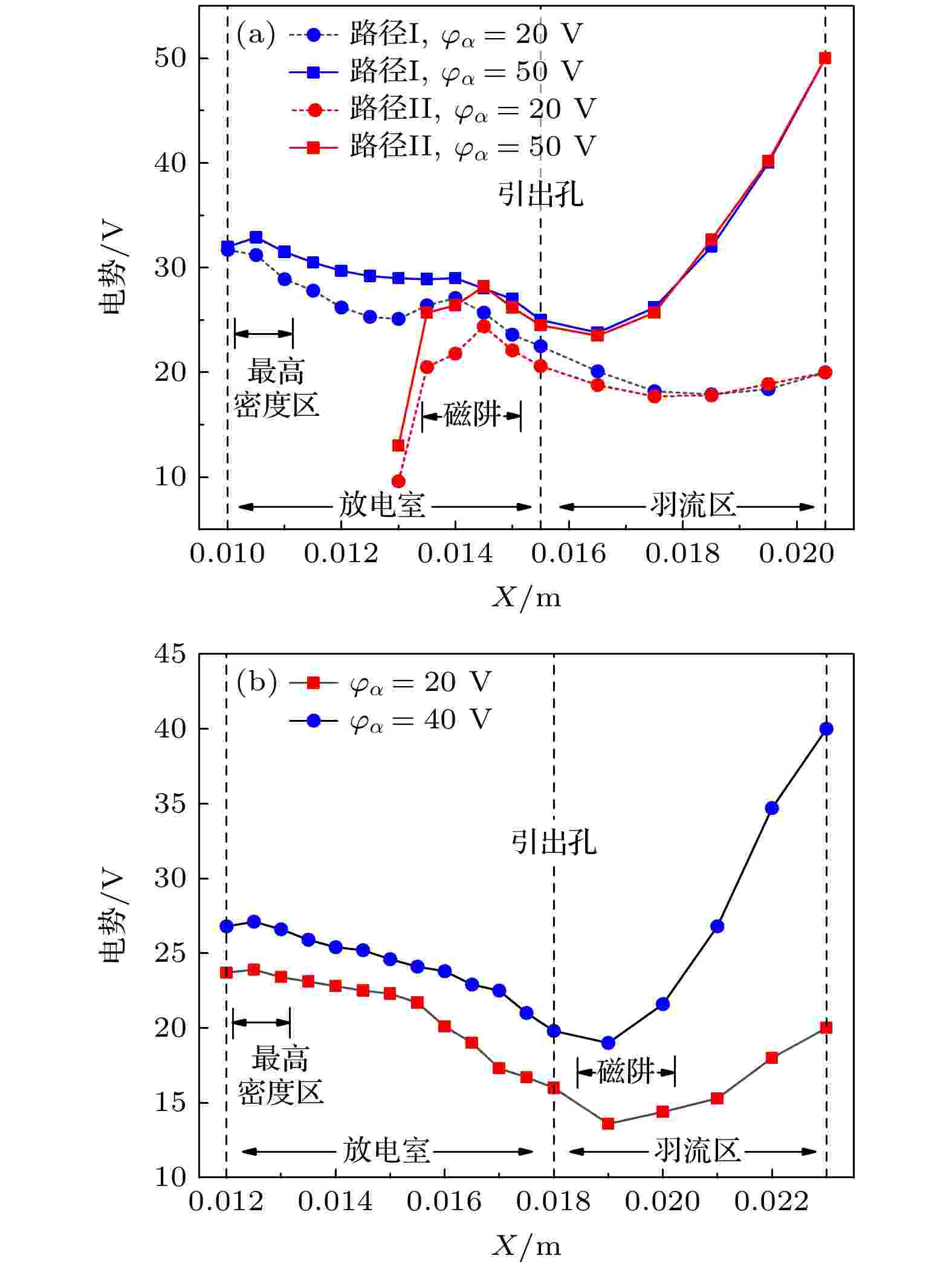
2024, 73 (16): 165203.
doi:10.7498/aps.73.20240612
摘要 +
10 cm电子回旋共振离子推力器(ECRIT)的ECR中和器是关键部件, 其内部磁场是影响中和器性能的重要因素. 磁场的均匀性和磁阱位置是磁场特征的重要表现, 制约等离子体与电势的分布规律、电子引出过程及中和器性能. 本文分别建立磁场均匀性低、磁阱位于电子引出孔上游和磁场均匀性高、磁阱位于电子引出孔下游的ECR中和器PIC/MCC模型, 在给定参数条件下, 开展等离子体和电势分布规律及电子引出过程的数值模拟研究并分析其对中和器性能的影响. 结果表明, 磁场均匀性高、磁阱位于电子引出孔下游时, 中和器内整体电势分布较均匀, 电子容易朝磁阱区迁移, 低引出电势引出高电子束流, 其性能高于磁场均匀性低、磁阱内置的中和器. 研究工作将为发展高性能的ECR中和器奠定重要基础.
凝聚物质:电子结构、电学、磁学和光学性质
编辑推荐
2024, 73 (16): 167801.
doi:10.7498/aps.73.20240703
摘要 +
将光电子器件集成到硅片上是光电子集成器件研发的首要步骤. 自旋光电子学太赫兹辐射源, 通常是由纳米厚度的铁磁/非磁性金属多层膜结构组成, 在飞秒激光辐照下能产生高质量、宽带太赫兹脉冲辐射. 本文利用飞秒激光脉冲在生长于硅衬底上的Ta/CoFeB/Ir铁磁/非磁性金属异质结中实现了高效、宽带的太赫兹相干脉冲辐射. 首先, Ta/CoFeB/Ir异质结的太赫兹脉冲的极性随外加磁场的反转而反转, 太赫兹辐射的物理机制可以归结为超快自旋流-电荷流转换. 其次, 通过改变抽运激光的激发能量密度, 研究了Ta/CoFeB/Ir异质结的太赫兹辐射饱和现象. 此外, 通过研究Ta/CoFeB/Ir异质结的太赫兹发射特性随Ir层厚度的依赖关系, 不仅优化了器件的辐射强度, 而且获得了Ir层在太赫兹频率下的自旋扩散长度(~(0.59 ± 0.12) nm). 该值小于通过自旋抽运技术获得的GHz频率下的自旋扩散长度(1.34 nm), 表明不同频率范围对应于不同的电子输运机理.
物理学交叉学科及有关科学技术领域
2024, 73 (16): 168701.
doi:10.7498/aps.73.20240655
摘要 +
基于涡旋光束旋转多普勒效应的转速测量技术, 在实际应用中面临探测涡旋光功率低、难以严格沿转轴入射、轨道角动量谱扩散严重等问题, 直接影响转速测量的距离和精度. 阵列光束相干合成高质量、高功率的涡旋光束, 是提高回波信号强度最直接的技术方法. 本文在光纤激光阵列相干合成涡旋光束转速测量实验装置的基础上, 开展了离轴入射条件下的相干合成涡旋光束目标转速测量的理论建模和实验验证研究. 首先, 对离轴入射相干合成涡旋光的轨道角动量谱进行了理论研究, 建立了基于旋转多普勒效应的相干合成涡旋光束目标转速解调的一般模型. 其次, 进行了离轴入射情况下的目标转速测量实验, 实验结果验证了该转速解调普适模型的有效性. 该研究可为基于涡旋光束旋转多普勒效应的远程探测应用提供技术参考.
2024, 73 (16): 168801.
doi:10.7498/aps.73.20240607
摘要 +
表面等离激元共振(SPR)是调控太阳电池光谱响应、增强能量转换效率的重要策略之一. 但对于平面异质型的钙钛矿电池, 由于各功能层厚度对金属纳米结构的尺寸限制, SPR的响应波段通常被束缚在很窄的可见光区域, 且共振能量的消散以外层电子的热吸收为主. 本文基于时域有限差分方法(FDTD)和严格耦合波分析(RCWA), 系统研究了不同金属图案的SPR图谱. 结果表明, 通过对图案形状、厚度、周期等特征参数的优化, 可以在近红外区域观察到明显的SPR现象, 同时散射在消光中占据主导地位. 对于最优的金属圆环, SPR峰值对应的波长为772 nm, 此时相对吸收、散射和消光截面分别为0.54, 1.39和1.93, 钙钛矿响应层在700—850 nm之间的加权平均吸收从53.61%提升到65.36%. 相应器件的光生电流密度从20.39 mA/cm2增至22.72 mA/cm2, 光电转换效率相对提升了11.45%.
2024, 73 (16): 168901.
doi:10.7498/aps.73.20240454
摘要 +
本文建立了节点和连边耦合的二元相互依赖网络模型(binary interdependent networks with node and edge coupling, BINNEC). 该模型中, 网络A节点随机依赖网络B多条边从而形成边依赖群, 当边依赖群的失效比例超过网络失效容忍度
$\mu $
时, 导致网络A的节点失效. 基于自平衡概率法建立起理论分析框架, 通过对3种经典网络结构下的BINNEC网络进行计算机仿真验证, 并分析了该模型面对随机攻击下的相变行为和关键阈值. 研究结果表明3种网络结构下的BINNEC网络和一元耦合网络一样脆弱, 网络的相变行为都是一阶相变. 当网络节点的边依赖群规模
$m$
越大, 网络鲁棒性增强; 在网络的边依赖群规模一定时, 节点的失效容忍度
$\mu $
越大网络鲁棒性越强. 本文进一步研究在
$m$
和
$\mu $
相同条件下, 网络的度分布对BINNEC的影响. 研究可以为此类二元耦合网络鲁棒性提供一定的理论依据, 同时也为现实网络的安全设计提供指导意义.
地球物理学、天文学和天体物理学
编辑推荐
2024, 73 (16): 169201.
doi:10.7498/aps.73.20240679
摘要 +
高海拔宇宙线观测站(LHAASO)位于四川省稻城县海子山, 它的广角切伦科夫望远镜阵(WFCTA)主要是通过观测广延大气簇射过程中产生的切伦科夫光信号对宇宙线进行研究. WFCTA 的标定、模拟和重建都和大气深度有关, 目前使用的大气深度模型是美国标准大气深度廓线模型. 本研究中将美国标准大气深度廓线模型与卫星 TIMED搭载的红外辐射计SABER记录到的LHAASO处14—50 km处的大气深度廓线进行比较, 同时也与LHAASO处地面气象站记录的大气深度进行比较, 美国标准大气模型的大气深度均偏小. MSISE-90大气模型描述了地球大气中从地面到热层的中性温度和密度, 进一步研究发现MSISE-90大气模型与TIMED/SABER和LHAASO处地面标准气象站记录的大气深度的一致性较好. 根据MSISE-90大气模型计算得到LHAASO处的大气深度均值廓线在1月最低, 其次是2月、3月、4月、11月和12月, 这也是 WFCTA运行的最佳观测月份. 4月份的大气边界层最高, 其大气深度存在约2%的日变化. 利用美国标准大气模型的函数形式, 拟合每月的4.4—100 km处的大气深度廓线, 得到了LHAASO处的每月的大气深度廓线模型, 并比较了30°天顶角入射的100 TeV 的宇宙线质子在MSISE-90大气模型和美国标准大气模型中产生的切伦科夫光的横分布的差异, 二者最大差异约可以达到20%.




