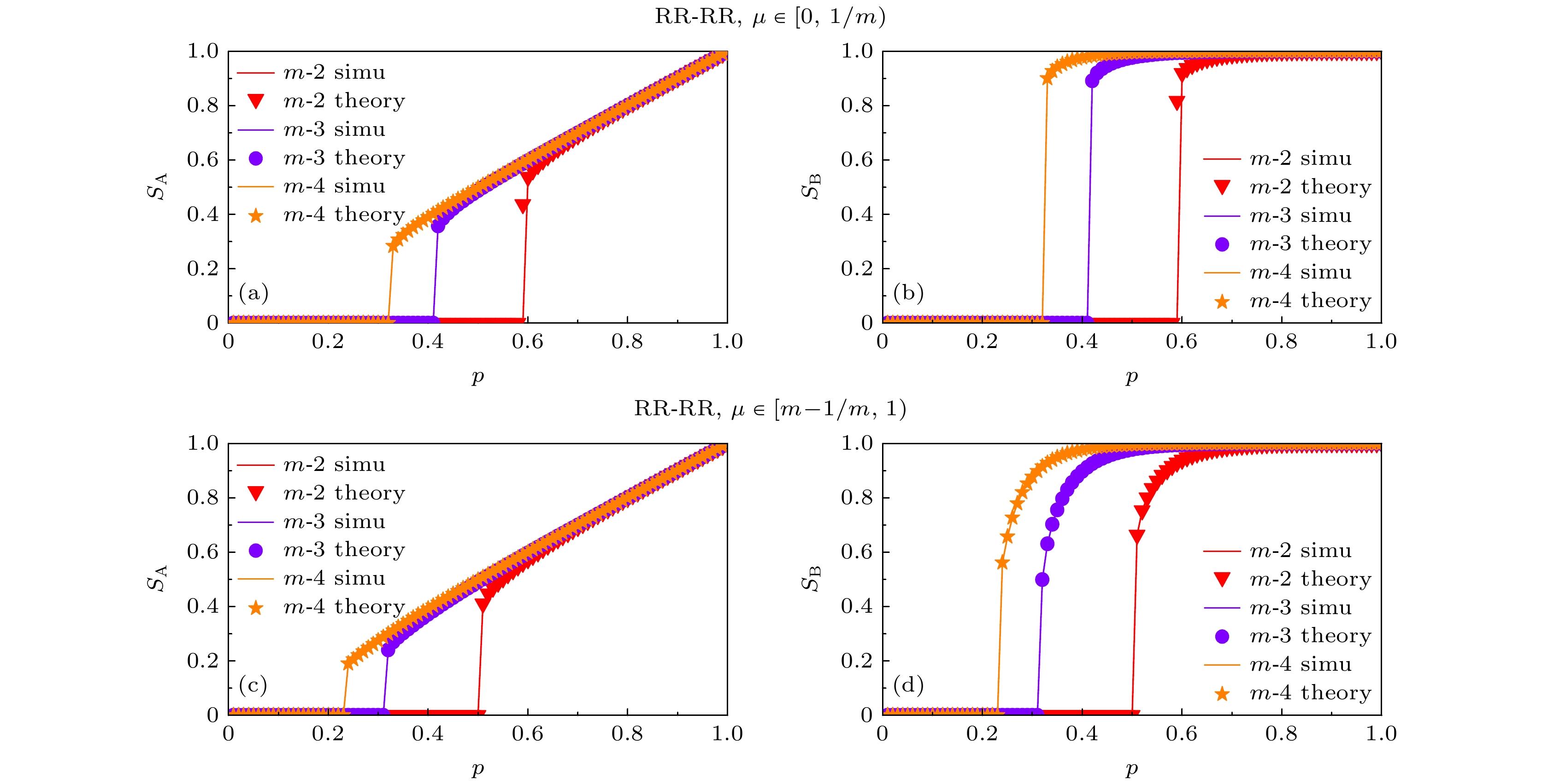
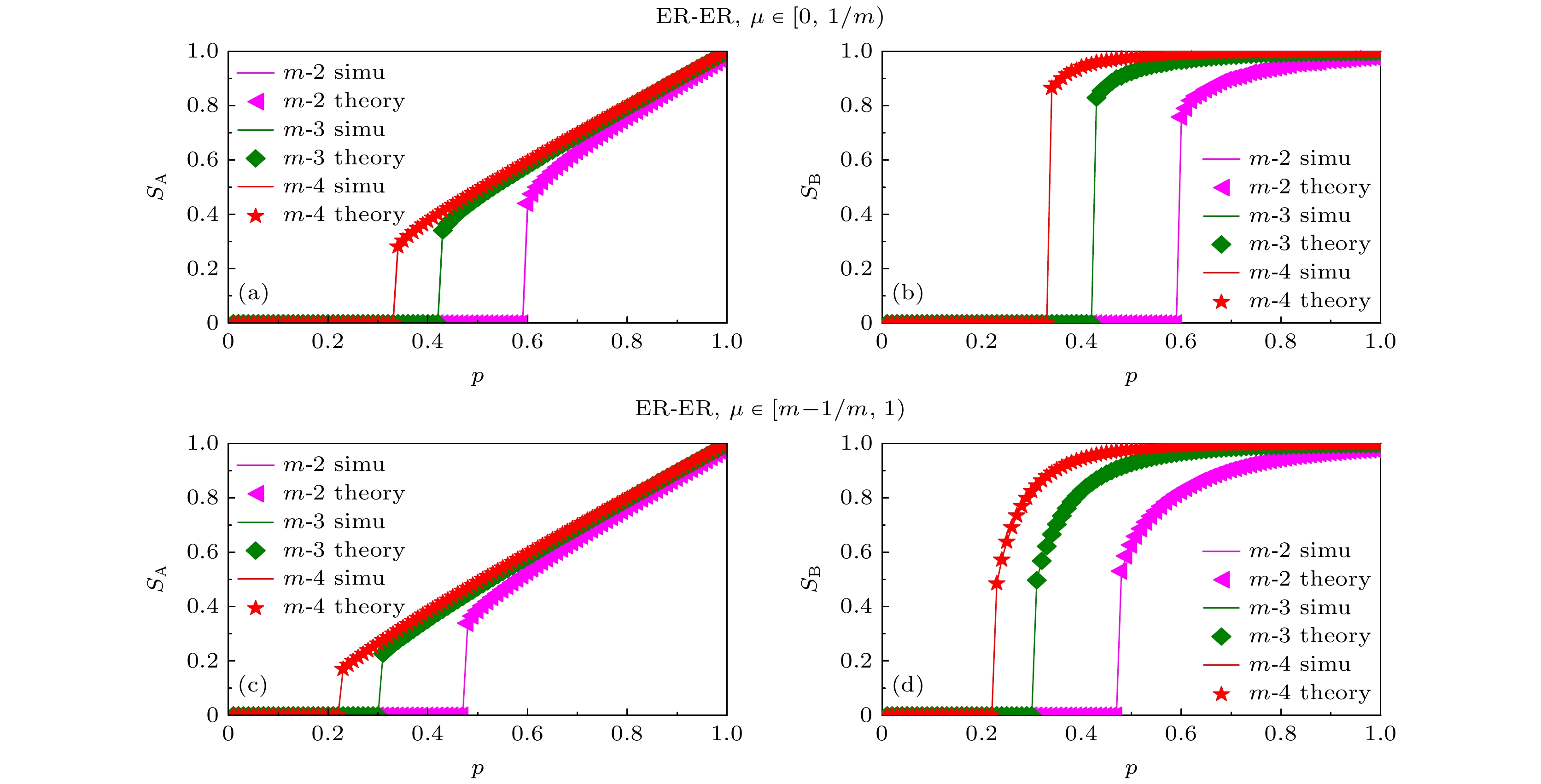
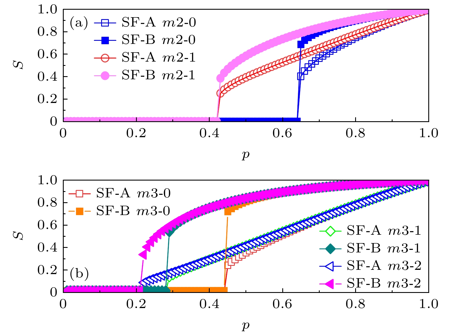
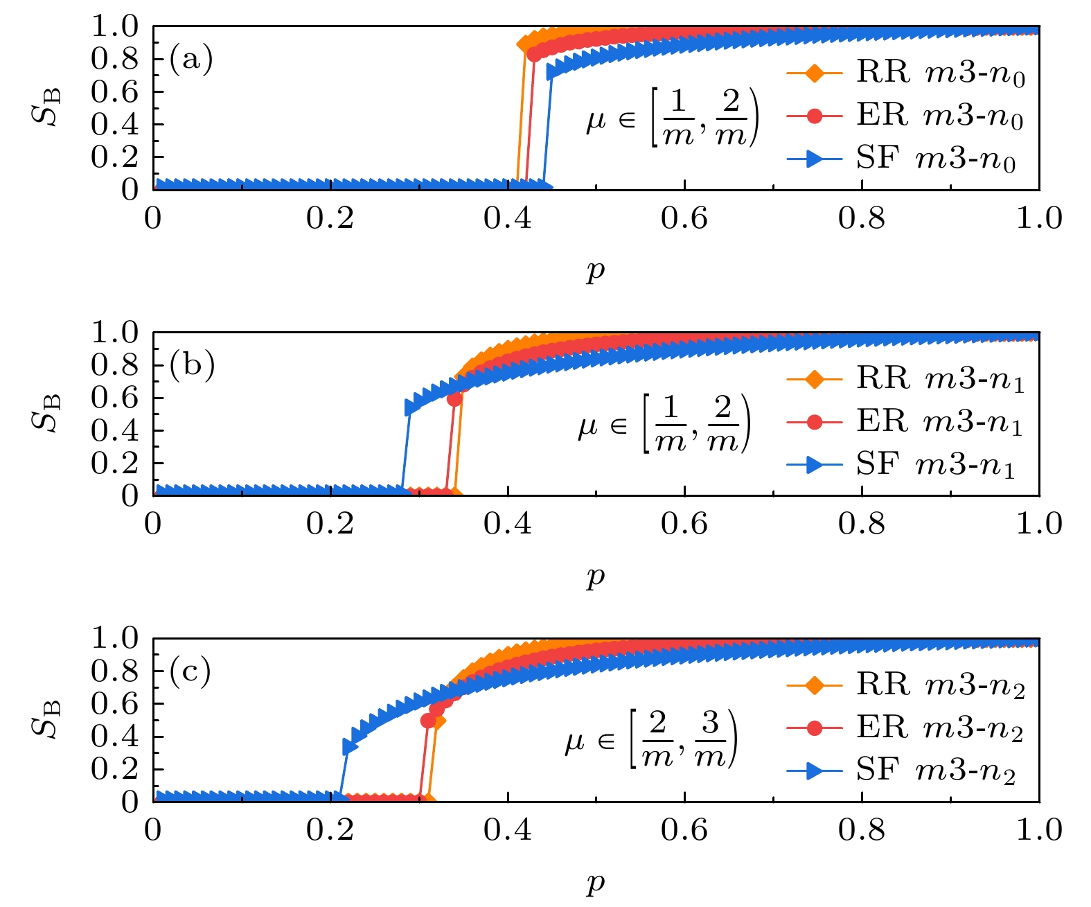
\begin{document}$\mu $\end{document}时, 导致网络A的节点失效. 基于自平衡概率法建立起理论分析框架, 通过对3种经典网络结构下的BINNEC网络进行计算机仿真验证, 并分析了该模型面对随机攻击下的相变行为和关键阈值. 研究结果表明3种网络结构下的BINNEC网络和一元耦合网络一样脆弱, 网络的相变行为都是一阶相变. 当网络节点的边依赖群规模\begin{document}$m$\end{document}越大, 网络鲁棒性增强; 在网络的边依赖群规模一定时, 节点的失效容忍度\begin{document}$\mu $\end{document}越大网络鲁棒性越强. 本文进一步研究在\begin{document}$m$\end{document}\begin{document}$\mu $\end{document}相同条件下, 网络的度分布对BINNEC的影响. 研究可以为此类二元耦合网络鲁棒性提供一定的理论依据, 同时也为现实网络的安全设计提供指导意义."> - 必威体育下载

搜索

x

留言板

姓名
邮箱
手机号码
标题
留言内容
验证码

downloadPDF
引用本文:
Citation:

    高彦丽, 徐维南, 周杰, 陈世明

    Analysis of seepage behaviour in binary two-layer coupled networks

    Gao Yan-Li, Xu Wei-Nan, Zhou Jie, Chen Shi-Ming
    PDF
    HTML
    导出引用
    计量
    • 文章访问数:260
    • PDF下载量:4
    • 被引次数:0
    出版历程
    • 收稿日期:2024-04-01
    • 修回日期:2024-06-14
    • 上网日期:2024-07-16
    • 刊出日期:2024-08-20

      返回文章
      返回