The time-periodic electroosmotic flow of a class of incompressible micropolar fluid in a parallel plate microchannel under high wall Zeta potential is studied in this work. Without using the Debye-Hückel linear approximation, the finite difference method is used to numerically solve the nonlinear Poisson-Boltzmann equation, the continuity equation, momentum equation, angular momentum equation, and constitutive equation of incompressible micropolar fluid. In the case of low Zeta potential, the results are compared with the analytical solution obtained in the Debye-Hückel linear approximation, and the feasibility of the numerical method is also proved. The influences of dimensionless parameters, such as electric width
$ m $
, electric oscillation frequency
$ \varOmega $
, and micro-polarity parameter
$ {k_1} $
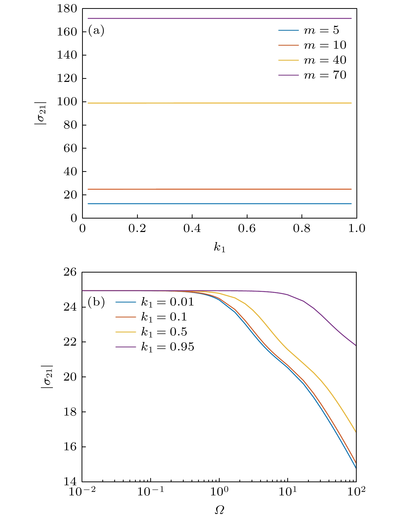
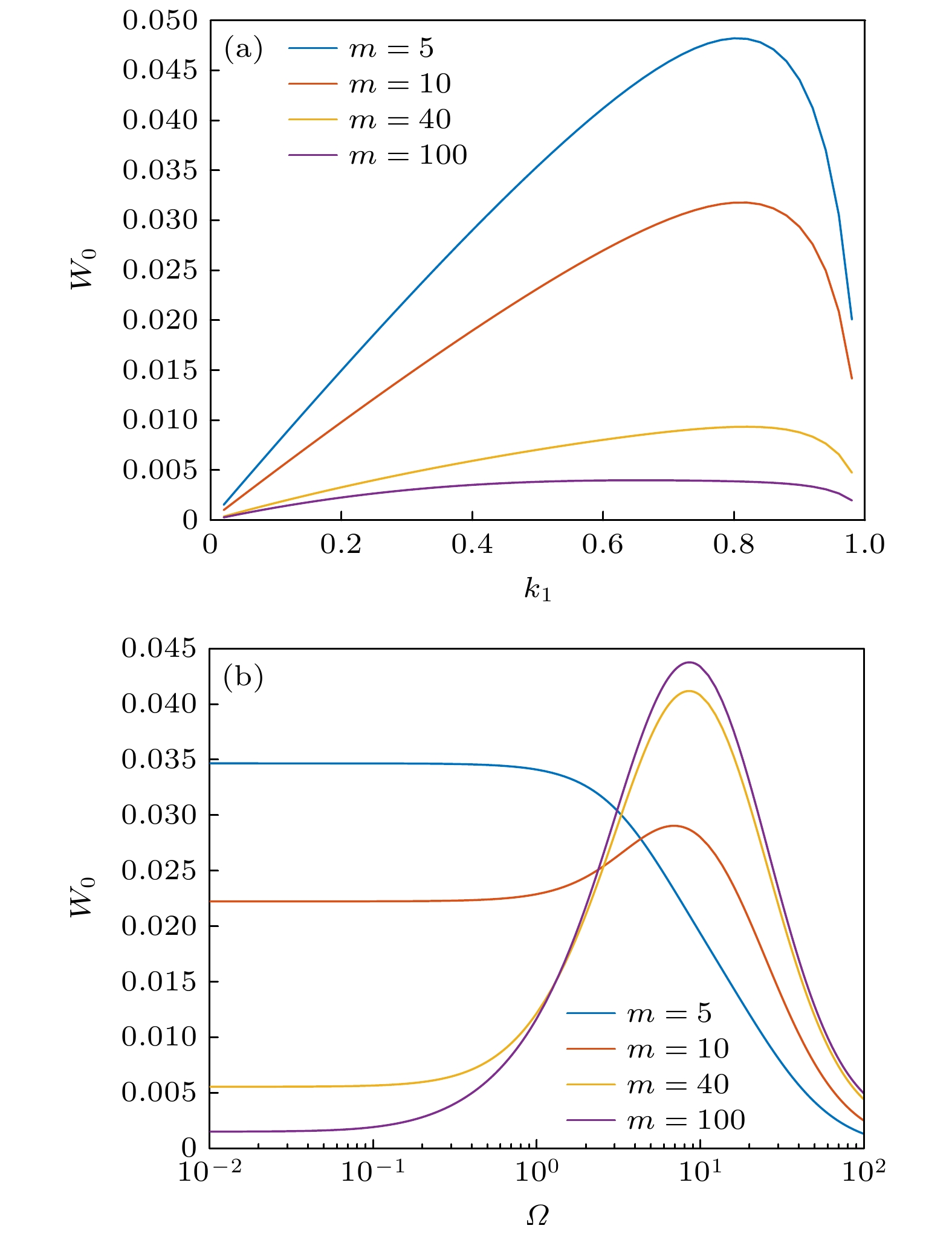
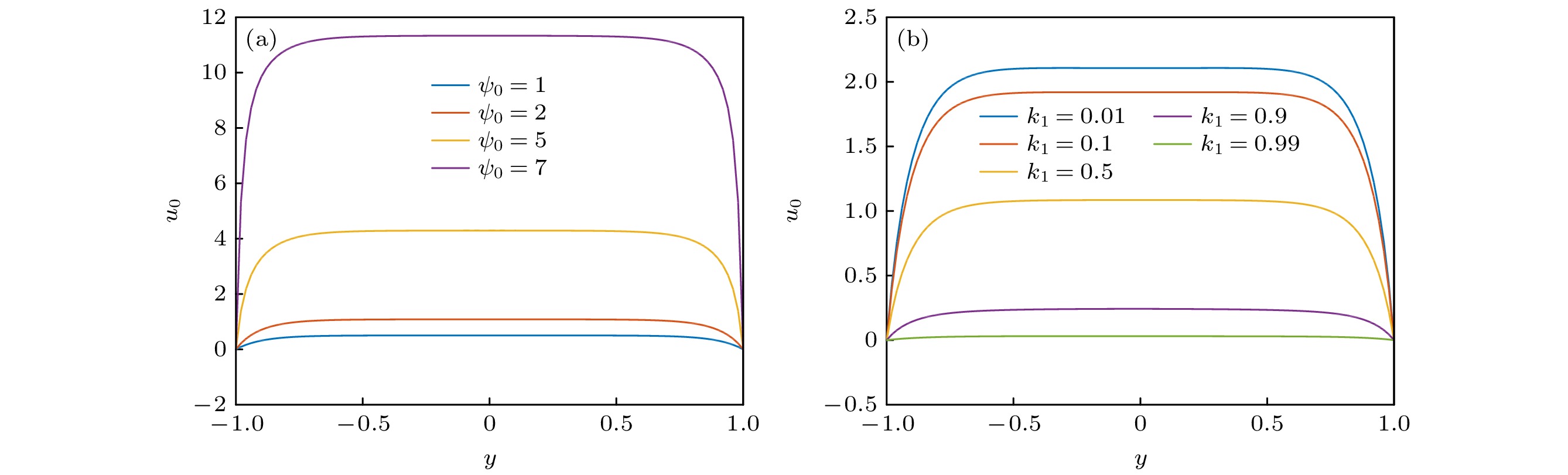
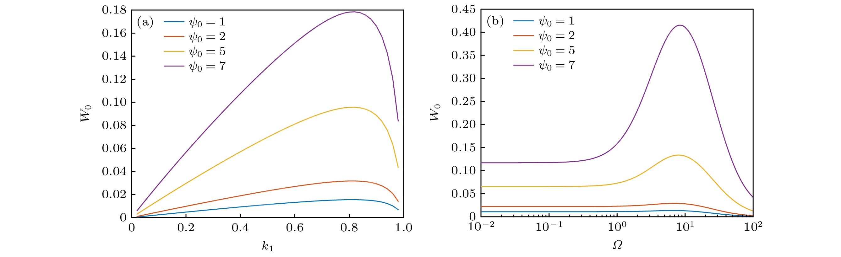
on the velocity and microrotation effect of incompressible micro-polarity fluid under high Zeta potential are discussed. The results are shown below. 1) With the increase of Zeta potential, the velocity, micro-rotation, volume flow, micro-rotation strength and shear stress of the micropolar fluid all increase, indicating that compared with the low Zeta potential, the high Zeta potential has a significant promotion effect on the electroosmotic flow of the micropolar fluid. 2) Under high Zeta potential, with the increase of the micro-polarity parameter, the velocity of the micropolar fluid decreases, and the micro-rotation effect shows a first-increasing-and-then-decreasing trend. 3) Under high Zeta potential, when the electric oscillation frequency is lower (less than 1), the increase of the electric width promotes the flow of the micropolar fluid, but impedes its micro-rotation; when the electric oscillation frequency is higher (greater than 1), the increase of the electric width impedes the flow and micro-rotation of the micropolar fluid, but expedites rapid increase of the volume flow rate and tends to be constant. 4) Under high Zeta potential, when the electric oscillation frequency is lower (less than 1), the electroosmotic flow velocity and micro-rotation of the micropolar fluid show an obvious oscillation trend with the change of the electric oscillation frequency, but the peak value of the velocity and micro-rotation, the volume flow rate and the micro-rotation intensity remain unchanged; when the electric oscillation frequency is higher (greater than 1), with the increase of the electric oscillation frequency, the amplitude of micropolar fluid electroosmotic flow velocity and the amplitude of microrotation decrease, and also the volume flow and microrotation intensity decrease until they reach zero. 5) Under high Zeta potential, the amplitude of wall shear stress
$ {\sigma _{21}} $
and
$ {\sigma _{12}} $
increase with the electric width increasing; when the electric oscillation frequency is lower (less than 1), the wall shear stress
$ {\sigma _{21}} $
and
$ {\sigma _{12}} $
do not change with the increase of the electric oscillation frequency, and the amplitude of the wall shear stress
$ {\sigma _{21}} $
is not affected by the value of the micro-polarity parameter; when the electric oscillation frequency is higher (greater than 1), the amplitude of wall shear stress
$ {\sigma _{21}} $
and
$ {\sigma _{12}} $
decrease with the increase of the electric oscillation frequency, and the amplitude of wall shear stress
$ {\sigma _{21}} $
decreases with the increase of the micro-polarity parameter, while the amplitude of wall shear stress
$ {\sigma _{12}} $
decreases linearly with the increase of the micro-polarity parameter.