-
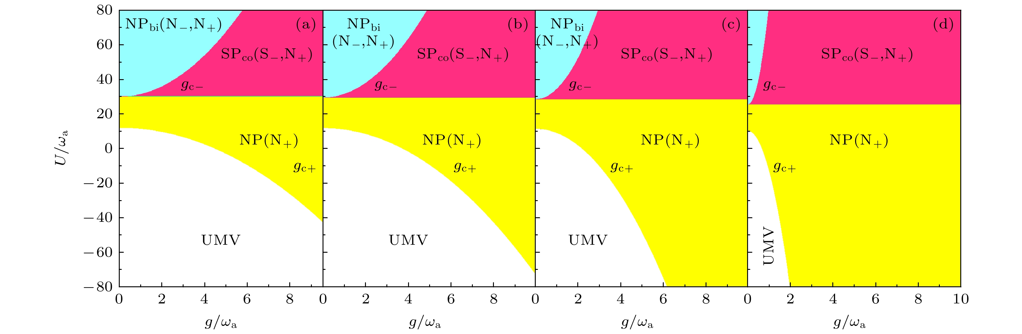
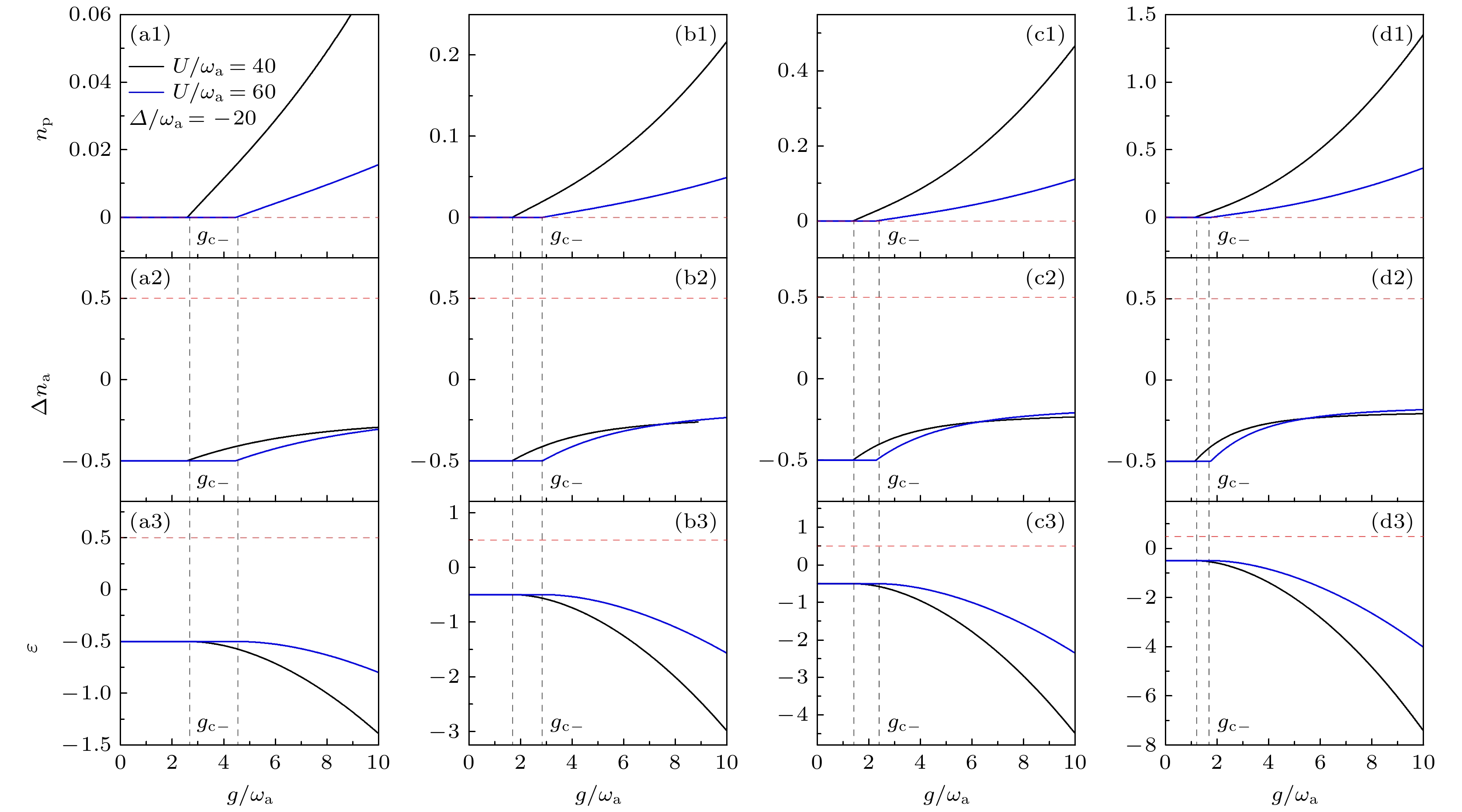
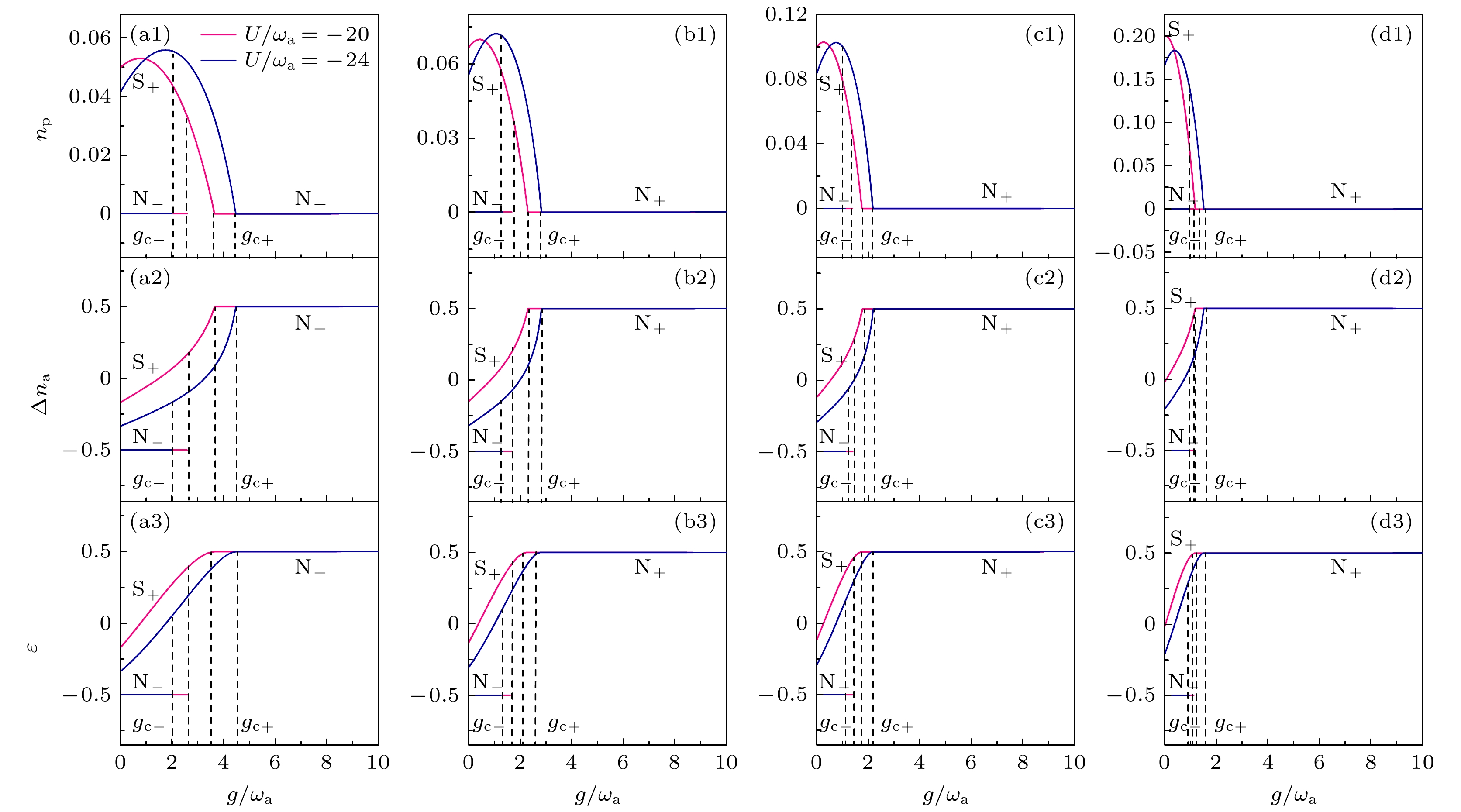
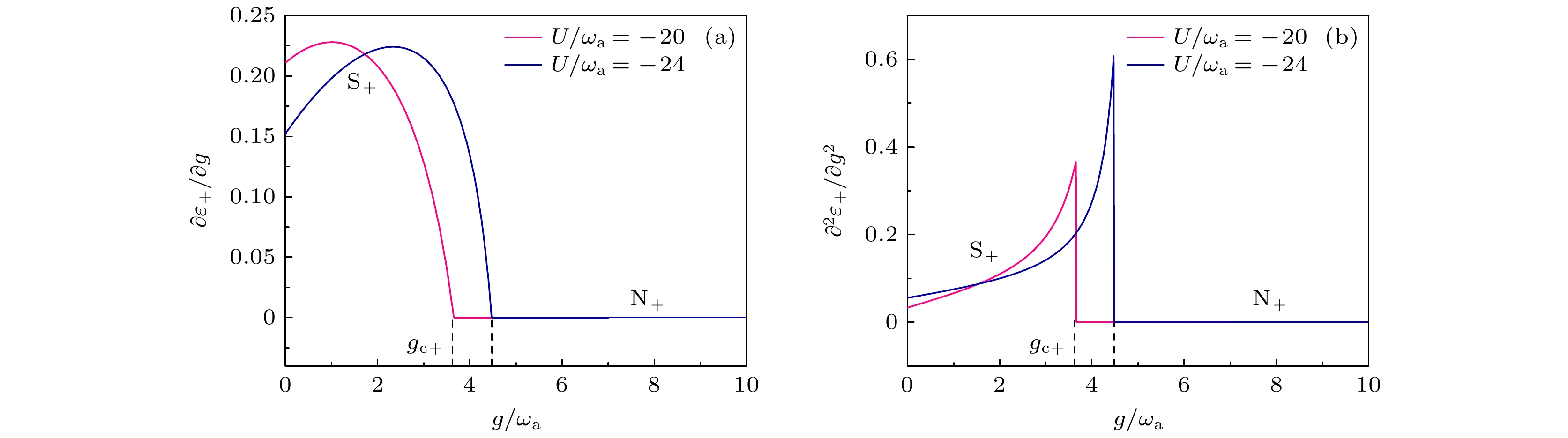
量子相变是量子光学和凝聚态物理领域的一个重要课题. 本文在标准双模Dicke模型的基础上引入原子-光的非线性相互作用, 研究其所引起的量子相变. 利用自旋相干态变分法从理论上给出有两个参量的基态能量泛函. 两模光场采用四种不同的比例关系进行研究, 并且在实验参数下, 通过可调的原子-光的非线性相互作用参量, 给出了宏观多粒子量子态的丰富结构. 本文主要呈现了在蓝失谐和红失谐下, 双稳的正常相、共存的正常-超辐射相和原子数反转态等丰富的基态特性. 原子-光的非线性相互作用在蓝失谐可以引起标准的双模Dicke模型的正常相到超辐射相的二级量子相变. 在红失谐时引起新奇的基态特性, 新奇的量子相变, 即反转的超辐射相到反转的正常相的二级逆量子相变. 原子-光的非线性相互作用和两模光场比例不同时, 对量子相变的相边界和基态物理量的值有较大影响.
-
关键词:
- 双模Dicke模型/
- 原子-光的非线性相互作用/
- 量子相变/
- 自旋相干态法
Quantum phase transition is an important subject in the field of quantum optics and condensed matter physics. In this work, we study the quantum phase transition of the two-mode Dicke model by using the nonlinear atom-light interaction introduced into the interaction between one mode light field and atom. The spin coherent variational method is used to study macroscopic multi-particle quantum systems. Firstly, the pseudo spin operator is diagonalized to obtain the variational fundamental state energy functional by means of spin coherent state transformation under the condition of coherent state light field. The energy functional is used to find the extreme value of the classical field variable, and the second derivative is determined to find the minimum value, and finally the exact solution of the ground state energy is given. Four different proportional relationships are used to study the two-mode optical field, and the rich structure of macroscopic multi-particle quantum states is given by adjusting atom-optical nonlinear interaction parameters under the experimental parameters. The abundant ground state properties such as bistable normal phase, coexisting normal-superradiation and atomic population inversion under blue and red detuning are presented. The nonlinear atom-light interaction causes blue detuning, and there is also a second-order quantum phase transition from the normal phase to the superradiation phase in the standard two-mode Dicke model. In the case of red detuning, a novel and stable reversed superradiation phase also appears. With the increase of the coupling coefficient, the reversed superradiation phase is transformed into the reversed normal phase. The nonlinear interaction between atoms and light and the different ratio of two modes of light field have great influence on the phase boundary of quantum phase transition, and the region of quantum state, as shown in Fig. (a)–(d). When the nonlinear interaction takes two definite values, the curve of the ground state physical parameters changing with the coupling parameters of atoms and light also reflects the novel second-order inverse quantum phase transition from the reversed superradiation phase to the reversed normal phase in red detuning, as shown in Fig. (a1)–(d3). -
Keywords:
- two-mode Dicke model/
- atomic-optical nonlinear interaction/
- quantum phase transition/
- spin coherent state method
[1] [2] [3] [4] [5] [6] [7] [8] [9] [10] [11] [12] [13] [14] [15] [16] [17] [18] [19] [20] [21] [22] [23] [24] [25] [26] [27] -
$ \varphi $ $ {\tan ^2}\varphi $ $ 1 + \tan \varphi $ $ {{{g_{{\text{c}} - }}}}/{{{\omega _{\text{a}}}}} $ $ {{{g_{{\text{c}} + }}}}/{{{\omega _{\text{a}}}}} $ a 0 0 1 $ \dfrac{1}{{\sqrt 3 }}\sqrt {\dfrac{{2 U}}{{{\omega _{\text{a}}}}} - 60} , \quad \dfrac{U}{{{\omega _{\text{a}}}}} \gt 30 $ $ \dfrac{1}{{\sqrt 3 }}\sqrt {60 - \dfrac{{5 U}}{{{\omega _{\text{a}}}}}} , \quad \dfrac{U}{{{\omega _{\text{a}}}}} \lt 12 $ b $ \dfrac{\pi }{6} $ $ \dfrac{1}{3} $ $ 1 + \dfrac{{\sqrt 3 }}{3} $ $ \dfrac{1}{{1 + \sqrt 3 }}\sqrt {\dfrac{{2 U}}{{{\omega _{\text{a}}}}} - 59} , \quad \dfrac{U}{{{\omega _{\text{a}}}}} \gt 29.5 $ $ \dfrac{1}{{1 + \sqrt 3 }}\sqrt {59 - \dfrac{{5 U}}{{{\omega _{\text{a}}}}}} , \quad \dfrac{U}{{{\omega _{\text{a}}}}} \lt 11.8 $ c $ \dfrac{\pi }{4} $ $ 1 $ 2 $ \dfrac{1}{{2\sqrt 3 }}\sqrt {\dfrac{{2 U}}{{{\omega _{\text{a}}}}} - 57} , \quad \dfrac{U}{{{\omega _{\text{a}}}}} \gt 28.5 $ $ \dfrac{1}{{2\sqrt 3 }}\sqrt {57 - \dfrac{{5 U}}{{{\omega _{\text{a}}}}}} , \quad \dfrac{U}{{{\omega _{\text{a}}}}} \lt 11.4 $ d $ \dfrac{{\text{π}}}{3} $ $ 3 $ $ 1 + \sqrt 3 $ $ \dfrac{1}{{3 + \sqrt 3 }}\sqrt {\dfrac{{2 U}}{{{\omega _{\text{a}}}}} - 51} , \quad \dfrac{U}{{{\omega _{\text{a}}}}} \gt 25.5 $ $ \dfrac{1}{{3 + \sqrt 3 }}\sqrt {51 - \dfrac{{5 U}}{{{\omega _{\text{a}}}}}} , \quad \dfrac{U}{{{\omega _{\text{a}}}}} \lt 10.2 $ $ \varphi $ $ \omega ' $ $ g' $ $ {g_{{\text{c}} - }}/{\omega _{\text{a}}} $ $ {\text{ }}U/{\omega _{\text{a}}} = 40 $ $ {\text{ }}U/{\omega _{\text{a}}} = 60 $ a 0 $ {\omega _1} $ $ g $ 2.59 4.48 b $ {{\text{π}}}/{6} $ $ {\omega _1} + \dfrac{{{\omega _2}}}{3} $ $ g \Big(1 + \dfrac{{\sqrt 3 }}{3}\Big) $ 1.68 2.87 c $ {{\text{π}}}/{4} $ $ {\omega _1} + {\omega _2} $ $ 2 g $ 1.38 2.30 d $ {{\text{π}}}/{3} $ $ {\omega _1} + 3{\omega _2} $ $ g(1 + \sqrt 3 ) $ 1.14 1.76 $ \varphi $ $ {g_{{\text{c}} - }}/{\omega _{\text{a}}} $ $ {g_{{\text{c}} + }}/{\omega _{\text{a}}} $ $ {U}/{{{\omega _{\text{a}}}}} ~\left( {\omega ' \lt 0} \right) $ a 0 $ \dfrac{1}{{\sqrt 3 }}\sqrt {60 + \dfrac{{2 U}}{{{\omega _{\text{a}}}}}} , {\text{ }}\dfrac{U}{{{\omega _{\text{a}}}}} \gt - 30 $ $ \dfrac{1}{{\sqrt 3 }}\sqrt { - 60 - \dfrac{{5 U}}{{{\omega _{\text{a}}}}}} , {\text{ }}\dfrac{U}{{{\omega _{\text{a}}}}} \lt - 12 $ $ 20 + \dfrac{{7 U}}{{6{\omega _{\text{a}}}}} \lt 0, {\text{ }}\dfrac{U}{{{\omega _{\text{a}}}}} \lt - 17.14 $ b $ \dfrac{{\text{π}}}{6} $ $ \dfrac{1}{{1 + \sqrt 3 }}\sqrt {61 + \dfrac{{2 U}}{{{\omega _{\text{a}}}}}} , {\text{ }}\dfrac{U}{{{\omega _{\text{a}}}}} \gt - 30.5 $ $ \dfrac{1}{{1 + \sqrt 3 }}\sqrt { - 61 - \dfrac{{5 U}}{{{\omega _{\text{a}}}}}} , {\text{ }}\dfrac{U}{{{\omega _{\text{a}}}}} \lt - 12.2 $ $ 20 + \dfrac{{7 U}}{{6{\omega _{\text{a}}}}} + \dfrac{1}{3} \lt 0, {\text{ }}\dfrac{U}{{{\omega _{\text{a}}}}} \lt - 17.43 $ c $ \dfrac{{\text{π}}}{4} $ $ \dfrac{1}{{2\sqrt 3 }}\sqrt {63 + \dfrac{{2 U}}{{{\omega _{\text{a}}}}}} , {\text{ }}\dfrac{U}{{{\omega _{\text{a}}}}} \gt - 31.5 $ $ \dfrac{1}{{2\sqrt 3 }}\sqrt { - 63 - \dfrac{{5 U}}{{{\omega _{\text{a}}}}}} , {\text{ }}\dfrac{U}{{{\omega _{\text{a}}}}} \lt - 12.6 $ $ 20 + \dfrac{{7 U}}{{6{\omega _{\text{a}}}}} + 1 \lt 0, {\text{ }}\dfrac{U}{{{\omega _{\text{a}}}}} \lt - 18 $ d $ \dfrac{{\text{π}}}{3} $ $ \dfrac{1}{{3 + \sqrt 3 }}\sqrt {69 + \dfrac{{2 U}}{{{\omega _{\text{a}}}}}} , {\text{ }}\dfrac{U}{{{\omega _{\text{a}}}}} \gt - 34.5 $ $ \dfrac{1}{{3 + \sqrt 3 }}\sqrt { - 69 - \dfrac{{5 U}}{{{\omega _{\text{a}}}}}} , {\text{ }}\dfrac{U}{{{\omega _{\text{a}}}}} \lt - 13.8 $ $ 20 + \dfrac{{7 U}}{{6{\omega _{\text{a}}}}} + 3 \lt 0, {\text{ }}\dfrac{U}{{{\omega _{\text{a}}}}} \lt - 19.71 $ $ \varphi $ $ {g_{{\text{c}} - }}/{\omega _{\text{a}}} $ $ {g_{{\text{c}} + }}/{\omega _{\text{a}}} $ $ {g_{{\text{c}} - }}/{\omega _{\text{a}}} = - 20 $ $ {g_{{\text{c}} - }}/{\omega _{\text{a}}} = - 24 $ $ \text{ }U/{\omega }_{\text{a}}=-20 $ $ \text{ }U/{\omega }_{\text{a}}=-24 $ a $ 0 $ 2.58 2.00 3.65 4.47 b $ {{\text{π}}}/{6} $ 1.68 1.32 2.29 2.81 c $ {{\text{π}}}/{4} $ 1.38 1.12 1.76 2.18 d $ {{\text{π}}}/{3} $ 1.14 0.97 1.18 1.51 $ \varphi $ $ {g_{{\text{c}} - }}/{\omega _{\text{a}}} $ $ {g_{{\text{c}} + }}/{\omega _{\text{a}}} $ $ \text{ }U/{\omega }_{\text{a}}=-14 $ $ \text{ }U/{\omega }_{\text{a}}=-16 $ $ \text{ }U/{\omega }_{\text{a}}=-14 $ $ \text{ }U/{\omega }_{\text{a}}=-16 $ a $ 0 $ 3.27 3.06 1.83 2.58 b $ {{\text{π}}}/{6} $ 2.10 1.97 1.10 1.60 c $ {{\text{π}}}/{4} $ 1.71 1.61 0.76 1.19 d $ {{\text{π}}}/{3} $ 1.35 1.29 0.21 0.70 -
[1] [2] [3] [4] [5] [6] [7] [8] [9] [10] [11] [12] [13] [14] [15] [16] [17] [18] [19] [20] [21] [22] [23] [24] [25] [26] [27]
计量
- 文章访问数:316
- PDF下载量:18
- 被引次数:0













下载:






