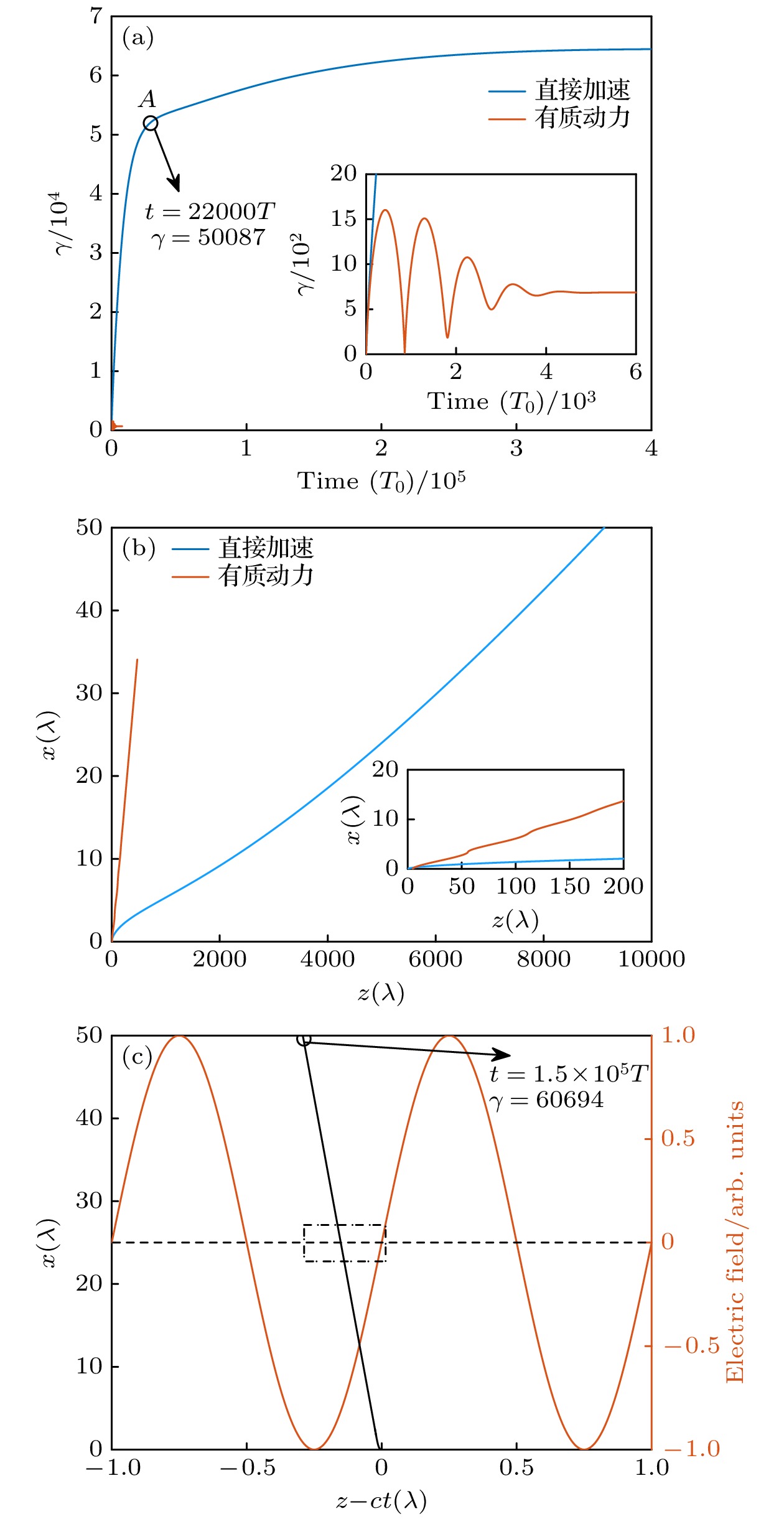
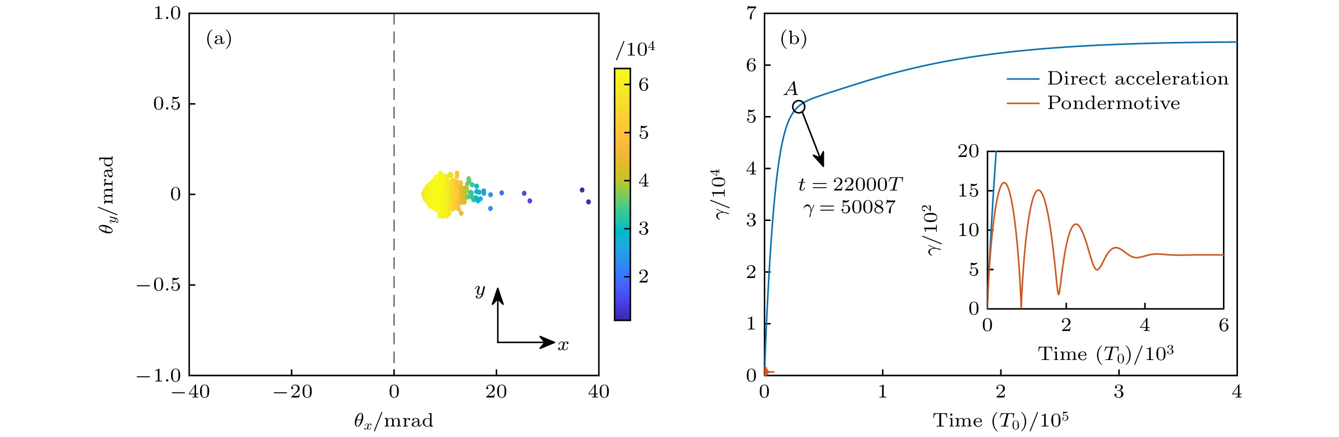
When an intense laser obliquely irradiates a solid, a pre-pulse will first ionize the solid surface, followed by the main pulse interacting with the plasma and ultimately being reflected by the plasma. Simultaneously, certain electrons within the plasma will be trapped in the accelerating phase of the laser field, subsequently gaining effective acceleration within the field, this phenomenon is known as phase-locked electron acceleration. Given the current intense lasers' electric field intensity nearing the TV/m range, electrons could potentially acquire energy levels on the order of hundreds of GeV or even TeV, provided they stay in the accelerating phase of the laser field long enough. Here, we initially use PIC (Particle-in-Cell) simulations to simulate the interaction process between laser pulses and plasma, thereby obtaining the properties of phase-locked electrons. In order to reduce computational demands, we turn to use a three-dimensional (3D) test particle model to calculate the subsequent interactions of these electrons with the reflected laser field. By this model, we obtain the data of the locked-phase electrons after having interacted with the reflected laser (Fig. (a)). Furthermore, we use this model to calculate the dynamical behavior of electrons under different initial conditions (Fig. (b)). Under the laser intensity of $ {a}_{0}=350 $($ {a}_{0} $ is the normalized laser vector potential), the energy of the electrons directly accelerated by the laser is enhanced to 32 GeV. In contrast, under the same laser intensity, the energy of the electrons accelerated by ponderomotive force is only 0.35 GeV. The research findings indicate that the strong laser with peak power around 10 PW can directly accelerate electrons to approximately 30 GeV. Additionally, this study outlines the optimal initial conditions for injecting electrons into the laser field and the final electron energy within the phase-locked acceleration mechanism, thereby establishing a calibration relationship with the laser field intensity. Given the continual enhancement of laser intensity and the potential application of the laser phase-locked electron acceleration mechanism to positron acceleration, this research holds promise for its implementation in fields such as miniaturized positron-electron colliders and high-energy gamma-ray sources.