ObjectiveWith the development of optical technology, the investigation of light-field-particle interactions has gained significant momentum. Such studies find widespread applications in optical manipulation, precision laser ranging, laser gas spectroscopy, and related fields. In optical manipulation techniques, employing two or more laser beams proves more effective for capturing and manipulating particles than using a single beam alone. In addition, with the increasing demand for manipulating particles with complex structures, it is necessary to conduct in-depth research on the radiation force characteristics of double Gaussian beams on non-uniform chiral particles. This research aims to deepen our understanding of how optical fields influence particles, thereby offering fresh perspectives in manipulating and utilizing non-uniform chiral layered particles on both a microscale and a nanoscale.
MethodBased on the generalized Lorentz-Mie theory (GLMT) and spherical vector wave functions (SVWFs), the total incident field of a double Gaussian beam can be expanded by using the coordinate addition theorem. The incident field coefficient and scattering coefficient of each region of the multilayer chiral sphere are obtained by enforcing boundary continuity and employing multilayer sphere scattering theory. The radiation force acting on non-uniform chiral layered particles within a double Gaussian beam is then derived through application of the electromagnetic momentum conservation theorem.
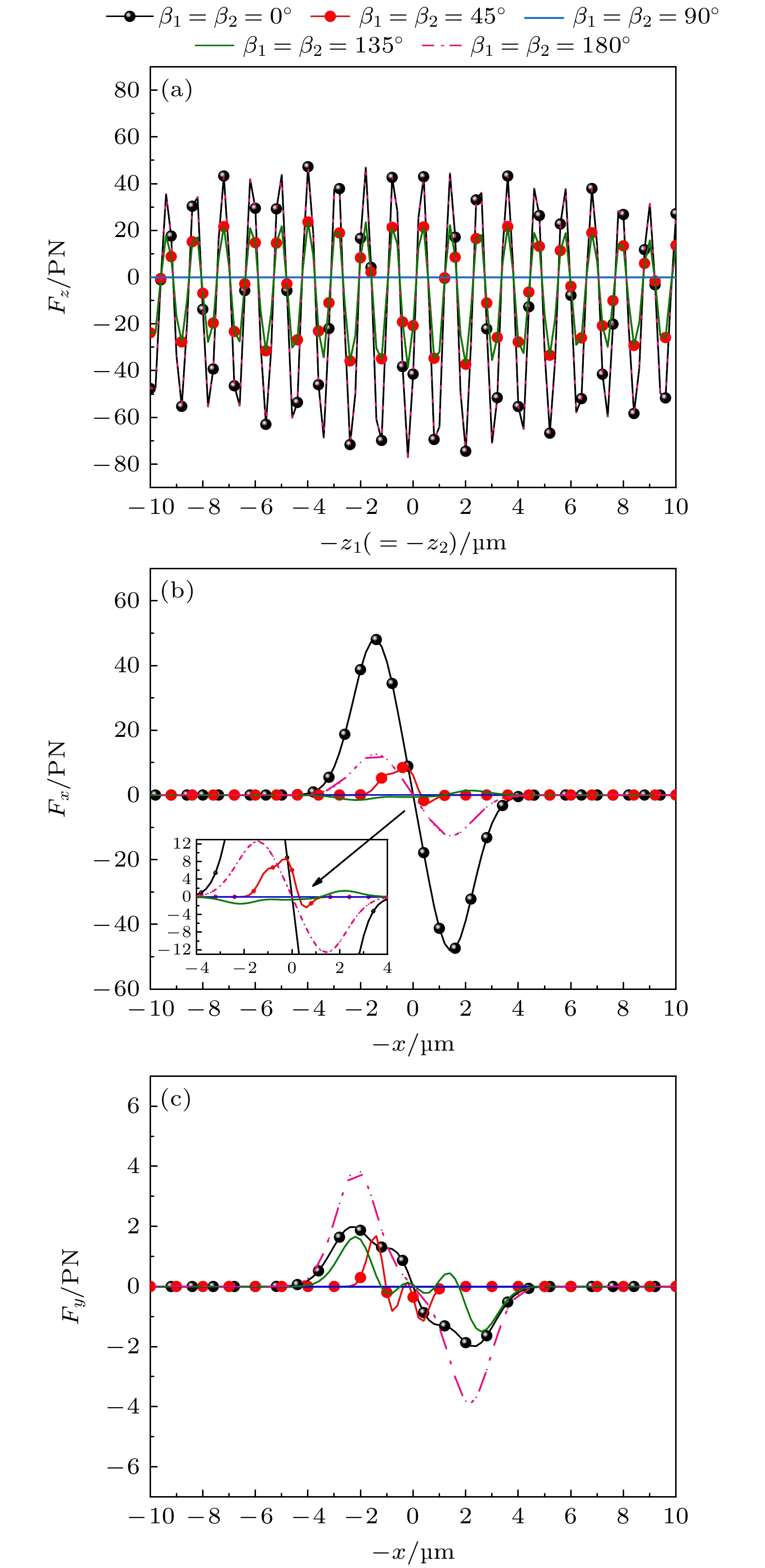
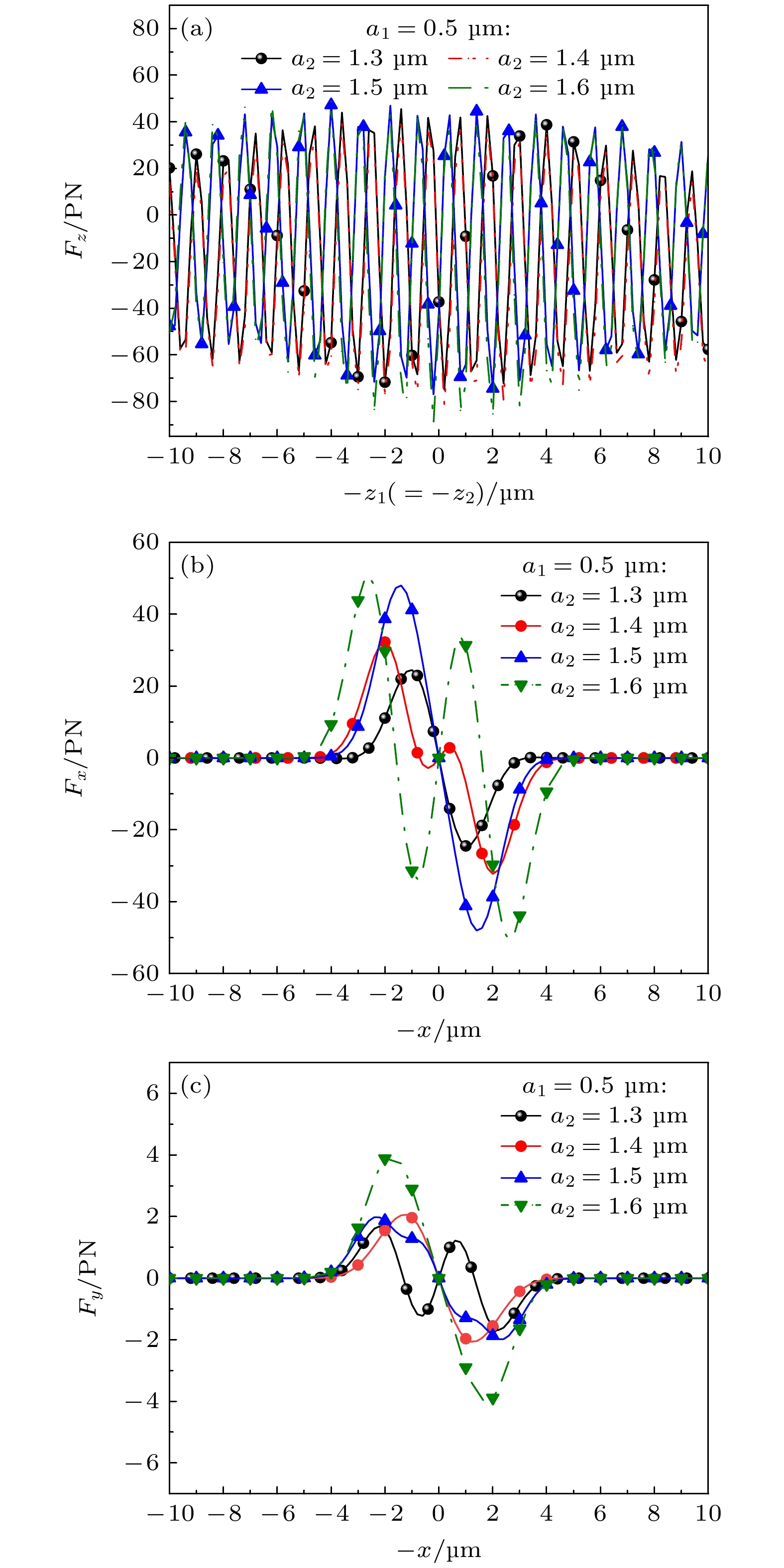
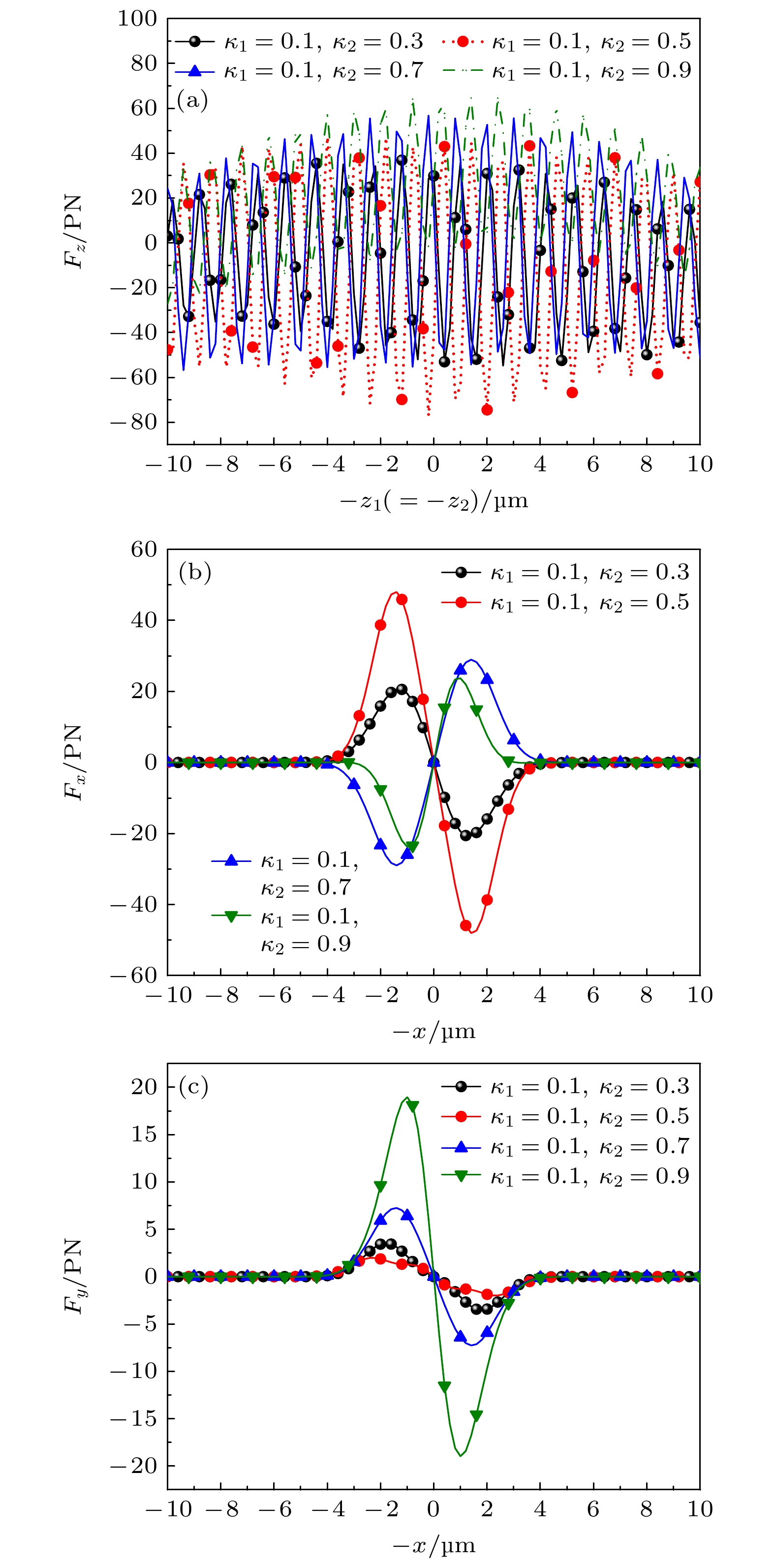
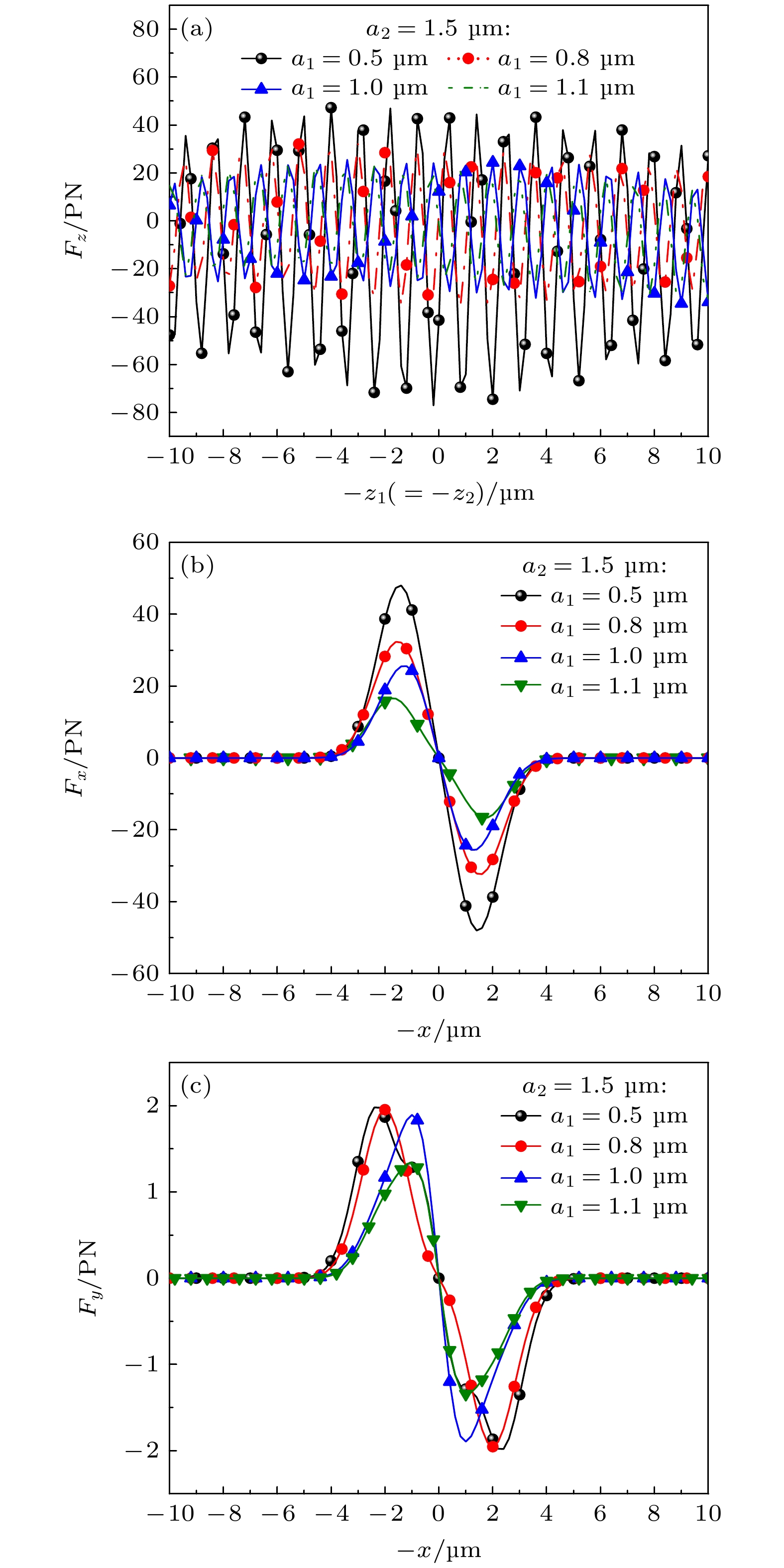
Results and DiscussionsThe theory and programs in this paper is compared with those in existing literature. The influence of various parameters on the radiation force is analyzed in detail, such as the incident angle, polarization angle, beam waist width, beam center position, and internal and external chiral parameters. These results indicate that compared with a single Gaussian beam, counter-propagating Gaussian standing waves exhibit significant advantages in capturing or confining inhomogeneous chiral layered particles, offering enhanced particle manipulation capabilities. Additionally, by selecting an appropriate polarization state of the incident light, a delicate balance can be achieved among these parameters, effectively stabilizing the capture of inhomogeneous chiral particles.
ConclusionsThis study employs the generalized Lorenz-Mie theory and the principle of electromagnetic momentum conservation to derive analytical expressions for the transverse and axial radiation forces exerted by dual Gaussian beams on multi-layered chiral particles propagating in arbitrary directions. The research provides an in-depth analysis of how standing wave beams affect the radiation force behavior of non-uniform chiral particles. Numerical analysis reveals significant influences of beam waist, particle size, chiral parameters, polarization angle and mode, as well as particle refractive index on both transverse and axial radiation forces. This research is important in analyzing and understanding the optical properties of complex-shaped multilayer biological cells and realizing the applications in the micromanipulation of multilayer biological structures.