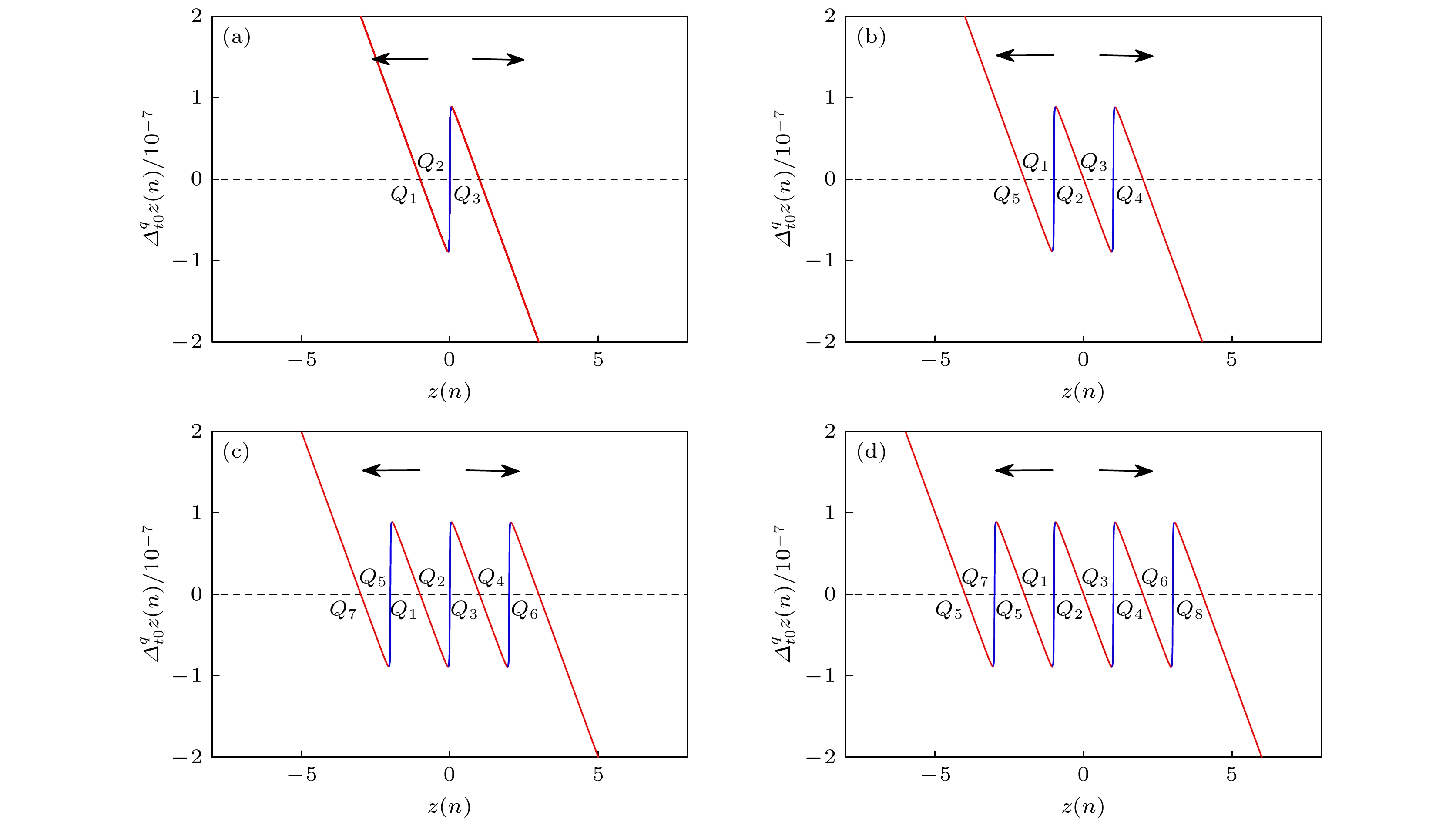
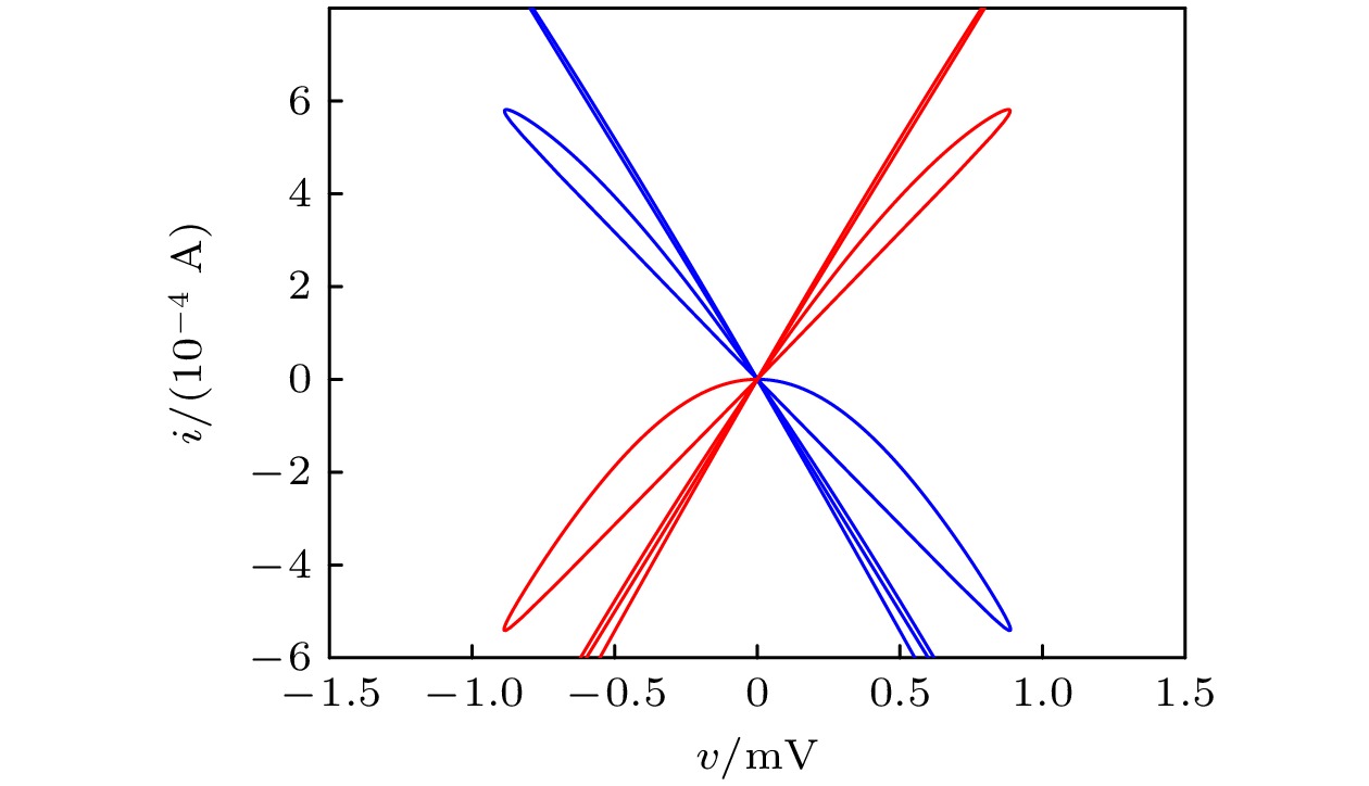
In recent years, the use of discrete memristors to enhance chaotic maps has received increasing attention. The introduction of memristors increases the complexity of chaotic maps, making them suitable for engineering applications based on chaotic systems. In this work, a fractional-order discrete memristor exhibiting local activity and controllable asymptotic stability points is constructed by using multiband nonlinear functions. The locally active property of this memristor is demonstrated by using the power-off plot and DC
v-
iplot. It is then introduced into the Henon map to construct a fractional-order memristive Henon map that can generate any number of coexisting attractors. Simulation results show that the number of fixed points in the system is controlled by the memristor parameters and related to the number of coexisting attractors, thus achieving controllable homogeneous multistability. The complex dynamical behaviors of this map are analyzed by using phase portraits, bifurcation diagrams, maximum Lyapunov exponent (MLE), and attractor basins. Numerical simulations show that the fractional-order map can generate various periodic orbits, chaotic attractors, and period-doubling bifurcations. The system is then implemented on an ARM digital platform. The experimental results are consistent with the simulation results, confirming the accuracy of the theoretical analysis and its physical feasibility. Finally, a parallel video encryption algorithm is designed by using the chaotic sequence iteratively generated by fraction-order memory Henon mapping, which mainly includes frame pixel scrambling and diffusion. Comprehensive security analyses are conducted, proving the robustness and reliability of the proposed encryption scheme. The results show that the encryption algorithm can effectively protect video information. In the future, we will explore other methods of constructing chaotic or hyperchaotic systems with controllable multistability and study their circuit implementation, synchronization control, and chaos-based engineering applications.