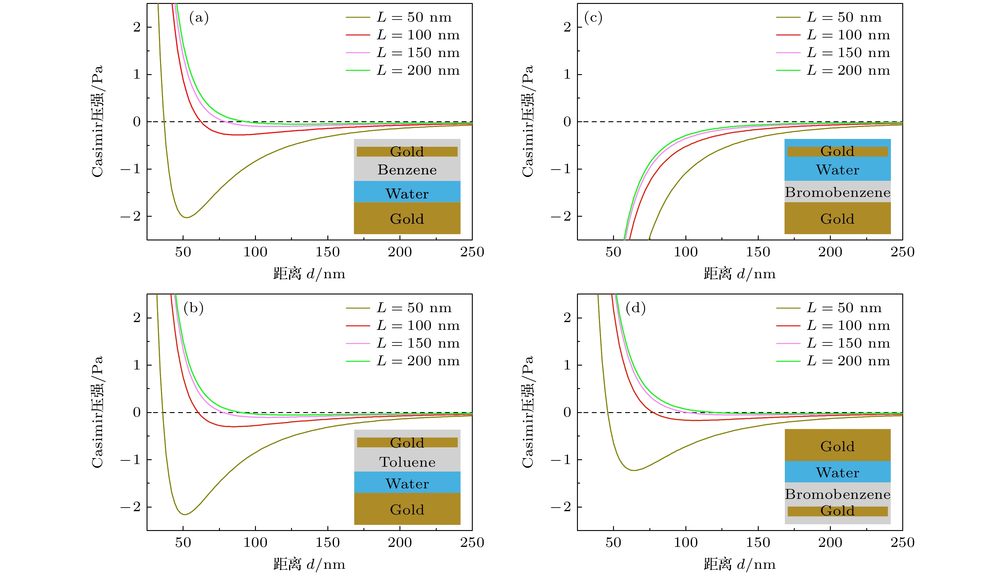
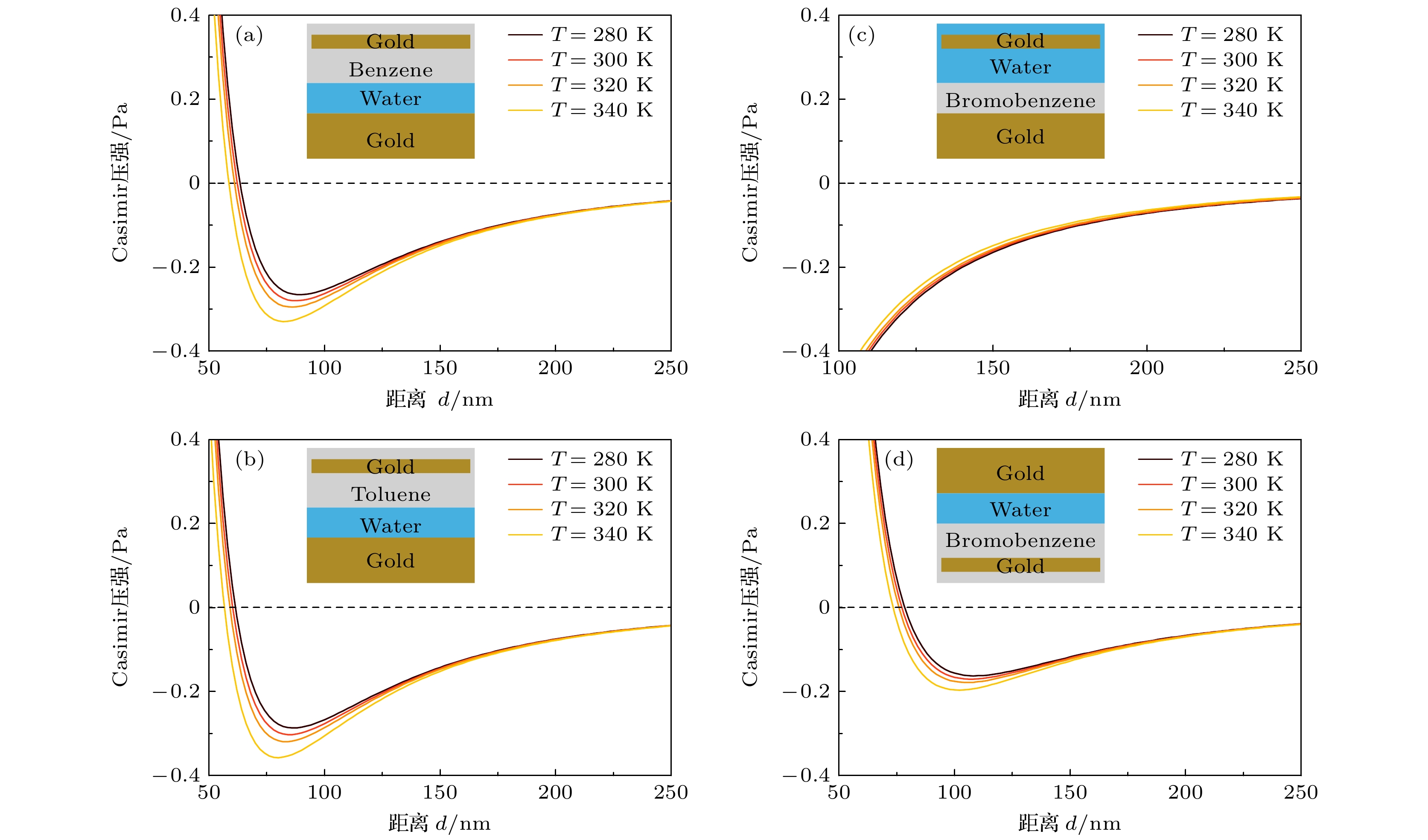
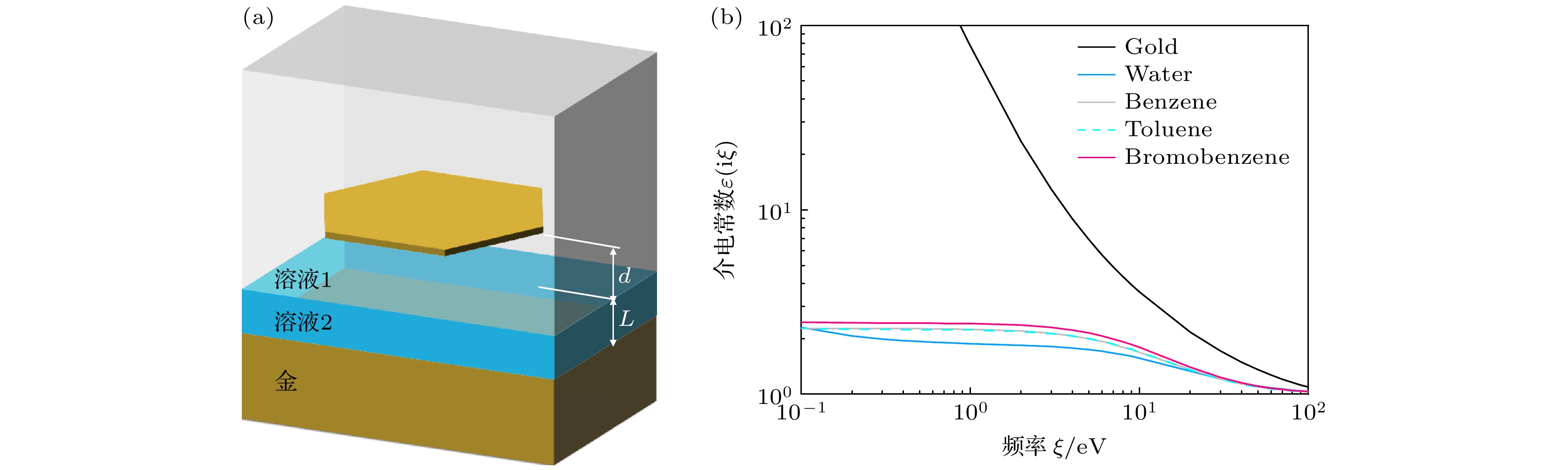
The Casimir effect, a macroscopic manifestation of quantum phenomena, arises from zero-point energy and thermal fluctuations. When two objects are brought into close proximity, the Casimir effect manifests as a repulsive force, while at greater separations, it transforms into an attractive force. There exists a specific distance at which the Casimir force vanishes, which is referred to as the stable Casimir equilibrium. Stable Casimir equilibrium arises from the curve minimum value of the Casimir energy, which can create spatial trapping. The manipulation of stable Casimir equilibrium provides promising applications in fields such as tunable optical resonators and self-assembly. This work presents a scheme for achieving tunable Casimir equilibrium in a dual-liquid system. The system comprises a multilayered stratified structure with a gold substrate. Above the gold substrate, a stratified liquid system is formed due to the immiscibility between organic solutions and water. The lower-density solution is at the top, while the higher-density solution is at the bottom. Our results suggest that a stable Casimir equilibrium for a suspended gold nanoplate can be realized, when the suspended gold nanoplate is immersed in organic solution of toluene or benzene. Moreover, the height of the suspended gold nanoplate, determined by the stable Casimir equilibrium, can be precisely tuned by changing the thickness of the water layer. The effects of finite temperature and ionic concentration on the Casimir equilibria are also analyzed in this work. The results suggest that the separation height of Casimir equilibrium decreases with the increase of temperature. Interestingly, when the Debye shielding length is comparable to or smaller than the separation length, the ion concentration in water significantly affects the Casimir pressure allowing for extensive modulations of Casimir equilibrium. This work opens up a new avenue for adjusting Casimir equilibrium and has important applications in “quantum trapping” of micro-nano particles.