搜索

x

留言板

姓名
邮箱
手机号码
标题
留言内容
验证码

引用本文:
Citation:

王明军, 于记华, 白亮亮, 周熠铭
cstr: 32037.14.aps.74.20241140

Optical properties of ensemble of complex externally mixed aerosol particles under different relative humidity conditions

WANG Mingjun, YU Jihua, BAI Liangliang, ZHOU Yiming
cstr: 32037.14.aps.74.20241140
Article Text (iFLYTEK Translation)
PDF
HTML
导出引用
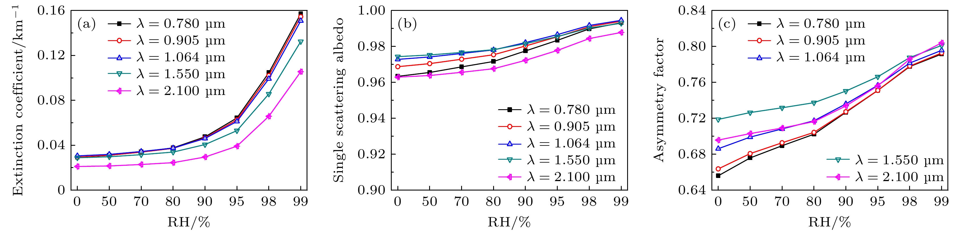
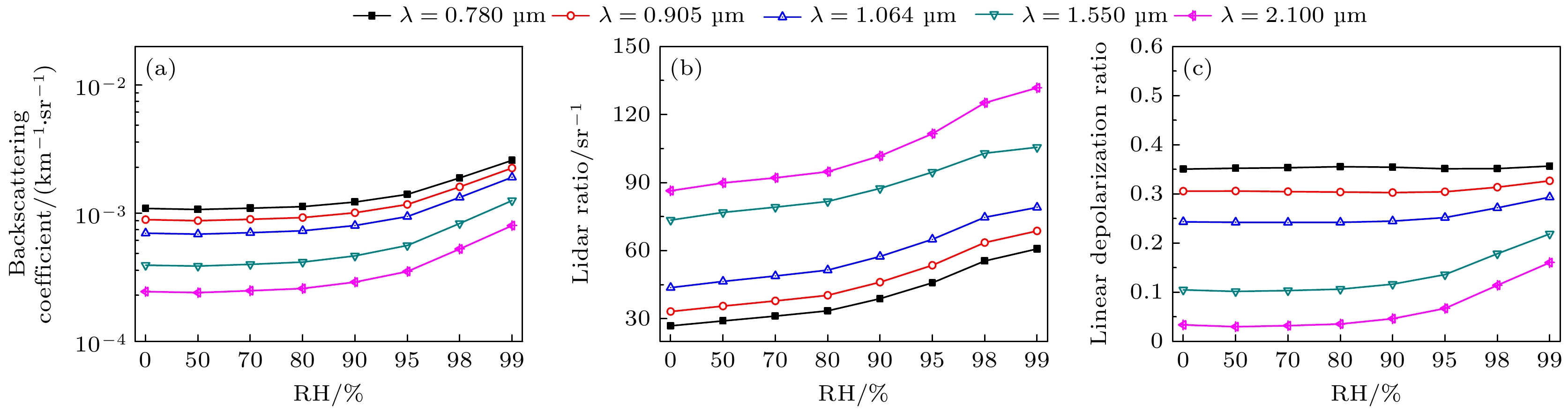
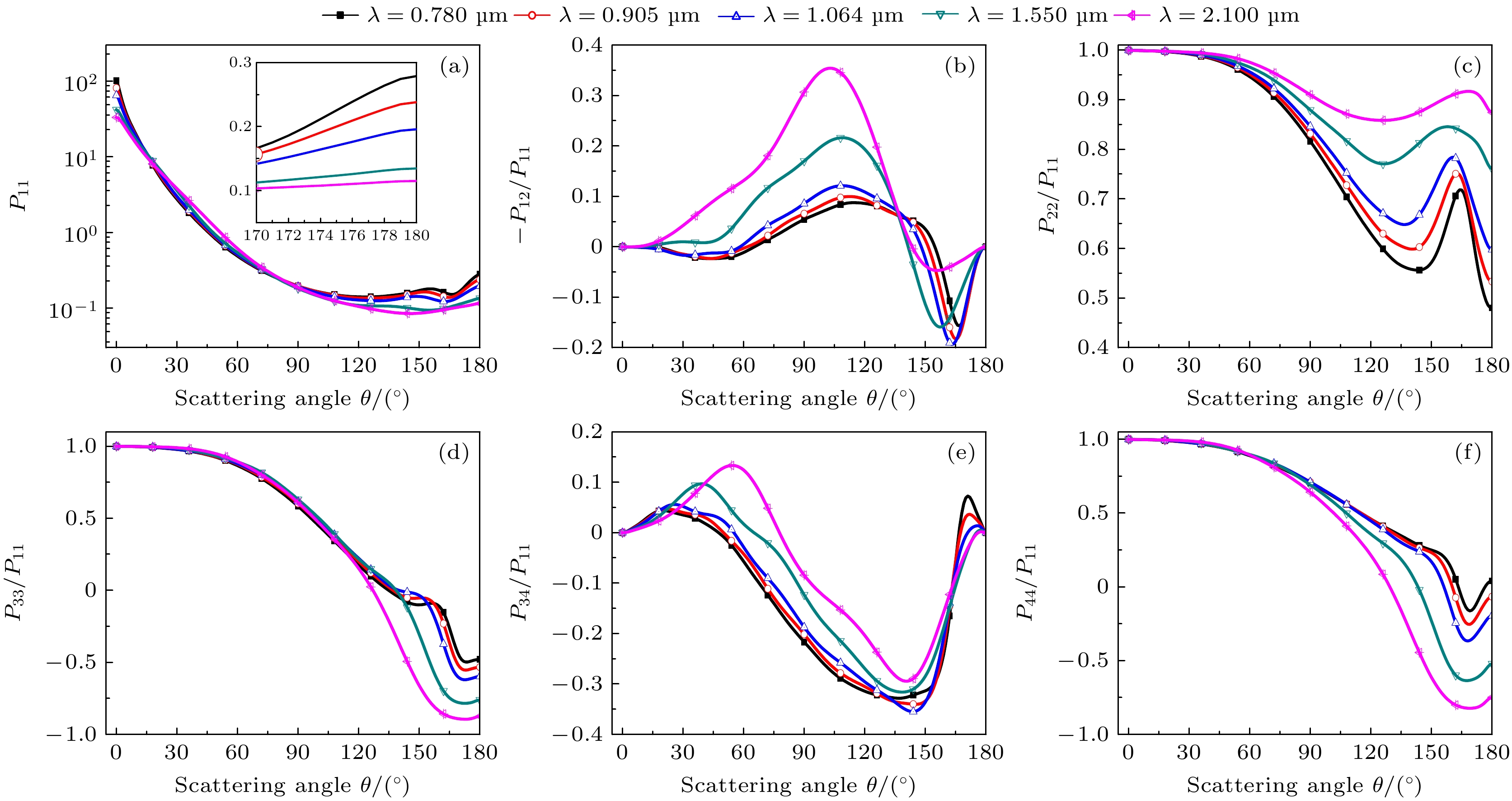
  • 湿度环境下的气溶胶粒子群具有形状不一、成分不同、密度不等、复折射率多样、吸湿性参数不唯一、长短轴比不固定等复杂的微物理特性, 并且这些物理量会直接影响激光的传输和散射特性. 基于湿度环境下气溶胶粒子存在的各种可能性, 本文充分考虑了气溶胶粒子的形态(球形、扁椭球形、长椭球形、不规则形)、尺度谱、复折射率、密度、长短轴比及其分布模型、吸湿性参数等理化特性的多样性, 构建了一种复杂外混合气溶胶粒子群的光散射模型. 基于该光散射模型, 数值分析典型激光波长(0.78, 0.905, 1.064, 1.55, 2.1 μm)入射下不同混合比例和相对湿度对消光系数、单次散射反照率、不对称因子、散射相矩阵、后向散射系数、激光雷达比、线性退偏比等光学特性的影响. 结果表明: 消光系数、相函数P11对混合比例和相对湿度均表现出较强的敏感性, 且随着相对湿度的增大, 消光系数和相函数P11的前向散射也随之增大; 相比混合比例, 单次散射反照率、不对称因子对相对湿度更加敏感; 不同散射角处的线偏振、圆偏振特性对相对湿度和波长的敏感性差异显著; 后向散射系数和激光雷达比成反比, 且它们对混合比例和相对湿度均比较敏感, 相对湿度对线性退偏比的影响较大, 而混合比例的影响较弱. 本文所提出的复杂气溶胶光散射模型进一步丰富了气溶胶光学特性的研究, 为研究不同湿度环境下的大气物理、遥感探测、光通信等应用提供了理论支撑.
    Microphysical quantities (particle shape, composition, size, density, complex refractive index, size distribution model, aspect ratio, hygroscopic parameter, etc.) of the ensemble of complex externally mixed aerosol particles vary greatly in humid environments (sea fog, water mist, haze, etc.). These microphysical quantities directly affect the transmission and scattering characteristics of laser. The optical properties (extinction coefficient, absorption coefficient, backscattering coefficient, phase function, etc.) of the ensemble of complex externally mixed aerosol particles directly determine the propagation properties of laser signals in the atmosphere, as well as the intensity and shape of echo signals. Therefore, studying the optical properties of the ensemble of complex externally mixed aerosol particles in humid environments is of significant importance for engineering applications such as autonomous driving, mapping, and remote sensing detection.Based on the various possibilities of aerosol particles existing in humid environments, the physicochemical properties of aerosol particles, including their shapes (sphere, oblate spheroid, prolate spheroid, and irregular), size distributions, complex refractive indices, densities, aspect ratios, their distribution models, and hygroscopicity parameters, are all taken into consideration in this work. Therefore, a scattering model of the ensemble of complex externally mixed aerosol particles is presented. Based on the presented complex aerosol scattering model, the influences of different mixing ratios (MR), and relative humidity (RH) on the optical properties, such as extinction coefficient, single scattering albedo, scattering phase matrix, asymmetry factor, backscattering coefficient, lidar ratio, and linear depolarization ratio, are numerically analyzed at typical incident laser wavelengths (0.78, 0.905, 1.064, 1.55, and 2.1 μm).In order to verify and demonstrate the rationality of the complex aerosol scattering model presented in this work, this model is compared with the scattering model of maritime pollution aerosol in optical properties of aerosols and clouds (OPAC). The results show that the optical properties of these two different aerosol scattering models vary similarly with wavelengths, although differences exist, but they are relatively small. Therefore, the influences of MR on the optical properties of the ensemble of complex internally mixed aerosol particles are analyzed. The influences of RH on the optical properties of the ensemble of complex internally mixed aerosol particles are also analyzed. The numerical results indicate that the extinction coefficient and phase function P11 exhibit strong sensitivity to both the MR and RH. As RH increases, the extinction coefficient and the forward scattering of P11 also increase. Compared with MR, single scattering albedo and asymmetry factor are more sensitive to RH. Significant differences in the sensitivity to RH and wavelength between linear and circular polarization properties are observed at different scattering angles. The backscattering coefficient is found to be inversely proportional to the lidar ratio, and the backscattering coefficient and the lidar ratio are both sensitive to MR and RH. It is observed that RH has a more pronounced effect on the linear depolarization ratio, while the influence of MR is weaker. The complex scattering model presented in this work further expands the study of aerosol optical properties and provides theoretical support for studying engineering applications involving lasers in different RHs environments. It is worth emphasizing that this work only focuses on external mixing. Therefore, the optical properties of the ensemble of complex internally mixed aerosol particles under different RHs will be discussed in the future.
      通信作者: 于记华, yujh912@aliyun.com
    • 基金项目: 国家自然科学基金重大研究计划培育项目(批准号: 92052106)、国家自然科学基金(批准号: 61771385)、陕西省高校创新团队(批准号: 2024RS-CXTD-12)、西安市重点产业链关键核心技术攻关项目(批准号: 103-433023062)、咸阳市重点研发计划(批准号: L2023-ZDYF-QYCX-025)和河南省可见光通信重点实验室基金(批准号: HKLVLC2023-B05)资助的课题.
      Corresponding author: YU Jihua, yujh912@aliyun.com
    • Funds: Project supported by the Major Research Plan of the National Natural Science Foundation of China (Grant No. 92052106), the National Natural Science Foundation of China (Grant No. 61771385), the Innovation Team of Higher Education Institutions in Shaanxi Province, China (Grant No. 2024RS-CXTD-12), the Key Core Technology Tackling Project of Key Industrial Chain of Xi'an Municipality, China (Grant No. 103-433023062), the Key Research and Development Program of Xianyang Municipality, China (Grant No. L2023-ZDYF-QYCX-025), and the Key Laboratory Fund of Visible Optical Communication in Henan Province, China (Grant No. HKLVLC2023-B05).
    [1]

    [2]

    [3]

    [4]

    [5]

    [6]

    [7]

    [8]

    [9]

    [10]

    [11]

    [12]

    [13]

    [14]

    [15]

    [16]

    [17]

    [18]

    [19]

    [20]

    [21]

    [22]

    [23]

    [24]

    [25]

  • Aerosol shape Aerosol density Hygroscopicity
    parameter
    Aspect ratio Type of refractive
    index of aerosol
    Log-normal distribution
    σ rmod
    Sphere 1.8 0.2 1 Water soluble 2.24 0.0212
    Spheroids 2.2 0.8 Ref. [16] Sea salt 2.03 0.209
    Spheroids 1.7 0.5 Ref. [17] Sulfate 2.03 0.0695
    Irregular 2.6 0 1.3 Mineral 2 0.5
    下载: 导出CSV
  • [1]

    [2]

    [3]

    [4]

    [5]

    [6]

    [7]

    [8]

    [9]

    [10]

    [11]

    [12]

    [13]

    [14]

    [15]

    [16]

    [17]

    [18]

    [19]

    [20]

    [21]

    [22]

    [23]

    [24]

    [25]

  • [1] 胡帅, 高太长, 李浩, 杨波, 江志东, 陈鸣, 李书磊. 基于时域多分辨算法的非球形气溶胶散射特性仿真模拟. 必威体育下载 , 2017, 66(4): 044207. doi: 10.7498/aps.66.044207
    [2] 付成花. 微纳粒子光学散射分析. 必威体育下载 , 2017, 66(9): 097301. doi: 10.7498/aps.66.097301
    [3] 张永燕, 吴九汇, 曾涛, 钟宏民. 利用激光光梯度力消除气溶胶雾霾粒子的机理研究. 必威体育下载 , 2016, 65(7): 074203. doi: 10.7498/aps.65.074203
    [4] 聂敏, 任家明, 杨光, 张美玲, 裴昌幸. 非球形气溶胶粒子及大气相对湿度对自由空间量子通信性能的影响. 必威体育下载 , 2016, 65(19): 190301. doi: 10.7498/aps.65.190301
    [5] 张学海, 魏合理, 戴聪明, 曹亚楠, 李学彬. 取向比对椭球气溶胶粒子散射特性的影响. 必威体育下载 , 2015, 64(22): 224205. doi: 10.7498/aps.64.224205
    [6] 曾伦武, 张浩, 唐中良, 宋润霞. 拓扑绝缘体椭球粒子的电磁散射. 必威体育下载 , 2012, 61(17): 177303. doi: 10.7498/aps.61.177303
    [7] 范萌, 陈良富, 李莘莘, 陶金花, 苏林, 邹铭敏, 张莹, 韩冬. 非球形气溶胶粒子短波红外散射特性研究. 必威体育下载 , 2012, 61(20): 204202. doi: 10.7498/aps.61.204202
    [8] 孙贤明, 王海华, 申晋, 王淑君. 随机取向双层椭球粒子偏振散射特性研究. 必威体育下载 , 2011, 60(11): 114216. doi: 10.7498/aps.60.114216
    [9] 方伟, 孙俊, 谢振平, 须文波. 量子粒子群优化算法的收敛性分析及控制参数研究. 必威体育下载 , 2010, 59(6): 3686-3694. doi: 10.7498/aps.59.3686
    [10] 白璐, 汤双庆, 吴振森, 谢品华, 汪世美. 紫外波段多分散系气溶胶散射相函数随机抽样方法研究. 必威体育下载 , 2010, 59(3): 1749-1755. doi: 10.7498/aps.59.1749
    [11] 卿 涛, 邵天敏, 温诗铸. 材料表面之间黏附过程分析. 必威体育下载 , 2007, 56(3): 1555-1562. doi: 10.7498/aps.56.1555
    [12] 郝 楠, 周 斌, 陈立民. 利用差分吸收光谱法测量亚硝酸和反演气溶胶参数. 必威体育下载 , 2006, 55(3): 1529-1533. doi: 10.7498/aps.55.1529
    [13] 司福祺, 刘建国, 谢品华, 张玉钧, 窦 科, 刘文清. 差分吸收光谱技术监测大气气溶胶粒谱分布. 必威体育下载 , 2006, 55(6): 3165-3169. doi: 10.7498/aps.55.3165
    [14] 楼智美. 非中心力场中经典粒子的轨道参数方程与对称性. 必威体育下载 , 2005, 54(4): 1460-1463. doi: 10.7498/aps.54.1460
    [15] 白 璐, 吴振森, 陈 辉, 郭立新. 高斯波束入射下串粒子的散射问题. 必威体育下载 , 2005, 54(5): 2025-2029. doi: 10.7498/aps.54.2025
    [16] 吴 鹏, 韩一平, 刘德芳. 大粒子对高斯波束散射的数值模拟. 必威体育下载 , 2005, 54(6): 2676-2679. doi: 10.7498/aps.54.2676
    [17] 夏柱红, 方黎, 郑海洋, 胡睿, 张玉莹, 孔祥和, 顾学军, 朱元, 张为俊, 鲍健, 熊鲁源. 气溶胶单粒子粒径的实时测量方法研究. 必威体育下载 , 2004, 53(1): 320-324. doi: 10.7498/aps.53.320
    [18] 陈 刚, 楼智美. 四参数双原子分子势阱中相对论粒子的束缚态. 必威体育下载 , 2003, 52(5): 1075-1078. doi: 10.7498/aps.52.1075
    [19] 韩一平, 吴振森. 椭球粒子电磁散射的边界条件的讨论. 必威体育下载 , 2000, 49(1): 57-60. doi: 10.7498/aps.49.57
    [20] 饶瑞中. 随机取向立方粒子光散射的数值分析. 必威体育下载 , 1998, 47(11): 1790-1797. doi: 10.7498/aps.47.1790
计量
  • 文章访问数:  939
  • PDF下载量:  36
  • 被引次数: 0
出版历程
  • 收稿日期:  2024-08-15
  • 修回日期:  2025-01-06
  • 上网日期:  2025-01-24
  • 刊出日期:  2025-03-20

返回文章
返回