总论
2025, 74 (6): 060201.
doi: 10.7498/aps.74.20241473
摘要 +
非线性薛定谔方程(NLSE)在量子力学、非线性光学、等离子体物理、凝聚态物理、光纤通信和激光系统设计等多个领域中都具有重要的应用, 其精确求解对于理解复杂物理现象至关重要. 本文深入研究了传统的有限差分法(FDM)、分步傅里叶法(SSF)与智能算法中的物理信息神经网络(PINN)方法, 旨在高效且准确地求解光纤中的复杂NLSE. 首先介绍了PINN方法对NLSE的求解方法、步骤和结果, 并对比了FDM, SSF, PINN方法对复杂NLSE求解与脉冲远距离脉冲传输的误差. 然后, 讨论了PINN不同网络结构和网络参数对NLSE求解精度的影响, 还验证了集成学习策略的有效性, 即通过结合传统数值方法与PINN的优势, 提高NLSE求解的准确度. 最后, 采用上述算法研究了不同啁啾的艾里脉冲在光纤中的演化过程与保偏光纤对应的矢量非线性薛定谔方程(VNLSE)求解过程及结果误差. 本研究通过对比FDM, SSF, PINN在求解NLSE时的特点, 提出的集成学习方案在脉冲传输动力学研究和数据驱动仿真方面具有重要的应用.
编辑推荐
2025, 74 (6): 060501.
doi: 10.7498/aps.74.20241746
摘要 +
在活性布朗粒子系统中, 速度的自发对齐是可实现的, 但其机制及影响因素尚需进一步研究. 本文主要探讨了具有吸引性相互作用的活性布朗粒子系统中的团簇行为和自发全局速度对齐现象. 吸引性相互作用和自推进作用的耦合导致粒子趋向于与周围粒子速度对齐. 通过数值模拟, 本文发现自推进作用与吸引性相互作用之间的竞争显著影响团簇的形成及其结构, 系统中会出现网状团簇、块状团簇、粒子离散分布或形成不稳定团簇, 并进而影响自发速度对齐程度. 其中, 块状团簇结构最有利于自发速度对齐的实现. 随着自推进作用在竞争中逐渐占优, 中低填充分数系统中速度对齐程度呈现增加-稳定-下降的趋势, 而高填充分数系统则表现为先稳定后下降的趋势. 系统形成单一块状团簇时, 能够实现自发全局速度对齐.
编辑推荐
2025, 74 (6): 060701.
doi: 10.7498/aps.74.20240999
摘要 +
基于第一性原理思想, 采用量子动力学方法对机器学习的迭代运动过程进行建模. 在机器学习的参数空间定义广义目标函数, 利用Schrödinger方程和势能等效得到机器学习过程的量子动力学方程, 通过Wick转动进一步建立了量子动力学与热动力学的关系, 这为利用物理理论和数学理论对机器学习的迭代过程进行研究提供了可能. 本文工作将机器学习的迭代过程转化为含时偏微分方程来进行精确数学表述, 该方程表明机器学习过程可能存在多尺度的退火过程和同一尺度下的时间演化过程. 利用量子动力学方程证明了机器学习在时间演化时的收敛性, 解释了机器学习中的扩散模型是量子动力学方程在经典近似和低阶泰勒近似下的映射模型, 导出了人工智能中常用的Softmax和Sigmoid函数. 这些结果表明量子动力学方法在研究机器学习理论中是有效的.
核物理学
2025, 74 (6): 062801.
doi: 10.7498/aps.74.20241685
摘要 +
铍金属与氧化铍都是重要核材料, 铍的中子核反应数据对核能研发具有重大意义. 宏观检验是核数据评价过程的重要环节, 对确保核数据的可靠性与精确度至关重要. 临界基准实验是目前核数据宏观检验最重要的标准. 但此前研究发现, 两个高度相似的铍反射层临界基准实验系列HMF-058与HMF-066在检验铍的中子反应数据时给出了矛盾的结论, 不能指出铍相关数据的改进方向, 导致这两个系列共14个实验无法被用于高精度的核数据检验. 出射中子角分布是反应堆物理计算中的关键物理量, 但核数据宏观检验中对其的关注度较低. 本文通过改进铍(n, n)与(n, 2n)反应的出射中子角分布数据提升了两个系列的理论计算与实验测量值的一致性. 基于改进的核数据, 所有计算与实验测量值的偏差均在1σ实验不确定度范围内, 因此无法在此不确定度内拒绝两个系列实验的一致性. 结合最新的整套铀核数据, 两者的一致性还有少许提升. 若要得出两个系列期望值系统性差异的结论, 仍需降低实验不确定度或开展更高精度的实验.
原子和分子物理学
2025, 74 (6): 063401.
doi: 10.7498/aps.74.20250008
摘要 +
分子离子广泛存在于行星大气的电离层中, 其碎裂可以产生多个离子和中性碎片. 研究末态产物的动能分布和生成机理, 可以促进理解行星大气的逃逸等天文现象. 本文开展了电子碰撞乙烷的双电离碎裂实验, 重点研究了$ {{\text{C}}_2}{\text{H}}_6^{2 + } $离子C—C键断裂后形成$ {\text{CH}}_3^ + /{\text{CH}}_2^ + /{\text{H}} $ 的三体解离通道. 直接测量了$ {\text{CH}}_3^ + $和$ {\text{CH}}_2^ + $离子的三维动量, 然后利用动量守恒重构了H的动量. 通过动能释放谱、Dalitz图、牛顿图分析了三体碎裂的解离机制. 发现协同解离是产生该通道的主要机制, 另有部分次序解离的贡献, 其第一步是$ {{\text{C}}_2}{\text{H}}_6^{2 + } $解离生成H和亚稳态$ {{\text{C}}_2}{\text{H}}_5^{2 + } $, 第二步是$ {{\text{C}}_2}{\text{H}}_5^{2 + } $碎裂生成$ {\text{CH}}_3^ + $和$ {\text{CH}}_2^ + $. 实验发现H原子动能分布较广, 最高能量甚至达到10 eV, 远高于土卫六大气的逃逸能量, 因而该解离路径对H逃逸过程有贡献.
电磁学、光学、声学、传热学、经典力学和流体动力学
2025, 74 (6): 064201.
doi: 10.7498/aps.74.20241725
摘要 +
完美矢量涡旋光束除具有螺旋相位、环状强度分布及非均匀偏振分布外, 其亮环半径及环宽度恒定, 不受拓扑荷数变化的影响, 且同时携带自旋角动量和轨道角动量, 因此在很多光学领域具有重要应用. 超构表面作为一种亚波长结构排列而成的平面光学器件, 能够精准调控电磁波的相位、偏振和振幅, 为集成化矢量光场调控器件的实现提供变革性解决方案. 然而, 现有超构表面在生成产生多通大容量、偏振和轨道角动量独立操控的完美矢量涡旋光束方面仍面临严峻挑战. 为此, 本文基于超构表面平台, 利用纯几何相位调制的自旋多路复用方案, 通过叠加两正交偏振完美涡旋光束, 实现了多通大容量完美矢量涡旋光束. 通过调控两正交偏振完美涡旋光束的初始相位差、振幅比及拓扑荷数, 实现了具备任意偏振阶次和偏振分布特性的完美矢量涡旋光束; 通过精心设计超构表面相位分布及光束传播路径, 生成了多重完美矢量涡旋光束阵列. 此外, 基于完美矢量涡旋光束偏振阶次和偏振态两个并行维度, 本文成功演示了一种兼具安全性高和强鲁棒性的光学信息加密方案. 该工作旨在建立一个超紧凑、稳健的平台, 以在中红外波段生成多通大容量完美矢量涡旋光束, 推动其在光学加密、粒子操控和量子光学等领域的应用.
编辑推荐
2025, 74 (6): 064202.
doi: 10.7498/aps.74.20241612
摘要 +
光子轨道角动量(OAM)为光通信提供了新的高维自由度, 有望提高光信息传输系统信道容量, 解决当前通信资源紧张的问题. OAM键控(OAM-SK)是一种新型的信息传输机制, 其中, 对OAM模式的有效识别和检测是实现OAM-SK译码的核心技术之一. 本文提出了一种基于对数极坐标变换的OAM译码系统, 首先通过设计的坐标变换光栅进行映射, 再引入优化的相位校正光栅进行补偿, 最后采用一个傅里叶变换透镜实现了OAM模式的分离. 对系统在不同光栅参数下的分束效果进行数值评估, 在实验中成功实现了–35—+31阶轨道角动量模式的分束. 进一步地, 基于该OAM解复用系统, 搭建了自由空间光数据传输演示系统. 通过引入特定译码规则, 有效克服了对数极坐标变换存在的相邻模式混叠的问题, 实现了748934个码元的无误码传输. 本文结果为未来高容量光通信系统的发展提供了支持.
2025, 74 (6): 064203.
doi: 10.7498/aps.74.20241140
摘要 +
湿度环境下的气溶胶粒子群具有形状不一、成分不同、密度不等、复折射率多样、吸湿性参数不唯一、长短轴比不固定等复杂的微物理特性, 并且这些物理量会直接影响激光的传输和散射特性. 基于湿度环境下气溶胶粒子存在的各种可能性, 本文充分考虑了气溶胶粒子的形态(球形、扁椭球形、长椭球形、不规则形)、尺度谱、复折射率、密度、长短轴比及其分布模型、吸湿性参数等理化特性的多样性, 构建了一种复杂外混合气溶胶粒子群的光散射模型. 基于该光散射模型, 数值分析典型激光波长(0.78, 0.905, 1.064, 1.55, 2.1 μm)入射下不同混合比例和相对湿度对消光系数、单次散射反照率、不对称因子、散射相矩阵、后向散射系数、激光雷达比、线性退偏比等光学特性的影响. 结果表明: 消光系数、相函数P11对混合比例和相对湿度均表现出较强的敏感性, 且随着相对湿度的增大, 消光系数和相函数P11的前向散射也随之增大; 相比混合比例, 单次散射反照率、不对称因子对相对湿度更加敏感; 不同散射角处的线偏振、圆偏振特性对相对湿度和波长的敏感性差异显著; 后向散射系数和激光雷达比成反比, 且它们对混合比例和相对湿度均比较敏感, 相对湿度对线性退偏比的影响较大, 而混合比例的影响较弱. 本文所提出的复杂气溶胶光散射模型进一步丰富了气溶胶光学特性的研究, 为研究不同湿度环境下的大气物理、遥感探测、光通信等应用提供了理论支撑.
2025, 74 (6): 064204.
doi: 10.7498/aps.74.20241629
摘要 +
滤波技术是数字离轴全息精确相位重建的关键. 由于CCD分辨本领和离轴全息技术本身的限制, 台阶型相位物体在全息滤波过程常常伴随频谱损失、频谱混叠, 以及全息图被截取非整数周期时的频谱泄漏问题. 目前频域滤波在针对单幅全息图的自适应滤波方面已有很多研究, 但上述问题都无法得到根本解决. 本文在分析一维空间滤波成像特性的基础上, 提出了一种在对两个正交全息图分别进行一维傅里叶变换和一维全谱滤波的基础上, 对重构的物光波利用泊松方程进行精确相位解缠绕的相位原位重建技术. 该方法从根本上避免了滤波引起的频谱损失、频谱混叠和频谱泄漏问题, 且运算过程简单、重建精度高、适合于任何形状台阶物体的三维轮廓重建, 为离轴全息的高精度相位重建提供了切实可行的途径.
编辑推荐
2025, 74 (6): 064205.
doi: 10.7498/aps.74.20241444
摘要 +
经过几十年的发展, 全息成像已成为展示信息的成熟光学技术. 然而, 仅通过光的波长和偏振作为信息传递的载体的传统全息技术, 在信息传播的安全性和容量方面存在一定的不足. 将一种新的光学维度, 轨道角动量(orbital angular momentum, OAM), 引入全息成像为这些问题提供了一个有效的解决方案. 通过使用OAM复用的全息技术进行理论分析和仿真计算, 二维图像被加密和存储. 然后三维物体被切片为多幅二维图像, 通过OAM复用的全息技术被存储于一个相位阵列中, 实现了信息存储维度的有效降低, 并且经过OAM复用的全息技术被成功复现, 因而三维全息被实现. 此外, 每幅图按照相应拓扑荷进行加密, 信息传递的安全性被显著提升. 这种具有OAM选择性的全息技术更为安全, 信息通量更大, 具有广泛的应用潜力.
2025, 74 (6): 064206.
doi: 10.7498/aps.74.20241463
摘要 +
无磁有源光学非互易器件, 有助于在不使用外磁场的情况下构建针对弱信号的光信息处理网络. 本文在铯原子气体中通过激光激发Λ型三能级原子结构, 实验上实现了电磁诱导透明现象的非互易传输, 得到的光信号隔离可用于构建无磁有源光学非互易器件. 在简并跃迁能级条件下, 通过调节探测光和耦合光功率以及失谐进行了室温下铯原子体系的光学非互易隔离比调控实验规律的研究, 分析了可调参量对非互易隔离比的影响, 得到的最大隔离比可达26 dB. 为探索具有高隔离比的高性能非互易器件提供了一定的依据, 为设计新一代光学设备提供了新思路.
编辑推荐
2025, 74 (6): 064207.
doi: 10.7498/aps.74.20241803
摘要 +
回音壁模式微腔的色散调控是克尔光频梳生成的关键. 然而回音壁模式微腔色散设计主要是通过改变微腔结构调控模场分布, 方式较为单一. 本文将径向分布的梯度折射率$n(r)$引入回音壁模式微腔, 提出使用改变折射率分布调控梯度折射率微腔色散. 通过数值计算和有限元仿真结果表明, 折射率梯度的约束使微腔模场的位置远离微腔边缘, 梯度折射率微腔具有零几何色散特性. 基于设计不同折射率分布提出两种色散调控方式—修饰微腔边缘几何外形和构建双势阱. 并且研究了微腔半径、楔角大小、离子扩散和塑形工艺顺序、双势阱宽度和间距对色散的影响. 仿真结果表明两种方式均可以得到通信波段较大范围的反常色散, 梯度折射率微腔色散调控方式十分灵活, 在非线性光学应用领域具有极大潜力.
2025, 74 (6): 064208.
doi: 10.7498/aps.74.20241547
摘要 +
水下无线光通信(UWOC)具有定向传输的特点, 相较于声呐、无线电等广播式传输模式具有更高的安全性. 然而, 由于海水散射效应部分光子在传输过程中会被散射出预设路径, 从而造成信息泄漏风险. 本文基于搭线窃听信道模型提出一种UWOC物理层安全性分析模型以评估信息泄漏风险. 该模型通过计算UWOC系统中合法信道与窃听信道的容量差值, 来评估通信系统的安全性. 具体而言, 该模型首先基于蒙特卡罗模拟与实验测量方法分析信道中散射光子的三维分布, 然后从信息论角度分析合法通信双方信道容量以及窃听信道容量, 最终获得安全保密容量的三维空间分布, 从而评估散射光子所造成的信息泄漏风险与系统的通信安全性. 本文应用该模型对清澈海水环境下的UWOC系统的安全性进行了分析, 研究发现传输路径附近一定范围内系统的保密容量为零, 证明散射光子会造成信息泄漏. 本研究成果为UWOC系统定量安全分析提供了解决策略, 能够为UWOC系统和编解码方案设计提供有力支撑.
2025, 74 (6): 064209.
doi: 10.7498/aps.74.20241482
摘要 +
14CO2光谱检测在大气环境学和同位素定年等领域中具有重要应用, 但由于其自然丰度极低且光谱重叠干扰严重, 检测难度极大. 基于亚多普勒光谱的噪声免疫腔增强光外差分子光谱(NICE-OHMS)技术因其具有高的灵敏度和选择性, 有望成为下一代14CO2检测方法. 本文理论分析了亚多普勒NICE-OHMS光谱测量技术. 通过模拟真实大气光谱, 选择2209.108 cm–1处的14CO2跃迁线作为最佳测量目标, 建立了14CO2亚多普勒饱和吸收NICE-OHMS模型, 并与多普勒展宽光谱进行对比, 验证了波长调制(wm-)亚多普勒NICE-OHMS技术可有效抑制光谱重叠干扰, 实现高分辨率的14CO2光谱测量. 最终, 通过数值模拟分析了压强和调制系数等参数对信号幅度的影响, 确定了最佳实验条件, 为高灵敏14CO2光谱测量提供理论依据.
2025, 74 (6): 064210.
doi: 10.7498/aps.74.20241468
摘要 +
基于低频三角波扫描加高频正弦波调制的扫描波长调制策略, 提出了一种高精度、免标定分子吸收率函数重构方法. 该方法利用谱线在扫描频率下对应的各次谐波信号重构出以该频率为中心、以调制深度为半宽度频域范围内的透过率信息, 结合低频扫描即可得到谱线透过率信息, 最后对频率重叠区域的透过率进行插值平均即可得到分子吸收率函数. 为验证该方法的测量精度, 利用CO2分子在6330.821 cm–1谱线对不同浓度CO2的吸收率函数进行重构, 并拟合得到浓度, 吸收率拟合残差标准差达到10–5, 强吸收与弱吸收的测量信噪比分别达到503与222. 3000次连续在线浓度测量结果分布直方图表明, 谐波重构法测量稳定性显著优于直接吸收法和二次谐波峰值法, 预期可为谱线参数的高精度标定以及复杂工业现场中弱吸收气体参数高精度在线监测提供新的可靠测量方法.
2025, 74 (6): 064301.
doi: 10.7498/aps.74.20241322
摘要 +
自拓扑绝缘体概念从量子波领域拓展到经典波领域以来, 谷霍尔拓扑绝缘体因其新奇的物理特性、丰富的波调控方式等优势, 引起了大量的关注, 相关研究得到了快速发展. 本文针对传统谷拓扑绝缘体中边缘态输运容量小、结构不灵活等缺陷, 基于谷锁定原理设计了一种拓扑波导结构. 该结构的原始构形具有矩形脉连接的蜂窝晶格, 利用等效结构参数方法计算了模型的能带结构、输运特性, 发现其布里渊区角点K处有3个狄拉克点. 通过改变结构参数打破体系的空间反演对称性, 实现了3个频段的弹性波模式的拓扑相变; 在两个拓扑绝缘体中间插入具有狄拉克点的声子晶体组成拓扑异质结构, 展示了该结构的拓扑波导态具有多频段、宽度可调、强鲁棒性等优点. 基于该结构设计了能量分束器、能量汇聚器, 实现了对弹性波的多种灵活操控. 此研究不仅丰富了拓扑声学, 所设计的拓扑异质结构在多频段通信与信息处理方面具有潜在的应用前景.
编辑推荐
2025, 74 (6): 064701.
doi: 10.7498/aps.74.20241657
摘要 +
碳纳米管本身所具有的卓越导热性能, 使得基于碳纳米管所制备的纳米流体也同样具有较高的热导率, 同时在碳纳米管表面添加官能团能够有效增强水/碳纳米管纳米流体的稳定性. 本文将羟基化碳纳米管构建成为Janus颗粒, 基于平衡分子动力学模拟方法, 计算了基于羟基化碳纳米管的纳米流体热导率, 并对其导热机理进行分析. 计算结果表明, 在基液吸附层密度增长、颗粒布朗运动增强以及界面热阻降低等因素的共同作用下, 基于羟基化碳纳米管的纳米流体具有比普通碳纳米管纳米流体更强的导热性能. 羟基化碳纳米管构建的Janus颗粒在基液中具备更强的布朗扩散能力, 因而可以进一步提高水/碳纳米管纳米流体的热导率. 本文揭示了基于羟基化Janus碳纳米管的纳米流体导热机理, 为新型传热工质制备提供参考.
2025, 74 (6): 064702.
doi: 10.7498/aps.74.20241513
摘要 +
相比于基于不可压相场的两相格子Boltzmann方程(LBE)模型, 基于准不可压相场理论的LBE模型能够严格保证局部质量守恒. 然而, 以往准不可压相场LBE模型不具有精准平衡性质, 两相界面附近存在虚假速度且界面分布不满足热力学平衡 . 针对这一问题, 本文通过重新设计求解相场方程的平衡态分布函数和源项, 实现了离散尺度的精准平衡, 建立了准不可压相场理论的精准两相LBE模型. 对平界面问题和稳态液滴问题的数值模拟表明, 该模型能消除虚假速度, 具有良好的平衡性能. 对分层泊肃叶流的数值模拟证明了该模型模拟动态问题及大黏度比问题的准确性. 此外还比较了不同表面张力和不同黏度混合规则对模型的影响, 结果表明, 使用$ {\boldsymbol{F}}_{s}=\mu {{\nabla}} \phi $计算表面张力无法消除虚假速度; 模拟动态问题时, 使用阶跃混合规则计算混合黏度可以得到更准确的结果. 最后, 对相分离问题的数值模拟表明, 该模型可以严格保证局部质量守恒.
编辑推荐
2025, 74 (6): 064703.
doi: 10.7498/aps.74.20241272
摘要 +
微孔喉结构内束缚液滴释放是提高原油采收率的关键. 纳米颗粒表面活性剂能够增强纳米颗粒在油水界面上的吸附稳定性, 进而显著影响束缚液滴的释放过程, 对于发展纳米驱提采技术具有重要意义. 本文通过微流控可视化实验与荧光技术, 系统研究了纳米颗粒表面活性剂对微孔喉中束缚液滴释放行为的影响. 在纳米颗粒表面活性剂作用下, 微孔喉结构中束缚液滴存在破碎释放与直接释放两种释放状态; 获得了微孔喉内束缚液滴释放状态相图, 结合液滴受力分析建立了束缚液滴释放状态的临界转变理论模型; 通过对比分析液滴长度随液滴释放的临界流量与毛细数的变化, 获得了纳米颗粒表面活性剂对液滴释放行为的影响规律; 结合荧光实验进一步阐明了纳米颗粒表面活性剂诱发界面黏弹性而抑制微孔喉内束缚液滴释放的作用机制.
气体、等离子体和放电物理
2025, 74 (6): 065201.
doi: 10.7498/aps.74.20241639
摘要 +
激光驱动的电子束在空间辐射环境模拟领域具有重要的应用价值. 然而, 由于激光直接辐照高密度固体靶所产生的电子束存在能谱可调谐性差、激光能量高等缺点, 限制了其广泛应用. 本文提出了利用激光驱动双平面复合靶电子加速模拟近地空间轨道电子辐射的方案. 研究结果表明, 高密度固体靶能够提供大量低能电子, 其前表面放置的垂直平面靶则提供少量高能电子, 使得所产生的电子束能谱与空间辐射电子能谱非常接近. 为了评价本方案所产生能谱与空间辐射能谱的相似程度, 本文提出一种评价能谱相似程度的评价方法, 该方法可以对两种能谱给出定量评价. 随着垂直平面靶密度增大, 电子加速机制由有质动力加速逐渐过渡到表面有质动力加速, 电子束能谱被有效地调制. 同时, 通过贝叶斯优化给出了最优的靶参数条件, 可以获得与空间辐射能谱更加接近的电子束. 研究结果为激光驱动电子束模拟不同轨道空间辐射环境实验研究提供了理论参考.
凝聚物质:结构、力学和热学性质
编辑推荐
2025, 74 (6): 066401.
doi: 10.7498/aps.74.20241503
摘要 +
一般认为拓扑绝缘体对非磁性缺陷是高度免疫的, 但是在器件应用的介观尺度上还缺乏验证. 本文以SiSnF2单层条带为例, 研究了不同缺陷浓度和尺寸对拓扑绝缘体电子输运的影响. 第一性原理计算发现, SiSnF2在大于2%的拉伸应变下转变为拓扑绝缘体. 用遗传算法拟合了有效紧束缚模型的参数, 计算了拓扑绝缘体SiSnF2条带输运性质, 发现边缘态也可能被随机空位缺陷破坏. 对于长18.8 nm、宽8.2 nm的条带, 在没有缺陷时, 电流集中在条带边缘, 电导为拓扑边缘态的理想值2e2/h. 当缺陷浓度为1%时, 边缘电流已被明显扰动, 但背散射仍受到有效抑制, 电流绕过缺陷向前传输. 当浓度为5%时, 边缘电子经散射深入条带内部, 与另一边缘发生散射, 破坏了拓扑边缘态, 使电导降为0.6e2/h. 因此, 缺陷导致的由拓扑绝缘体到普通绝缘体的转变是渐变而不是突变. 研究发现了明显的输运量子尺寸效应, 增大条带宽度可减小边缘间电子散射, 增强拓扑边缘态的稳定性; 而增大长度会增大电子的局域性和边缘间电子散射, 降低拓扑边缘态的稳定性.
2025, 74 (6): 068901.
doi: 10.7498/aps.74.20241256
摘要 +
在复杂网络研究中, 客观且综合地评价节点性能是一个关键问题. 现有方法多基于引力模型, 通过结合节点的局部或全局属性评估其影响力, 在实际网络中, 关键节点不仅在局部结构中发挥重要作用, 还具有跨社区的信息桥梁作用及显著的全局传播潜力. 因此单纯依赖局部或全局属性的评价方法存在局限性. 为更准确地描述网络中的引力场效应, 本文提出了一种熵权重引力模型BGIM与BGIM+, 通过引入节点信息熵替代传统度量指标, 更全面地反映节点的不确定性与信息丰富性. 此外, 本文设计了引力修正因子, 平衡节点的全局影响力和局部结构特性; 同时, 引入非对称吸引因子, 量化核心与外围节点间的引力差异, 并通过全局归一化调整机制缓解异质性网络中节点重要性分布的不均衡问题. 实验在多个真实网络和合成网络上进行验证, 结果表明, BGIM与BGIM+在关键节点识别和传播性能评估方面表现显著, 为复杂网络研究中的关键节点识别提供了新的理论视角和技术工具.
凝聚物质:电子结构、电学、磁学和光学性质
2025, 74 (6): 067101.
doi: 10.7498/aps.74.20241587
摘要 +
采用直流电弧等离子体法, 以Al粉和Er2O3粉为原料, 在氮气环境下, 成功制备出了具有松树状纳米结构的Er3+掺杂AlN (AlN:Er3+)材料. 通过X射线衍射、X射线光电子能谱、能量色散光谱、扫描电子显微镜、透射电子显微镜和高分辨率透射电子显微镜的分析, 详细测定了松树状纳米结构的成分、形貌特征和显微结构. 结果显示, 该材料呈现出典型的六方纤锌矿晶体结构, 其形态由主干与分支纳米线交织而成, 且证实Er3+成功掺入其晶格中. 光致发光光谱显示, AlN:Er3+能够发出强烈的绿光(~548 nm), 并伴有多个发光峰, 分别对应于Er3+内层4f电子跃迁的特征发光峰. 根据不同温度下热耦合能级(2H11/2/4S3/2→4I15/2)发光光谱强度的比值, 在温度为293 K时获得最高相对灵敏度, 为1.9×10–2 K–1. 磁学测量表明, AlN:Er3+显现出明显的室温铁磁性. 通过第一性原理计算后发现其磁矩主要由Al空位周围N原子的2p轨道电子自旋极化产生. AlN:Er3+松树状纳米结构在光电器件、温敏传感器以及稀磁半导体等多个领域展现出潜在的应用前景.
编辑推荐
2025, 74 (6): 067201.
doi: 10.7498/aps.74.20241691
摘要 +
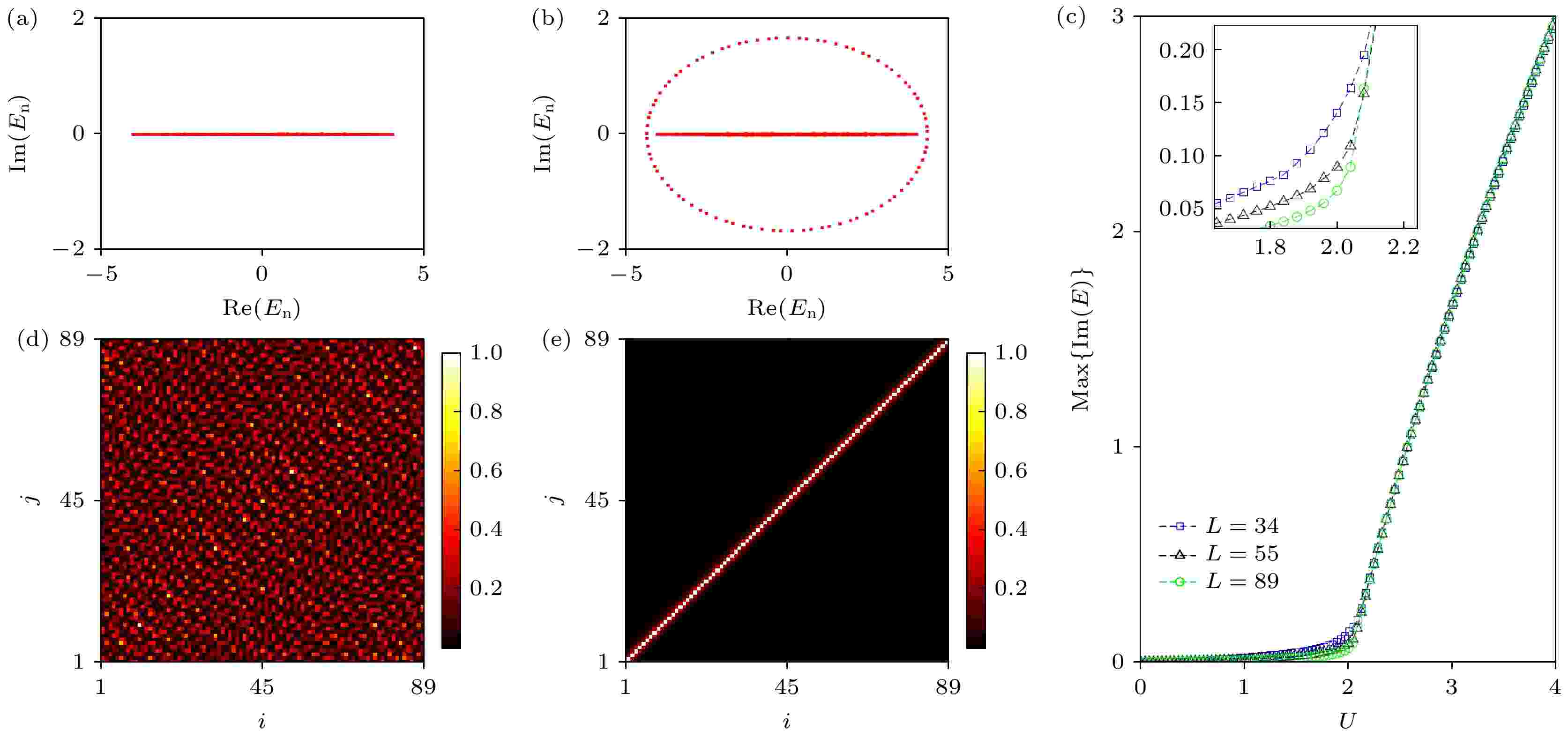
研究了一维复相互作用调制的非厄米玻色子模型. 通过数值计算能谱的实-复转变、Shannon熵、标准参与比率与拓扑缠绕数发现, 当相互作用强度低于临界相互作用强度时, 系统的能谱全为实数, 处于扩展相, 且系统是拓扑平庸的; 而当相互作用强度超过临界相互作用强度时, 系统开始出现复能谱, 处于扩展态与局域态混合相, 且此时系统是拓扑非平庸的. 计算结果表明, 能谱的实-复转变点、扩展-局域的转变点与拓扑转变点相一致. 动力学演化结果可以验证系统的实-复转变与局域化转变. 最后, 提出利用二维光子波导阵列可以模拟这一复相互作用调制的一维玻色子模型. 此项工作将为非厄米两体系统的局域性质提供很好的参考.
2025, 74 (6): 067301.
doi: 10.7498/aps.74.20241515
摘要 +
基于亚甲基蓝(methylene Blue, MB)-银纳米腔体系的双拉比分裂实验, 建立了MB分子团簇和双金属纳米粒子结构模型, 在密度矩阵理论框架下, 应用偶极近似方法, 计算了MB分子团簇与双金属纳米粒子形成的杂化态的耦合动力学过程, 研究了多激子态-等离激元相互作用下的多模耦合效应, 得到了与实验定性一致的结果. 通过短脉冲激发, 在更大的激发频域下研究激子态和等离激元的耦合态. 探讨了激子退相干速率和分子间距离对耦合过程的影响、分子与等离激元的耦合强度随激子退相干时间缩短而增强的现象, 由于团簇内离域激子与等离激元耦合相互作用, 复合体系内可以产生更多杂化能级, 使得光学响应峰发生相应变化. 通过对分子团簇与金属纳米结构的多模耦合的机理研究, 为设计高效光捕获和转换材料提供了理论依据和思路.
2025, 74 (6): 067501.
doi: 10.7498/aps.74.20241626
摘要 +
六角晶系磁铅石型(M型)锶铁氧体因其独特的磁性、介电性能和热稳定性, 在永磁材料领域备受关注. 但相比于稀土永磁Nd2Fe14B材料来说, M型锶铁氧体(SrFe12O19)永磁材料的综合磁性能较低, 这极大地限制了其使用范围. 本文基于密度泛函理论的第一性原理计算方法, 结合广义梯度近似(GGA+U ), 系统研究了Ca-Co(Zn)共掺杂对M型锶铁氧体的电子结构、力学性能、导电性和磁性能的影响. 计算结果表明, Ca-Co(Zn)共掺杂SrFe12O19铁氧体均具有良好的结构稳定性和力学性能. Ca-Zn共掺杂可以使体系导电性增强, 这是因为二价Zn离子取代了4f1晶位的三价Fe离子. 同时, Ca-Co(Zn)共掺杂使体系的总磁矩增大, 磁晶各向异性能下降, 但相比于Co和Zn单掺杂体系, 磁晶各向异性能有所改善. 这表明, Ca-Co(Zn)共掺杂能够有效地提高M型锶铁氧体的磁性能, 并具备节约成本和环保的优点.
2025, 74 (6): 067801.
doi: 10.7498/aps.74.20241576
摘要 +
提出了一种三频段太赫兹双重等离激元诱导透明的单层石墨烯器件, 本器件结构简单且拥有优秀的慢光与传感性能. 器件中的长石墨烯带能够直接被入射光激发, 进而产生一个明模式; 短石墨烯带则无法被入射光直接激发产生暗模式, 但能够被明模式间接激发, 明暗模式相互干涉从而形成表面等离子体诱导透明现象. 本文通过耦合模理论推导此现象产生的机理, 发现计算的结果与时域有限差分法基本一致. 该结构不仅存在外部动态调节的优点, 同时慢光与传感性能也十分优异. 本文发现提高石墨烯器件的费米能级能够显著地提高慢光效应, 群折射率在石墨烯费米能级为1.1 eV时达到最大值327.1. 本结构还拥有优秀的传感性能, 其灵敏度与品质因子最高分别达到1.442 THz/RIU与39.6921. 本研究有望为慢光与传感等领域的应用提供思路与理论基础.
编辑推荐
2025, 74 (6): 067802.
doi: 10.7498/aps.74.20250042
摘要 +
三元砷锑化镓(GaAsSb)纳米线具有直接带隙电子结构, 通过调节锑含量可实现其近红外波段发光波长在870—1700 nm范围内的超宽带调谐, 在近红外微纳光学器件方面具有十分重要应用前景. 但由于高密度表面态的存在, 砷锑化镓纳米线室温发光效率低、难以观测, 这导致其光学性质研究主要集中在低温条件下, 严重阻碍了其室温条件下的光学性质的调控研究及器件化应用. 本文利用高压策略结合荧光光谱与拉曼光谱技术, 在室温条件下进行砷锑化镓纳米线光学性质的调控研究. 研究表明, 通过压力的施加, 在0—2.8 GPa的压力范围内, 砷锑化镓纳米线的室温荧光获得显著增强, 并且发光波长可以通过压力实现原位调控. 同时, 砷锑化镓纳米线的发光性质与激发光波长相关, 相对于473 nm激发光波长, 514 nm和633 nm波长对应的发光效率更高. 高压原位拉曼光谱研究表明, 短波长473 nm激光辐照砷锑化镓纳米线可以产生显著的光热效应, 抑制光发射, 而高压策略可以有效降低光热效应对于砷锑化镓纳米线光学性质的影响.
封面文章
封面文章
2025, 74 (6): 068501.
doi: 10.7498/aps.74.20241744
摘要 +
超快退磁的发现提供了一种使用超短激光产生超快自旋流的新手段, 从而可能更快地操纵材料磁性. 然而, 这一过程仍未被理解, 尤其是超快自旋流在层间转移中的影响因素尚不明晰. 本文利用超扩散自旋输运模型对Ni/Ru/Fe自旋阀结构体系的超快自旋输运机制进行了深入研究, 尤其关注层间自旋转移效率对铁磁层超快磁动力学的影响. 本研究计算出铁磁层在不同磁化排列下的退磁差异, 并通过调节间隔层厚度, 揭示出超快自旋输运在磁动力学中的关键作用. 此外, 还确定了热电子自旋流在间隔层中的自旋衰减长度. 通过控制激光的薄膜吸收, 进一步发现了能够引起铁磁层瞬态磁化增强的条件. 这些结果对于理解热电子自旋流的输运机制具有重要意义, 为未来控制超快自旋流提供了理论基础.
地球物理学、天文学和天体物理学
编辑推荐
2025, 74 (6): 069401.
doi: 10.7498/aps.74.20241259
摘要 +
高空核爆过程会向内磁层注入大量相对论性电子, 形成人工辐射带, 这些高能电子可能对航天器造成显著影响. 本文利用CIMI模型(comprehensive inner magnetosphere-ionosphere model)模拟研究了核爆注入的电子由局地集中分布向环向均匀分布演化的过程, 揭示了人工辐射带形成过程中电子团表现出的螺旋包围、环向膨胀与扩散均匀的行为特征. 对初始时刻集中在$L=1.1—2.2 $、环向覆盖1个时区左右的核爆电子进行的数值模拟表明, 核爆注入电子主要通过螺旋包围过程演化至环向均匀分布, 扩散作用的贡献相对较小. 电子注入后, 在地球磁场的约束下做自西向东环绕地球的漂移运动. 外侧电子漂移速度更快, 因此注入电子团会在环向上剪切拉伸, 以螺旋线结构包围地球. 此外, 研究还发现螺旋结构的形成过程伴随有电子的环向膨胀, 主要由漂移过程中能量色散和投掷角色散机制驱动. 不同能量和投掷角的电子漂移速度不同, 因此逐渐环向分离, 造成环向分布范围扩展, 填充螺旋结构的间隙. 在通过形成螺旋结构与环向膨胀包围地球后, 核爆注入的高能电子进一步通过扩散作用演变为环向均匀分布的结构, 形成相对稳定的人工辐射带.


