-
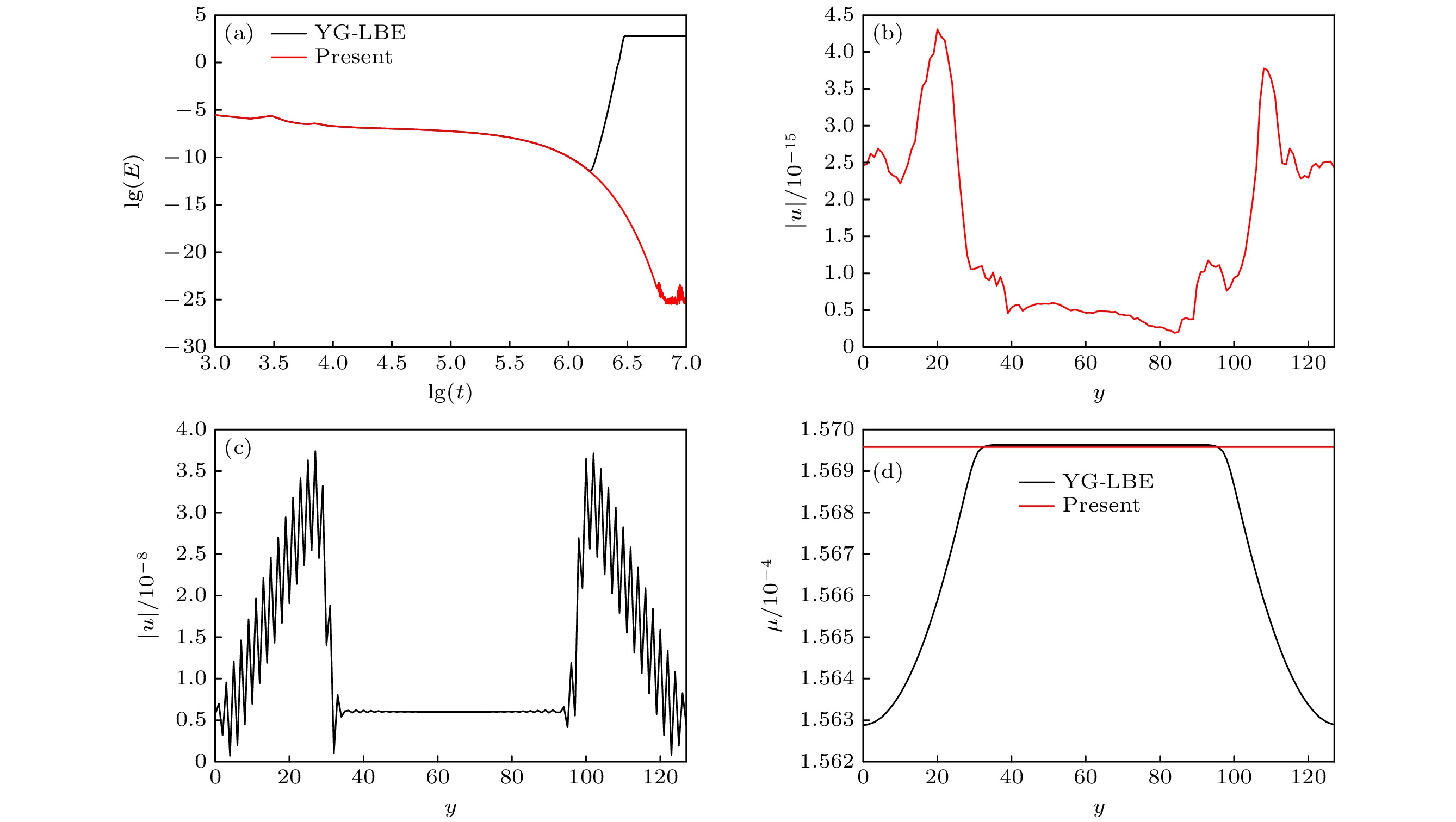
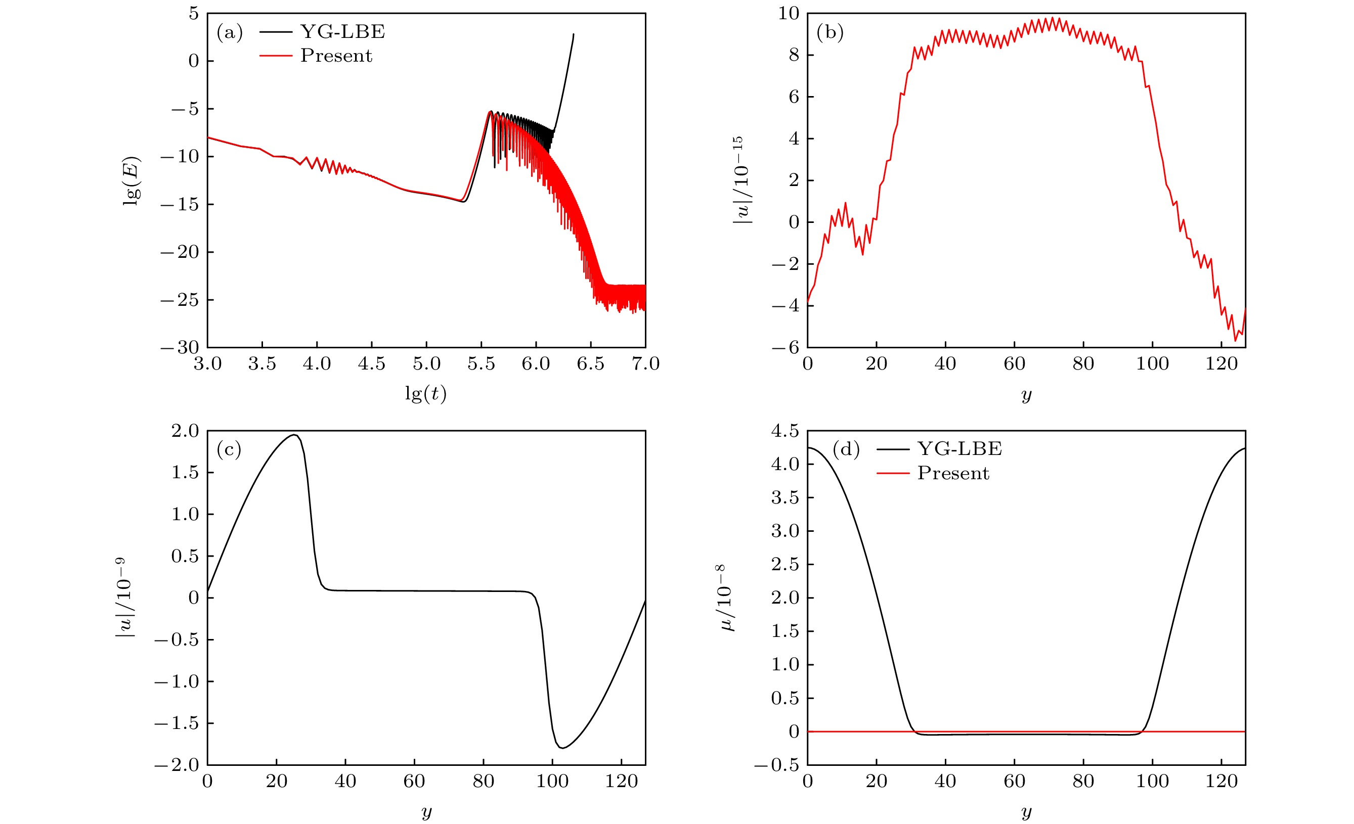
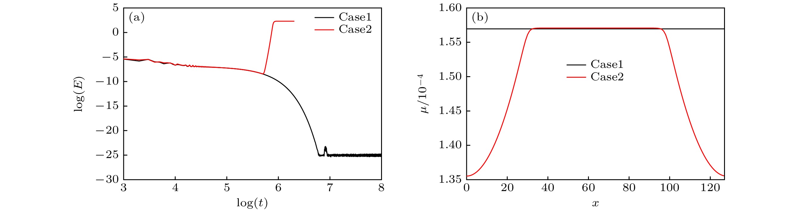
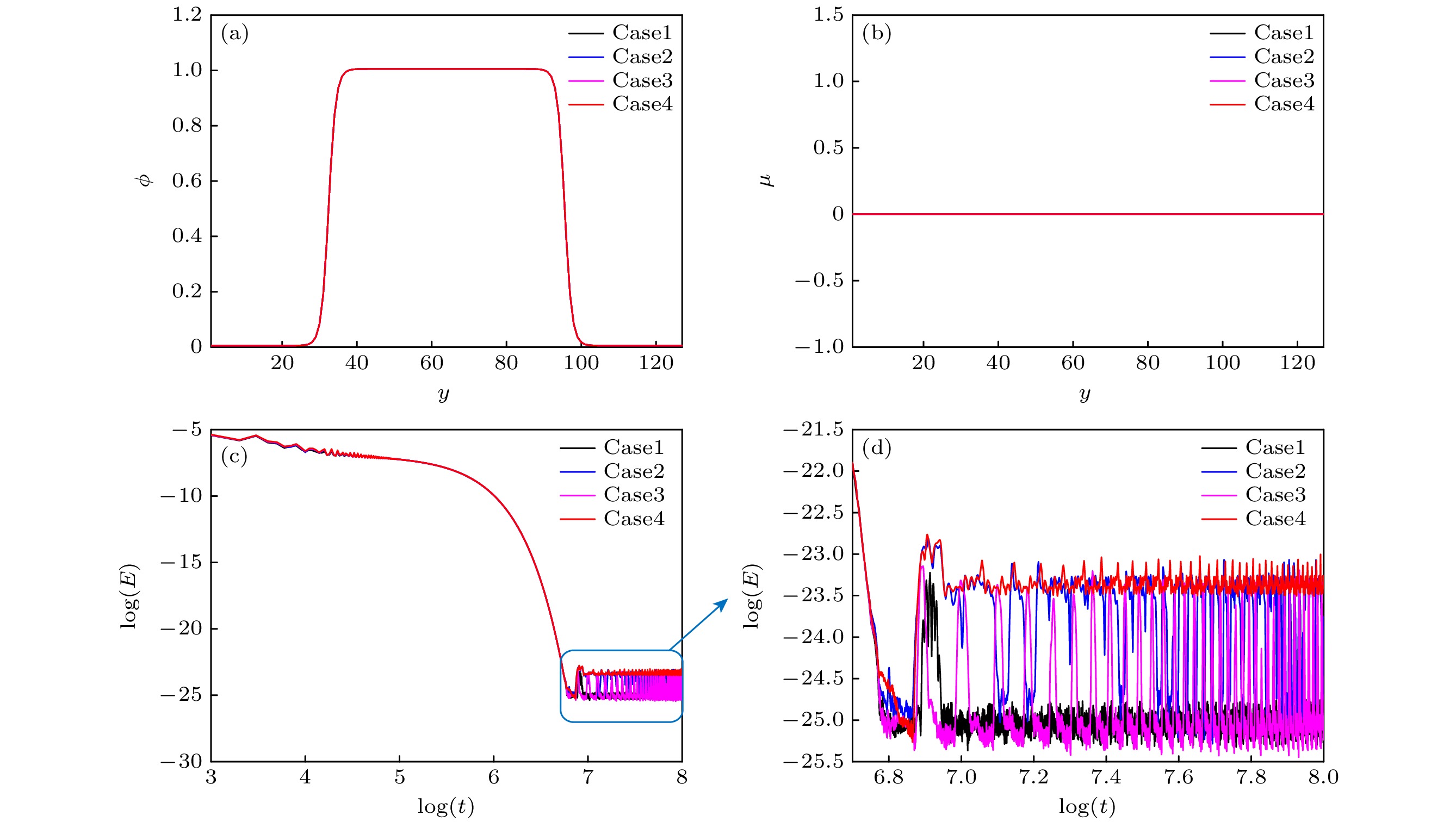
相比于基于不可压相场的两相格子Boltzmann方程(LBE)模型, 基于准不可压相场理论的LBE模型能够严格保证局部质量守恒. 然而, 以往准不可压相场LBE模型不具有精准平衡性质, 两相界面附近存在虚假速度且界面分布不满足热力学平衡 . 针对这一问题, 本文通过重新设计求解相场方程的平衡态分布函数和源项, 实现了离散尺度的精准平衡, 建立了准不可压相场理论的精准两相LBE模型. 对平界面问题和稳态液滴问题的数值模拟表明, 该模型能消除虚假速度, 具有良好的平衡性能. 对分层泊肃叶流的数值模拟证明了该模型模拟动态问题及大黏度比问题的准确性. 此外还比较了不同表面张力和不同黏度混合规则对模型的影响, 结果表明, 使用$ {\boldsymbol{F}}_{s}=\mu {{\nabla}} \phi $计算表面张力无法消除虚假速度; 模拟动态问题时, 使用阶跃混合规则计算混合黏度可以得到更准确的结果. 最后, 对相分离问题的数值模拟表明, 该模型可以严格保证局部质量守恒.
-
关键词:
- 两相流 /
- 格子Boltzmann方法 /
- 准不可压相场模型
Compared with the lattice Boltzmann equation (LBE) model based on incompressible phase field theory, the LBE based on quasi-incompressible phase field theory has the advantage of local mass conservation. However, previous quasi-incompressible phase-field-based LBE model does not satisfy the well-balanced property, resulting in spurious velocities in the vicinity of interface and density profiles inconsistent with those from thermodynamics. To address this problem, a novel LBE model is developed based on the quasi-incompressible phase-field theory. First, numerical artifacts in the original LBE for the Cahn-Hilliard are analyzed. Based on this analysis, the equilibrium distribution function and source term are reformulated to eliminate the numerical artifacts, enabling the new LBE to realize the well-balanced characteristics at a discrete level. The performance of the proposed LBE model is tested by simulating a number of typical two-phase systems. The numerical results of the planar interface and static droplet problems demonstrate that the present model can eliminate spurious velocities and achieve well-balanced state. Numerical results of the layered Poiseuille flow demonstrate the accuracy of the present model in simulating dynamic two-phase flow problems. The well-balanced properties of the LBE model with two different formulations of surface tension ($ {\boldsymbol{F}}_{{\mathrm{s}}}=-\phi {{\nabla}} \mu$ and ${\boldsymbol{F}}_{{\mathrm{s}}}=\mu {{\nabla}} \phi $) are also investigated. It is found that the formulation of $ {\boldsymbol{F}}_{{\mathrm{s}}}=\mu {{\nabla}} \phi $ cannot eliminate the spurious velocities, while the formulation of $ {\boldsymbol{F}}_{{\mathrm{s}}}=\mu {{\nabla}} \phi $ can achieve the well-balanced state. The influences of viscosity formulations of the fluid mixture are also compared. Particularly, four mixing rules are considered. It is shown that the use of step mixing rule gives more accurate results for the layered Poiseuille flow. Finally, we compare the performance of the present quasi-incompressible LBE model with that of the original fully incompressible LBE model by simulating the phase separation problem, and the results show that the present model can ensure the local mass conservation, while the fully incompressible LBE can yield quite different predictions.[1] [2] [3] [4] [5] [6] [7] [8] [9] [10] [11] [12] [13] [14] [15] [16] [17] [18] [19] [20] [21] [22] -
[1] [2] [3] [4] [5] [6] [7] [8] [9] [10] [11] [12] [13] [14] [15] [16] [17] [18] [19] [20] [21] [22]
计量
- 文章访问数: 972
- PDF下载量: 48
- 被引次数: 0








下载: