仪器与测量
封面文章
2025, 74 (5): 059501.
doi: 10.7498/aps.74.20241635
摘要 +
针对空间引力波探测中抑制0.1 mHz—1 Hz频段激光强度噪声需求, 基于光电二极管在光伏模式下具有低暗电流的特点, 采用零偏置电压方案, 结合零失调电压漂移的集成运放及低温漂金属箔电阻组成跨阻放大电路, 优化跨阻电容以及跟随电路; 进一步通过主动温控对光电二极管控温来稳定光电二极管响应度, 研发出在0.1 mHz—1 Hz频段内超低电子学噪声的光电探测器. 利用自研的强度噪声评估系统对其噪声进行时域及频域全面评估测试, 实验结果表明: 所研发探测器的电子学噪声谱密度达到2×10–6 V/Hz1/2@0.1 mHz—1 Hz, 探测器增益能够达到 35 kV/W @1064 nm. 该探测器噪声性能比空间引力波探测中对激光强度噪声(1×10–4 V/Hz1/2)的要求小两个数量级, 为高增益光电反馈控制以及空间引力波探测中激光强度噪声抑制等方面提供关键器件及技术支撑.
编辑推荐
2025, 74 (5): 059502.
doi: 10.7498/aps.74.20241649
摘要 +
X射线聚焦望远镜是进行空间X射线观测的核心设备, 为保证其观测结果的准确性, 需要对进入聚焦镜的低能电子进行有效偏转, 达到降低本底噪声的目的. 本文针对增强型X射线时变与偏振空间天文台(enhanced X-ray timing and polarimetry mission, eXTP)聚焦镜电子偏转器研制工作, 满足聚焦镜光学系统对于低能电子的偏转需求, 兼顾轻量化、电子偏转能力以及电磁兼容性能等问题, 采用有限元分析软件COMSOL Multiphysics建立了电子偏转器及聚焦镜镜片的全物理仿真模型, 分析了磁感应强度分布、电子偏转轨迹以及磁场对聚焦镜镜片的影响, 完成了电子偏转器电磁参数设计. 模拟结果表明, 电子偏转器周围空间中磁感应强度沿半径方向减小, 两根辐条正中间磁感应强度最大值可达0.027 T. 在磁感应强度平面及纵向分布中, 当半径大于280 mm或纵向距离大于60 mm时, 磁感应强度小于5×10–5 T (0.5 Gs), 满足电磁兼容性能设计要求. 当入射角≤10°时, 电子偏转效率随电子能量和入射角增大而减小, 50 keV能量以下电子偏转效率可达100%, 满足电子偏转设计要求. 聚焦镜镜片底端距离电子偏转器130 mm时, 聚焦镜镜片在磁场的作用下, 应力大小仅为10–3 N/m2量级, 形变大小仅为10–5 nm量级, 表明磁场不会对聚焦镜的光学性能产生影响. 这些结果为eXTP聚焦镜电子偏转器的研制工作提供了重要参考.
核物理学
2025, 74 (5): 052401.
doi: 10.7498/aps.74.20241273
摘要 +
采用色散光学模型成功构建了球形核208Pb的Lane自洽色散光学势, 采用同一套势参数同时对208Pb的两种核子(中子和质子)弹性散射数据进行了良好的描述, 高质量地计算了包括中子总截面、核子弹性散射角分布、分析本领以及(p, n)准弹性散射角分布在内的相关核子散射数据, 理论计算结果与实验数据具有很好的一致性.
编辑推荐
2025, 74 (5): 052501.
doi: 10.7498/aps.74.20241640
摘要 +
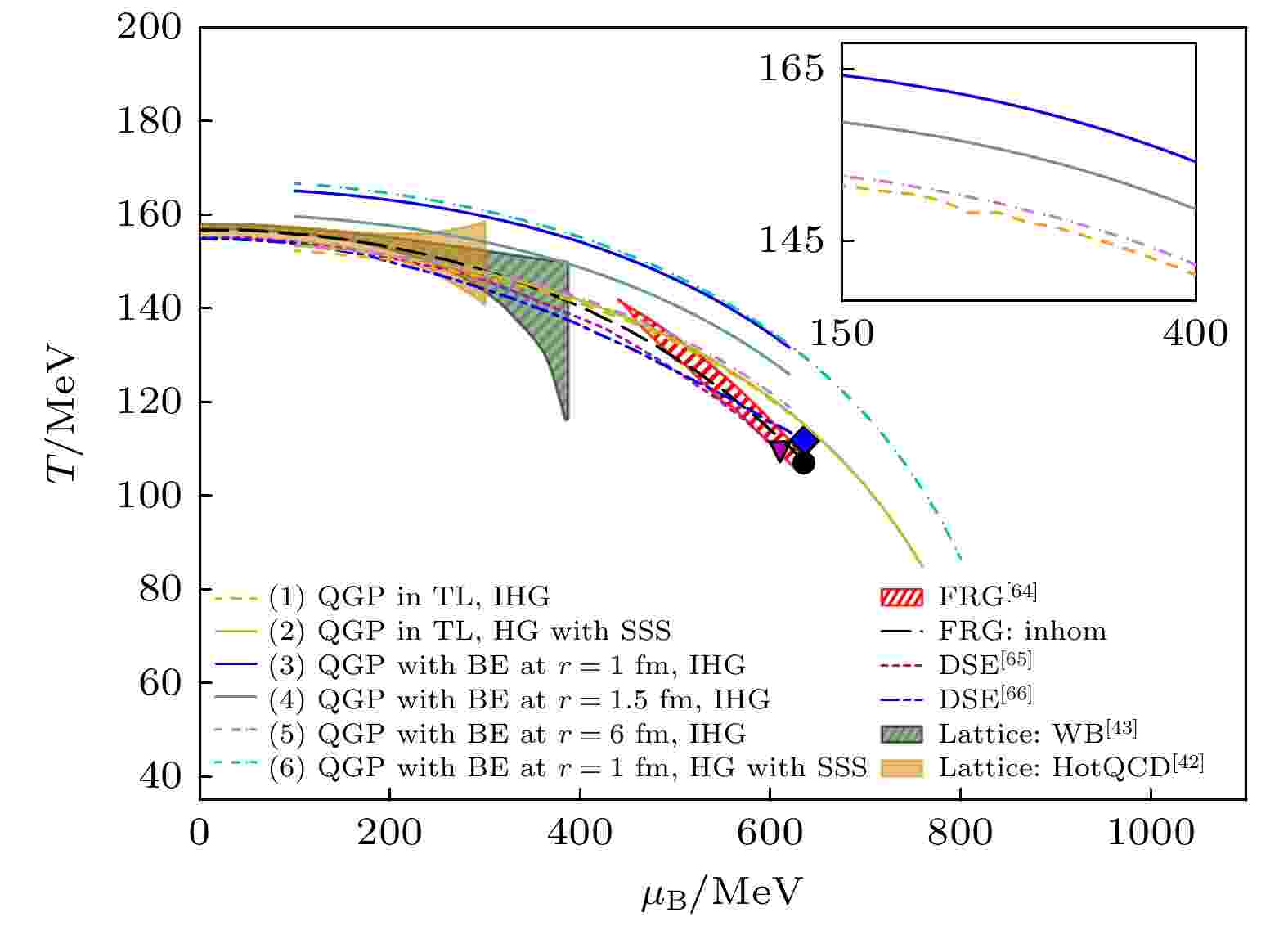
聚焦于小尺度$ \text{s} $夸克物质的边界效应和强子气体中强子的自相似结构对夸克胶子等离子体 (QGP)-强子相变的影响, 采用多级反射展开方法研究了包含$ \text{s} $夸克的QGP热滴的边界效应. 通过计算发现在边界效应的影响下, 小尺度$ \text{s} $夸克物质相较于热力学极限条件下具有更低的能量密度、熵密度和压强. 在强子相中, $ \text{K} $介子在集体流、量子关联和强相互作用的影响下, 与相邻π介子形成两体自相似结构. 通过两体分形模型对$ \text{K} $介子的自相似结构影响计算得出, $ \text{K} $介子的自相似结构存在于碰撞系统中, 导致$ \text{K} $介子的能量密度、熵密度和压强增大. 本研究预测在低能碰撞HIAF能区, $ \text{K} $介子的自相似结构影响因子 $ q_{1} = 1.042 $. 考虑边界效应和$ \text{K} $, π介子的自相似结构对相变的影响, 计算发现$ \text{s} $夸克物质在边界效应与自相似结构的影响下相变温度均有所升高. 若$ \text{s} $夸克物质的边界弯曲程度较大, 则相变温度的升幅相较于自相似结构的影响更明显.
原子和分子物理学
2025, 74 (5): 053101.
doi: 10.7498/aps.74.20241522
摘要 +
Au/CeO2(111)作为一种重要的催化剂体系, 在催化氧化、水气转换反应等多个领域展现出优异的催化性能. 为了深入揭示其催化机理, 特别是在原子尺度上理解活性组分的相互作用. 本文采用密度泛函理论(DFT+U)计算方法, 构建了Au/CeO2(111)体系的原子尺度模型, 通过计算该模型的吸附能、差分电荷密度、巴德电荷以及态密度, 揭示了Au/CeO2(111)的表面吸附行为. 在CeO2(111)的平面区域内, 经过结构弛豫与优化, 确定了5个Au吸附位点. 其中最为稳定的吸附位点并非传统上认为的氧顶位, 而是氧-氧桥位. 在这种吸附构型下, 电荷从Au向Ce4+转移, 导致Ce4+被还原为Ce3+, 伴随着显著的电荷转移现象. 过去的研究更多地关注了平面区域的吸附行为, 而忽视了台阶边缘区域在催化过程中的重要性. 因此, 本研究进一步扩展了研究范围, 深入探讨了4种不同台阶结构对Au吸附的影响, 其中, Type II*和Type III台阶因高度欠配位的Ce原子增强了对Au原子的吸附, 特别是Type III台阶通过显著的电荷转移成为Au的首选吸附位点. 本研究通过构建更全面的Au/CeO2模型, 突破了以往仅关注平面吸附的局限性, 揭示了Au/CeO2在台阶边缘的吸附机制, 为深入理解Au/CeO2(111)的催化机理提供了新的视角.
电磁学、光学、声学、传热学、经典力学和流体动力学
2025, 74 (5): 054201.
doi: 10.7498/aps.74.20241443
摘要 +
当两个次临界振荡场在空间上发生交叠时, 可以高效促进真空中正负电子对的产生. 本研究旨在探究两场在交叠方向上的间距变化对电子对产生的影响. 模拟结果显示, 随着间距的增大, 产率逐渐降低. 通过对不同频率组合的比较, 还发现空间分离时产率的变化快慢与频率组合密切相关. 此外, 在间距变化时, 电子能谱结构的变化也表现出不同的特征. 通过结合粒子跃迁能量分布概率对能谱图的结构进行了详细分析, 发现高阶跃迁概率随距离增加的衰减速度大于低阶跃迁. 此外, 随着间距的增大, 两个组合场共同作用的多光子效应逐渐减弱, 而单个场通过多光子效应产生正负电子对的概率则逐渐增强. 上述结果和规律均得到了很好的解释, 它帮助我们更深入地理解空间局域化对电子对产生的影响, 并对实验设计提供一定的指导.
编辑推荐
2025, 74 (5): 054202.
doi: 10.7498/aps.74.20241664
摘要 +
量子纠缠是量子计算和量子通信网络的核心资源. 本文提出了一种在腔光磁力系统中同时获得微波-声子和光-磁纠缠的理论模型. 该模型基于磁振子的混合量子系统, 注入由超导电光装置产生的光-微波纠缠光束作为内腔场, 并且用蓝失谐微波场激发磁振子模式产生磁振子-声子纠缠. 通过光力分束器及微波-磁子状态交换相互作用转移纠缠, 最终可以获得微波-声子和光-磁纠缠. 理论上从系统哈密顿量和量子郎之万方程出发, 得到漂移矩阵 A , 由漂移矩阵的负本征值保证文章计算的纠缠处于稳定状态. 再利用对数负性分析研究了系统中量子纠缠的特性与相关参数的依赖关系. 研究表明, 该系统可同时获得微波-声子以及光-磁之间稳态纠缠, 并且在系统中直接注入纠缠的微波与光可以显著地提升纠缠对温度的鲁棒性. 该研究将在量子网络和混合量子系统的量子信息处理方面奠定基础.
编辑推荐
2025, 74 (5): 054203.
doi: 10.7498/aps.74.20241659
摘要 +
纳米激光器(NL)是实现光集成的重要光学元件, 近年来成为研究热点之一. 然而, 对于NL在混沌同步方向上的研究仍较为稀少. 本文提出一种基于NL的双路激光混沌复用系统, 并详细研究了其同步性能. 研究中还创新性地引入了主被动分解法, 通过主动和被动信号的分解实现高效的信号处理和复用. 具体而言, 通过建立速率方程模型, 探究了NL两个关键参数(Purcell因子$F$、自发辐射耦合因子$\beta $)、系统参数、单参数失配以及多参数同时失配对同步性能的影响. 结果表明, 通过合理选择系统的参数配置, 两主激光器可以在较大的参数范围内保持较低的相关性, 同时确保主从激光器间保持高品质的混沌同步, 满足混沌复用系统的条件. 此外, 单参数失配对主激光器间同步性的影响具有差异性, 但对配对激光器的同步性影响较小; 多参数失配时, 系统仍能在广泛的参数失配范围内满足两主激光器混沌输出的“伪正交性”要求. 本文结果不仅验证了所提系统的可行性, 还充分体现了主动被动分解法在推动NL混沌同步研究中的重要价值, 为该领域的发展提供了新思路.
2025, 74 (5): 054204.
doi: 10.7498/aps.74.20241174
摘要 +
为了解决Tolansky干涉微小角度测量过程依赖动镜测量臂臂长的问题, 提出了一种双臂Tolansky干涉自准直测角方案, 针对其中分光镜厚度对测角准确性的影响, 利用几何光学的单折射球面公式和过渡公式分析了分光镜厚度影响下的虚拟点光源位置, 建立了包含分光镜厚度和折射率的圆心偏转量与偏转角之间的关系, 通过虚拟仿真和实体实验相结合的方式详细考察了分光镜厚度对测角准确性的影响. 结果显示, 分光镜厚度不同会影响初始圆心的位置; 随着分光镜厚度的增大, 不同角度下, 仿真测量结果与含厚度因素关系式理论值的相对偏差在±0.5%以内; 在同一角度下, 所建立的含厚度因素关系式与不含厚度因素关系式的差值逐渐增大. 在1 mm分光镜的厚度下, 以已标定自准直仪所测导轨数据为准, 所建立的含厚度因素关系式与不含厚度因素关系式的相对误差仅为0.22%. 本文结果为这种新型自准直仪的深度研究和开发提供了重要的指导.
2025, 74 (5): 054301.
doi: 10.7498/aps.74.20241286
摘要 +
声学斯格明子模式是一种在声学结构表面产生的速度场矢量拓扑纹理结构, 这种受保护的矢量分布为声音信息处理、传输和数据存储提供了新的机遇. 本文结合声学波导和亚波长阿基米德螺旋结构设计了一种组合结构, 利用定向声源激发波导模式传输, 进而实现对局域型声学斯格明子模式的选择性激发. 通过理论分析和数值仿真, 研究了自旋声源、Huygens声源、Janus声源在此结构中激发的压力场分布以及速度场分布, 展示了组合结构中声表面波的定向传输性质和选择性激发的声学斯格明子模式. 这种由定向声源选择性激发声学斯格明子模式的方式为设计先进声学信息处理功能器件提供了新的途径.
2025, 74 (5): 054701.
doi: 10.7498/aps.74.20241678
摘要 +
本文基于格子Boltzmann方法, 使用三维数值模拟研究了复杂多孔介质中大密度比气泡运动行为, 重点探讨Eötvös数 (Eo)、接触角 (θ) 和Reynolds数(Re)耦合作用对气泡速度、形态演化及停滞现象的影响规律. 研究发现, 在多孔介质中, 接触角增大降低了气泡速度, 并加剧速度波动, 使气泡趋于扁平化. Eo的增大则可显著抑制扁平化趋势, 稳定气泡速度, 使其形态更接近子弹头状. 当接触角较大且Eo较小时, 黏附力增强会导致气泡停滞于多孔介质内部. 此外, Re与接触角在阻力构成中呈竞争关系, 对气泡的平均速度具有相互增强的作用, 而在较大接触角下, Re增大会导致气泡尾部不稳定并易断裂. 研究还表明, 低Eo和低Re条件下气泡速度随Eo增大而下降, 而在高Eo和高Re条件下则呈相反趋势, 这一现象源于气泡形态的不稳定性对浮力和速度的影响.
气体、等离子体和放电物理
2025, 74 (5): 055201.
doi: 10.7498/aps.74.20241586
摘要 +
为了进一步揭示自脉冲放电机理, 本文对氩气环境下的微空心阴极自脉冲放电进行了实验研究. 结果表明, 随着放电电流的升高, 放电分为汤生放电、自脉冲放电和正常辉光放电三个阶段. 一个完整的自脉冲放电周期可以分为电流的上升期、下降期以及放电的等待期. 本文同时利用流体模型对自脉冲放电的时空动力学特性进行了模拟研究. 模拟结果表明, 当自脉冲放电电流处于最小值时, 放电被限制在阴极孔内, 电场强度、电子密度和电子产生速率均较低, 为汤生放电模式; 随着放电电流的增高, 孔内放电逐渐增强, 同时放电由孔内逐渐向孔外延伸. 当脉冲电流最高时, 阴极孔外具有较强的放电, 阴极外表面附近形成明显的阴极鞘层, 阴极腔外部存在较高的电子产生速率. 当放电电流降低时, 放电由孔外向孔内收缩, 并逐步恢复到汤生放电模式. 模拟结果同时表明, 不同自脉冲放电阶段电离源不同: 电流较高时直接电离起主要作用, 电流处于最低值时的脉冲等待期潘宁电离起主要作用. 实验和模拟结果表明, 微空心阴极自脉冲放电实质上是放电被限制在孔内的汤生放电模式与放电区域延伸到孔外的正常辉光放电模式相互转换的过程.
2025, 74 (5): 055202.
doi: 10.7498/aps.74.20241263
摘要 +
湍流非线性作用产生的等离子体流可以通过剪切抑制湍流及其驱动的输运, 从而改善等离子体约束. 湍流可以由局域梯度驱动及远大于其相关长度的径向位置的湍流传播. 采用快速往复朗缪尔探针阵列在中国环流器2号A(HL-2A)托卡马克上观测了电子回旋共振加热 (electron cyclotron resonance heating, ECRH)调制对边缘湍流驱动和传播的影响. 边缘径向电场、湍流和雷诺协强在ECRH期间均增强且伴随着离子-离子碰撞率降低. 分析表明边缘极向流的增强是由于湍流非线性驱动增大和阻尼减弱的共同作用结果. 进一步分析发现ECRH开启后湍流驱动和传播率均增大, 且湍流驱动率大于湍流传播率, 并与湍流强度做比较. 结果表明ECRH期间边缘湍流驱动和传播共同作用导致湍流强度增加, 进而引起湍流雷诺协强增强并驱动更强的边缘等离子体流. 这些结果阐明了ECRH调制期间边缘湍流驱动和传播对边缘等离子体流和湍流的重要影响.
编辑推荐
2025, 74 (5): 055203.
doi: 10.7498/aps.74.20241606
摘要 +
仿星器线圈的构形形变在制造和装配过程中是不可避免的, 这些形变会导致误差场的产生, 仿星器的磁场位形对误差场非常敏感, 严重制约等离子体的约束性能. 因此, 评估线圈形变对仿星器磁拓扑结构的影响是非常重要的研究课题. 本文研究了中国首台准环对称仿星器(CFQS)上非平面模块化线圈(MC)形变对真空场下磁拓扑结构的影响. 利用磁岛宽度变化来衡量线圈形变造成的误差场, 采用3种旋转变换(ι = 2/4, 2/5和2/6)的磁岛位形, 分别考虑了每个模块化线圈的面内扰动和面外扰动. 结果表明, 同一线圈的形变会产生不同的共振误差场, 且这些误差场的幅度各不相同; 共振误差场对每个线圈形变的敏感度不同, 最复杂线圈的面内扰动可能对磁拓扑结构的影响并不明显; 共振误差场对线圈面外扰动的灵敏度高于面内扰动的灵敏度.
2025, 74 (5): 055204.
doi: 10.7498/aps.74.20241637
摘要 +
水下流光放电在降解水中有机污染物、改良农作物种子等方面有良好的应用前景, 其放电形态对实际应用效果有重要影响. 本文利用四分幅超高速相机观测了不同水电导率、外加电压条件下水下微秒脉冲流光放电过程, 发现在高水电导率条件下存在两种不同的放电形态: 扇形丝丛和单根长丝. 在本文研究范围内水电导率800 µS/cm是两种形态出现率的分界点: 水电导率小于800 µS/cm时, 单根长丝形态的出现率为100%; 水电导率大于800 µS/cm时, 随着水电导率的增大, 单根长丝形态的出现率降低, 扇形丝丛形态的出现率增大; 水电导率大于1000 µS/cm后, 主导放电形态为扇形丝丛形态, 随水电导率的增大反转两种放电形态的出现率所需的电压增大. 扇形丝丛流光传播速度~1.7 km/s, 单根长丝流光早期传播速度~25 km/s, 后期传播速度下降至~0.8 km/s, 水电导率和外加电压对两种形态的传播速度没有显著影响. 扇形丝丛形态的放电延迟时间总是比单根长丝形态的大~8%, 单脉冲注入能量比单根长丝形态的小~20%.
凝聚物质:结构、力学和热学性质
2025, 74 (5): 056101.
doi: 10.7498/aps.74.20241641
摘要 +
本文对第四代双沟槽型碳化硅场效应晶体管开展了不同栅极偏置电压下的60Co-γ辐照实验, 并在辐照后进行了室温退火实验. 实验结果表明, 辐照后器件的阈值电压负向漂移, 且在正向栅极偏压下电学性能退化尤为明显. 通过分析器件的1/f噪声特性发现, 在不同栅极偏置条件下辐照后器件的漏极电流噪声归一化功率谱密度升高了4—9个数量级, 这表明辐照后器件内部缺陷密度显著增加. 对辐照后器件进行了24, 48和168 h的室温退火实验, 退火后器件阈值电压有所升高, 表明器件的电学性能在室温下可以部分恢复, 主要因为辐照产生的浅氧化物陷阱电荷在室温下退火, 而深氧化物陷阱电荷和界面陷阱电荷在室温难以恢复. 结合TCAD仿真模拟进一步分析器件总剂量效应微观机制. 结果表明, 辐照在氧化层中诱生的大量氧化物陷阱电荷造成栅极氧化层中靠近沟道一侧的电场强度增大, 导致器件的阈值电压负向漂移, 影响器件性能.
编辑推荐
2025, 74 (5): 056102.
doi: 10.7498/aps.74.20241084
摘要 +
铀铌合金在不同实验环境中呈现出复杂的晶体相和独特的力学性能, 但原子尺度的相析出和形变损伤机制尚不清楚, 其根本原因是缺乏支撑大尺度分子动力学模拟的精确铀铌合金原子相互作用势. 本工作基于自主开发的神经网络势能函数及随机搜索方法, 构建了覆盖全化学空间的铀铌合金第一性原理计算数据库, 并基于神经网络框架建立了具有较高泛化性能和精度的铀铌二元体系机器学习势函数, 其能量和力的测试平均绝对误差分别为5.6 meV/atom和0.095 eV/Å, 可以精确地描述不同化学成分铀铌合金的晶体空间结构、状态方程及热力学参量. 基于该势函数, 我们实现了低温时效下铀铌合金相失稳分解过程的原子尺度模拟, 初步阐明了Nb析出相对其合金力学性能的影响及原子响应机制.
凝聚物质:电子结构、电学、磁学和光学性质
2025, 74 (5): 057101.
doi: 10.7498/aps.74.20241518
摘要 +
随着集成电路制备对尺寸要求的逐步提高, 电子器件的微型化研究受到越来越多科学家的青睐. 本研究通过采用密度泛函理论结合非平衡格林函数的方法, 系统地研究了卤素等元素边缘修饰对α-2-石墨炔的电子能带结构及其器件的电子输运特性的调控作用. 从能带结构研究发现, 在反铁磁组态下多种元素掺杂都使得α-2-石墨炔表现出独特的半导体属性. 特别是, 采用氧元素边缘修饰的α-2-石墨炔周期性结构在费米能级附近展现出较为复杂的结构特性. 此外, 电子器件研究表明氟(F)、氯(Cl)、氧(O)、氢氧根(OH)元素掺杂调控下器件展示出明显的负微分电阻效应(NDR)和自旋过滤效应. 有趣的是, 研究发现外加电压为–0.4 V时自旋平行配置下器件的自旋过滤效率高达84%. 本文通过进一步分析其传输路径、透射谱与局域态密度来阐释NDR效应与自旋过滤效应的产生机理, 为理解α-2-石墨炔在电子输运中的独特行为提供充分的理论依据. 该研究将在新型逻辑器件、集成电路、微纳电子机器等热点领域的研究中具有明显的应用价值.
2025, 74 (5): 057301.
doi: 10.7498/aps.74.20241381
摘要 +
硅通孔(TSV)作为实现三维集成电路互连的关键技术, 其侧壁界面的完整性对TSV的漏电特性至关重要. 本文开展了温度循环实验, 结合漏电流I-V测试、微观结构观察和能谱仪(EDS)元素分析, 分析了温度循环对TSV侧壁界面完整性及对绝缘层漏电机制的影响. 研究表明, 随着温度循环次数的增加, TSV阻挡层的完整性逐渐降低, 漏电流显著增加, 绝缘层的漏电机制从肖特基发射机制转变为肖特基发射与Poole-Frenkel发射机制共同作用, 这种转变在高电场条件下更为显著. 进一步的TSV界面完整性分析表明, 温度循环引起的热机械应力导致了TSV填充铜与阻挡层界面间缺陷产生, 这些缺陷促进铜原子扩散到绝缘层, 形成漏电路径, 是导致绝缘层介电性能下降的主要原因之一.
编辑推荐
2025, 74 (5): 057401.
doi: 10.7498/aps.74.20241583
摘要 +
本文介绍了一种由超导带材机械冷剥离薄膜制备共面波导柔性传输线的工艺方法. 剥离加工后的YBCO薄膜超导转变温度宽度为0.79 K, 相较于原带材的转变宽度升高了0.3 K, 在77 K, 0 T下临界电流密度为7.7×105 A/cm2, 具有带材75%以上的临界电流密度. 将剥离的YBCO薄膜制成长12 cm、宽1 cm PI-YBCO-PI三层结构的传输线, 测得40—4.2 K的漏热值为0.238 mW. 在1 cm宽的YBCO薄膜上制备5条信号通道, 仿真得相邻信号通道间的串扰小于–40 dB, 每条通道在9 GHz处的插损小于–2 dB, 每条信号通道的漏热值为47.6 μW.
2025, 74 (5): 057402.
doi: 10.7498/aps.74.20241671
摘要 +
结合金属和二维纳米材料的优点, 研究人员提出了多种二维材料/金属复合结构作为表面增强拉曼光谱(SERS)基底, 然而, 复合结构中的二维纳米材料通常对总增强的作用较小. 本文提出了一种竖直排列的二硫化钼(MoS2)纳米片, 并将其与银纳米颗粒(Ag NPs)复合, 制备MoS2/Ag基底, 用于SERS检测. 竖直排列MoS2纳米片可有效提高对分子的吸附, 增强光吸收, 提升电磁和化学双机制增强. 实验结果表明, MoS2/Ag基底表现出优异的SERS性能, 其对罗丹明6G (R6G)分子的检测极限达到了10–12 mol/L, 接近单分子检测水平, 增强因子约为1.08×109. 同时该基底表现出优异的信号重现性, 最终实现了对水产品中抗菌剂残留的超灵敏检测.
编辑推荐
2025, 74 (5): 057601.
doi: 10.7498/aps.74.20241730
摘要 +
实验和理论研究表明单个磁子模式与谐振腔光子能够形成相干型与耗散型耦合, 这两个耦合通道的干涉会产生零阻尼效应. 本工作将零阻尼效应拓展到两个磁子模式, 研究了微波谐振腔中磁双层的零阻尼效应. 基于本征频率和微波透射谱, 推导了两个磁子模式的零阻尼产生条件以及频率失谐的表达式, 并与数值计算的微波透射谱进行比较, 获得了零阻尼与系统参数之间的关系. 此外, 本文也分析了磁双层中界面交换耦合引起的磁子-磁子直接耦合带来的影响. 由于零阻尼对应的微波透射谱的线宽非常窄, 因而本工作对于设计基于磁子零阻尼效应的量子传感器件具有重要意义.
2025, 74 (5): 057701.
doi: 10.7498/aps.74.20241379
摘要 +
压电纤维复合材料(macro fiber composite, MFC)具有高压电性、高柔韧性和低损耗等优点, 被广泛应用于航空、航天、民用和军事等领域. 然而, 目前MFC传感器的研究主要聚焦于材料应用, 对于MFC传感器件仿真建模还缺乏系统性的研究. 本工作分别建立了代表性体积元模型、直接模型和混合模型, 从细节到整体、从微观到宏观对MFC的有限元模型进行了建模和分析. 一方面通过等效体积元模型, 掌握MFC内部的电场分布规律, 为力-电耦合提供理论依据; 另一方面通过直接模型和混合模型, 对MFC的实体结构进行整体建模和边界条件的加载, 为MFC贴片式传感和共振式传感的分析提供理论依据, 有效预测了MFC智能元件传感器的传感性能. 仿真结果表明, 共振式传感器性能远优于贴片式传感器, 当激振加速度为5 m/s2、悬臂梁基板长度为80 mm时, 计算得到的MFC共振式传感器的谐振频率为67 Hz, 输出电压为4.17 V. 实验结果表明, MFC传感器测试的谐振频率为74 Hz, 输出电压为3.59 V, 仿真计算结果与MFC传感器预测结果基本符合. 此外, MFC传感器在低频工作时具有优异的传感灵敏度, 传感灵敏度为7.35 V/g. 可见, MFC在低频共振时具有优异的传感特性, 构建的3种有限元模型可以有效预测MFC传感器的传感性能, 为MFC传感器的性能预测提供了保障.
2025, 74 (5): 057801.
doi: 10.7498/aps.74.20241684
摘要 +
传统太赫兹超材料吸收器设计需多次试错调整, 十分依赖设计人员的经验, 设计时间成本高、效率低, 而目前基于机器学习的设计方法或需要准备大量样本, 或无法并行优化多个目标. 为解决这一问题, 本文提出一种基于多目标粒子群的几何参数优化方法, 以吸收率和品质因子为设计目标寻找符合要求的结构参数和介质厚度, 并以一个由四个角码型金属组成的中心对称结构的吸收器为例进行优化设计. 仿真结果表明, 多目标粒子群所快速获取的结构几何参数可以同时满足高吸收率和高品质因子两个设计目标, 明显优于粒子群算法. 通过该方法设计的吸收器在1.613 THz的吸收率大于99%, 品质因子为319.72, 其传感灵敏度可达264.5 GHz/RIU. 相比于传统设计方法, 此方法设计出的超材料吸收器可以实现高吸收率、高品质因子和高灵敏度, 为超材料吸收器的设计提供了新的思路, 具有广阔的应用前景.
物理学交叉学科及有关科学技术领域
编辑推荐
2025, 74 (5): 058101.
doi: 10.7498/aps.74.20241483
摘要 +
超高强度马氏体时效不锈钢同时拥有优异的强度及易加工等良好性能, 广泛应用于如飞机起落架等关键承载部件中. 然而, 由于析出的纳米粒子通常与体心立方(BCC)马氏体基体呈半共格或非共格关系, 传统马氏体时效不锈钢在追求超高强度的同时依然面临材料强韧性制衡这一难题. 本工作通过团簇式设计方法设计了一种新型共格析出强化的超高强度马氏体时效不锈钢(Fe-7.95Cr-13.47Ni-3.10Al-1.83Mo-0.03C-0.23Nb, 数字为各元素的质量百分含量). 实验结果表明, 该冷轧态不锈钢时效后马氏体组织晶粒破碎、拉长, 同时BCC马氏体基体中存在高密度位错(~1.8 × 10–3 nm–2)和大量的共格析出的B2-NiAl纳米粒子(< 5 nm). 力学性能方面, 该不锈钢在时效过程后表现出明显的时效硬化, 峰值时效硬度达到651 HV. 并且该不锈钢不仅具有极高的屈服强度(σYS = 2.3 GPa), 而且具有良好的断后延伸率(El = 3.6%), 表明实现了良好的强塑性匹配. 最后, 对该不锈钢的超高强度来源进行深入讨论, 发现该不锈钢的超高强度来自于各不同微观结构的强化作用. 本工作为进一步设计开发出高性能超高强度马氏体时效不锈钢提供了有价值的参考.
2025, 74 (5): 058201.
doi: 10.7498/aps.74.20241663
摘要 +
三氧化钨(WO3)是一种典型的电致变色材料, 因其出色的光-电特性成为科学研究和工程应用的热点材料. WO3的电致变色性能受其氧空位浓度和分布的影响, 进而调控其变色效率和稳定性. 现有调控方法多为以退火为代表的高温处理, 无法维持薄膜的低结晶度, 因而导致循环性能下降. 本研究采用等离子体处理技术调控WO3薄膜氧空位的生成和分布, 采用X射线衍射、扫描电子显微镜、光电测试和循环伏安法等对处理后薄膜进行表征, 确定其微观结构和氧空位水平, 获得氧空位对电致变色性能的调控规律, 并与氩气环境退火所得薄膜进行对比. 结果表明, 等离子体处理能够显著地提高WO3薄膜的表面氧空位浓度, 并在薄膜深度方向形成梯度氧空位分布. 与原始薄膜和氩气退火制备的薄膜相比, 等离子体处理优化后的氧空位分布显著地增强了WO3薄膜的电子注入和抽出能力, 薄膜光学调制范围提升至85%, 且具有更快的变色响应速度和更好的循环稳定性.
2025, 74 (5): 058401.
doi: 10.7498/aps.74.20241608
摘要 +
为了提升半导体开关的峰值功率与导通速度, 针对光控多门极晶闸管结构开展了系列实验研究, 重点探讨了不同光注入参数对开关特性的影响. 研究发现, 在不同激光峰值功率条件下, 开关芯片展现出不同的导通特性. 通过建立开关模型, 并对注入光参数及电路参数进行对比分析, 本工作提出了光控多门极晶闸管的3种工作模式设想: 光致线性模式(A模式)、场致非线性模式(C模式)和混合放大模式(B模式). 为验证这些工作模式, 我们进行了针对性的验证测试, 结果证实了该光控多门极晶闸管具有不同导通特性的工作模式. 开关多工作模式的发现与验证, 大幅度提升了功率半导体开关器件的导通速度(di/dt)水平和峰值功率. 在23 mm直径芯片上, A模式获得了4 kV, 8 kA, 440 kA/μs的窄脉冲; C模式获得了8.5 kV, 6.0 kA, 55 kA/μs的宽脉冲; 在38 mm直径芯片上, B模式获得了4.6 kV, 8.5 kA, 129 kA/μs的宽脉冲. 这些成果为超高峰值功率半导体开关组件的研发奠定了坚实的理论与实验基础.
编辑推荐
2025, 74 (5): 058501.
doi: 10.7498/aps.74.20241670
摘要 +
本文针对N型和P型碳纳米管场效应晶体管(carbon nanotube field-effect transistor, CNTFET)开展了10 keV-X射线的总剂量效应研究. 结果表明, 不同类型的晶体管在辐照后均出现阈值电压漂移、跨导下降、亚阈值摆幅上升和饱和电流下降的现象; 辐照过程中, 施加浮空偏置的N型器件较开态偏置损伤更严重, 而施加开态偏置的P型器件较浮空偏置损伤更严重; N型器件辐照后回滞宽度减小且随着沟道尺寸的增大总剂量损伤愈发严重. 辐照过程中产生的陷阱电荷是造成器件参数退化的主要原因; 不同类型器件在辐照过程中施加的栅极偏置会影响栅极介质层中陷阱对电子或空穴的捕获, 从而使器件呈现不同的辐射损伤特征; 辐照后N型器件回滞宽度减小可能是因为辐照产生的带负电陷阱电荷阻碍了水分子、OH基团和栅极介质层中陷阱对电子的捕获; 此外, 晶体管的沟道尺寸也会影响辐射响应, 尺寸越大, 辐照过程中栅极介质层中和界面处产生陷阱电荷越多, 导致晶体管损伤更为严重.
地球物理学、天文学和天体物理学
2025, 74 (5): 059201.
doi: 10.7498/aps.74.20241704
摘要 +
利用塑料闪烁体探测器进行了宇宙线缪子计数谱及各向异性特性的观测实验. 实验采用双端符合测量和标准γ源进行能量刻度, 显著减小了探测器的噪声干扰, 提高了测量数据的可靠性. 通过引入温度与气压修正函数, 对计数结果进行了气象效应校正. 实验结果显示, 缪子在塑料闪烁体探测器中的能量损失呈现出随时间和太阳活动变化的周期性特征, 反映出太阳对宇宙线各向异性的调制效应. 此外, 实验数据与羊八井观测站中子-缪子望远镜的观测结果在缪子计数的日周期变化趋势上表现出较高的一致性. 本研究为深入探索宇宙线缪子的能量分布及太阳调制效应提供了可靠的实验依据, 同时为宇宙线探测技术的应用与发展提供了重要参考.
2025, 74 (5): 059202.
doi: 10.7498/aps.74.20241344
摘要 +
利用自旋-动量关系表征了柱矢量涡旋光束在自由空间中传输时的动量(P)、自旋角动量(SAM)、横向自旋角动量(t-SAM)、纵向自旋角动量(l-SAM)、轨道角动量以及矢量光场分布. 研究结果表明: P存在与光轴平行和垂直的分量, t-SAM, l-SAM和光场在拓扑荷m不为零时均存在与光轴平行和垂直的分量, 而SAM只存在与光轴垂直的分量, 不存在与光轴平行的分量. 使用自旋-动量关系, 对在自由空间中传输的柱矢量涡旋光束的光学参量进行全矢量的表征, 可以为分析结构光束在不同介质中传输时的角动量特性提供一定的理论基础.


