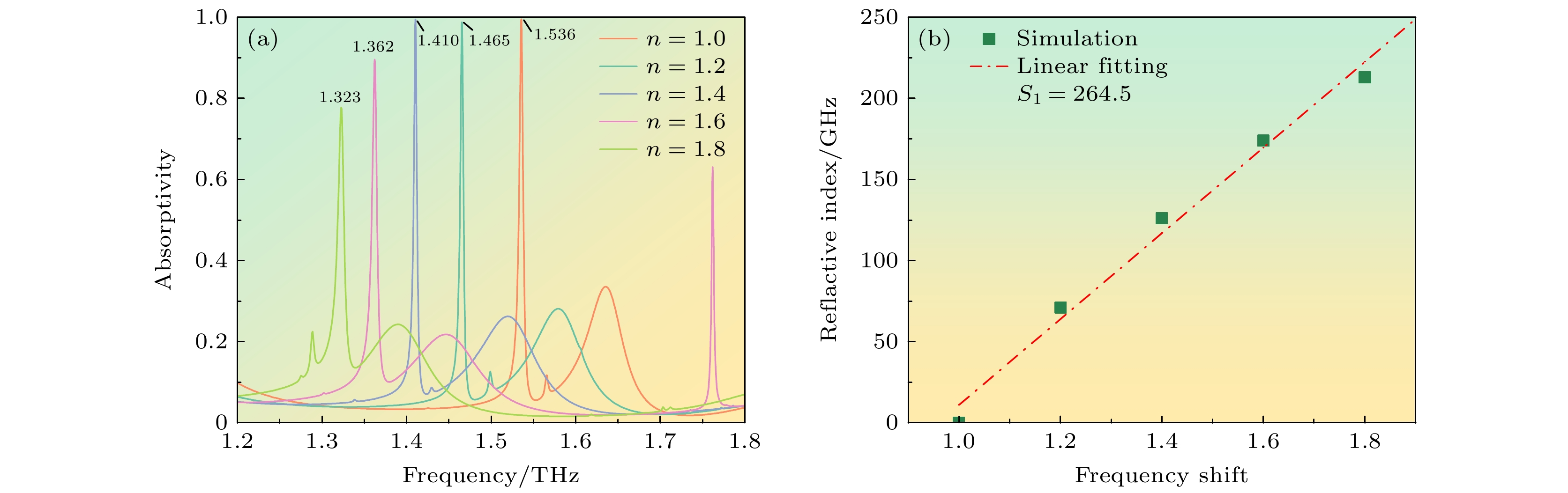
Metamaterials can freely control terahertz waves by designing the geometric shape and direction of the unit structure to obtain the desired electromagnetic characteristics, so they have been widely used in sensing, communication and radar stealth technology. The traditional design of terahertz metamaterial absorber usually requires continuous structural adjustment and a large number of simulations to meet the expected requirements. The process largely relies on the experience of researchers, and the physical modeling and simulation solution process is time-consuming and inefficient, greatly hindering the development of metamaterial absorbers. Therefore, due to its powerful learning ability, deep learning has been used to predict the structural parameters or spectra of metamaterial absorbers. However, when designing a new structure, it is necessary to prepare a large number of training samples again, which is both time-consuming and not universal. Particle swarm optimization algorithm can quickly converge to the optimal solution through the sharing and cooperation of individual information in the group, with no need for prior preparation. Therefore, a method of fast designing terahertz metamaterial absorber is proposed based on multi-objective particle swarm optimization algorithm in this work. Taking a new center symmetric absorber structure composed of four Ls for example, the structure parameters are optimized to achieve rapid and automatic design of metamaterial absorber. The multi-objective particle swarm optimization algorithm takes the absorptivity and quality factor as independent targets to design the structure parameters of the absorber, realizing the dual-objective optimization of the absorber, and overcoming the shortcoming of the multi-objective conflicts that cannot be solved by PSO. When used for refractive index sensing, the optimally-designed absorber achieves perfect absorption at 1.613 THz with a quality factor of 319.72 and a sensing sensitivity of 264.5 GHz/RIU. In addition, the reasons of absorption peaks are analyzed in detail through impedance matching, surface current, and electric field distribution. By studying the polarization characteristics of the absorber, it is found that the absorber is not sensitive to polarization, which is more stable in practical application. In summary, the multi-objective particle swarm optimization algorithm can realize the design according to the requirements, reduce the experience requirement of researchers in the design of metamaterial absorber, thereby improving design efficiency and performance, and has great potential for application in the design of terahertz functional devices.