-
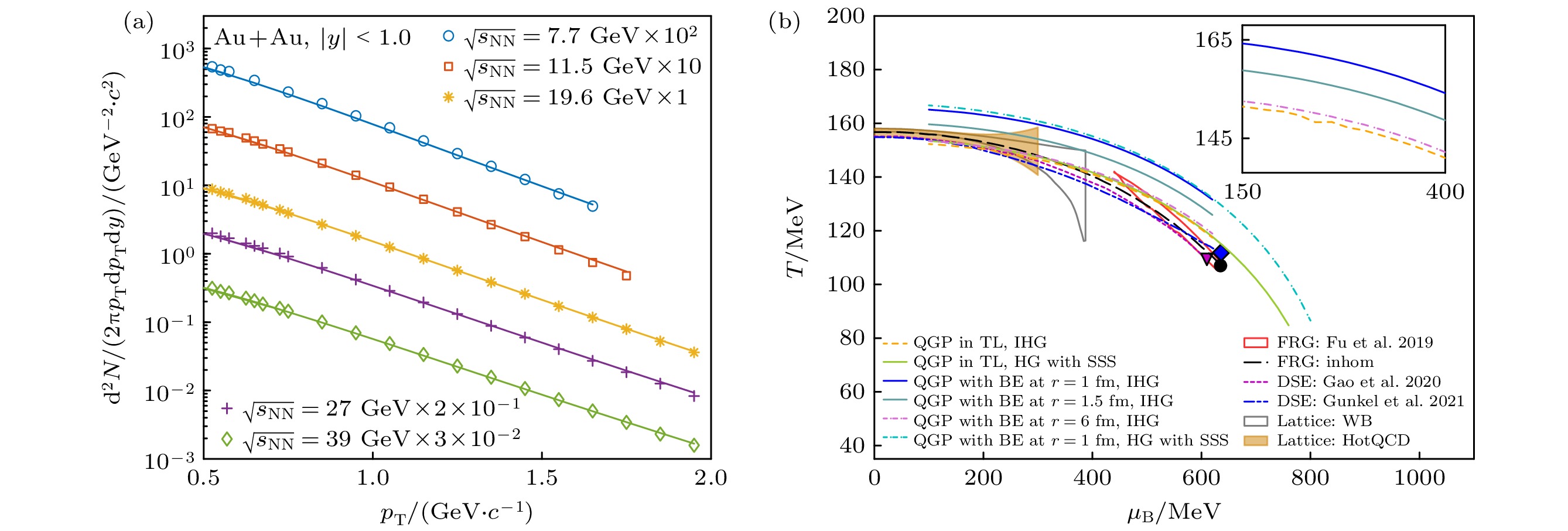
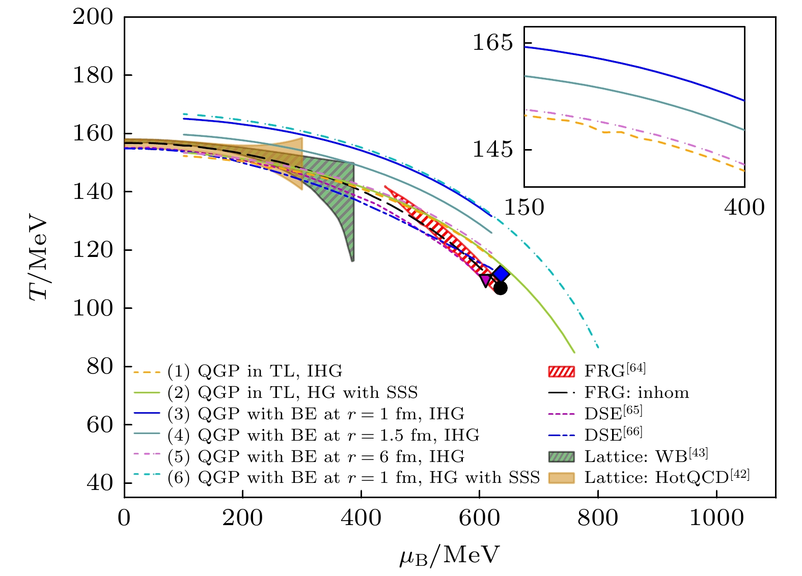
聚焦于小尺度$ \text{s} $夸克物质的边界效应和强子气体中强子的自相似结构对夸克胶子等离子体 (QGP)-强子相变的影响, 采用多级反射展开方法研究了包含$ \text{s} $夸克的QGP热滴的边界效应. 通过计算发现在边界效应的影响下, 小尺度$ \text{s} $夸克物质相较于热力学极限条件下具有更低的能量密度、熵密度和压强. 在强子相中, $ \text{K} $介子在集体流、量子关联和强相互作用的影响下, 与相邻π介子形成两体自相似结构. 通过两体分形模型对$ \text{K} $介子的自相似结构影响计算得出, $ \text{K} $介子的自相似结构存在于碰撞系统中, 导致$ \text{K} $介子的能量密度、熵密度和压强增大. 本研究预测在低能碰撞HIAF能区, $ \text{K} $介子的自相似结构影响因子 $ q_{1} = 1.042 $. 考虑边界效应和$ \text{K} $, π介子的自相似结构对相变的影响, 计算发现$ \text{s} $夸克物质在边界效应与自相似结构的影响下相变温度均有所升高. 若$ \text{s} $夸克物质的边界弯曲程度较大, 则相变温度的升幅相较于自相似结构的影响更明显.We investigate the boundary effect of small-scale s quark matter and the self-similarity structure influence of strange hadrons in the hadron gas on quark-gluon plasma (QGP)-hadron phase transition. In this study, the multiple reflection expansion method is used to investigate the boundary effect of QGP droplets containing s quarks. The calculation reveals that under the influence of boundary effect, small-scale s quark matter exhibits that energy density, entropy density, and pressure are all lower. In the hadron phase, there exists a two-body self-similarity structure between K mesons and neighboring π mesons, subjected to collective flow, quantum correlations, and strong interactions. By using two-body fractal model to study the self-similarity structure of the K meson in meson and quark aspects, it is found that the self-similarity structure of the K meson exists in hadron phase, resluting in an increase in the energy density, entropy density, and pressure of the K meson. Furthermore, under the influence of self-similarity structure, the derived transverse momentum spectrum of K meson shows excellent agreement with experimental data (
Fig. (a) ). This study predicts that in the HIAF energy region, the self-similarity structure factor of K meson $ q_{1} $ approaches 1.042. Additionaly, under the combined influence of boundary effects and self-similarity structure of K and π mesons, the phase transition temperature of s quark matter increases (Fig. (b) ). Morover, if the boundary of s quark matter is more curved, the increase of phase transition temperature becomes more pronounced compared to the effect of self-similarity structure alone.-
Keywords:
- s quark /
- boundary effect /
- self-similarity structure /
- quantum chromodynamics phase transition
[1] [2] [3] [4] [5] [6] [7] [8] [9] [10] [11] [12] [13] [14] [15] [16] [17] [18] [19] [20] [21] [22] [23] [24] [25] [26] [27] [28] [29] [30] [31] [32] [33] [34] [35] [36] [37] [38] [39] [40] [41] [42] [43] [44] [45] [46] [47] [48] [49] [50] [51] [52] [53] [54] [55] [56] [57] [58] [59] [60] [61] [62] [63] [64] [65] [66] -
$ \sqrt{s_{\text{NN}}}/\text{GeV} $ $ T / \text{GeV} $ $ \mu_{\text{B}} / \text{GeV} $ $ r_{\text{min}}/\text{fm} $ $ r_{0}/\text{fm} $ $ q_{1} $ $ q_{2} $ 7.7 0.1424 $ \pm $ 0.00137 0.42 0.11 6.3 1.04222 $ \pm $ 0.003525 1.13941 $ \pm $ 0.010415 11.5 0.1483 $ \pm $ 0.00142 0.316 0.11 6.5 1.04204 $ \pm $ 0.004635 1.12682 $ \pm $ 0.01063 19.6 0.1527 $ \pm $ 0.00147 0.206 0.09 6.75 1.04129 $ \pm $ 0.002445 1.14432 $ \pm $ 0.005105 27 0.1541 $ \pm $ 0.00148 0.156 0.1 6.8 1.04470 $ \pm $ 0.001435 1.12251 $ \pm $ 0.00039 39 0.155 $ \pm $ 0.00149 0.112 0.1 6.85 1.04710 $ \pm $ 0.001615 1.11388 $ \pm $ 0.00012 -
[1] [2] [3] [4] [5] [6] [7] [8] [9] [10] [11] [12] [13] [14] [15] [16] [17] [18] [19] [20] [21] [22] [23] [24] [25] [26] [27] [28] [29] [30] [31] [32] [33] [34] [35] [36] [37] [38] [39] [40] [41] [42] [43] [44] [45] [46] [47] [48] [49] [50] [51] [52] [53] [54] [55] [56] [57] [58] [59] [60] [61] [62] [63] [64] [65] [66]
计量
- 文章访问数: 1803
- PDF下载量: 156
- 被引次数: 0








下载: