-
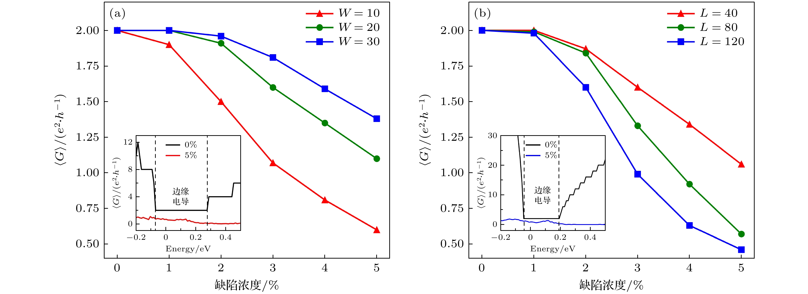
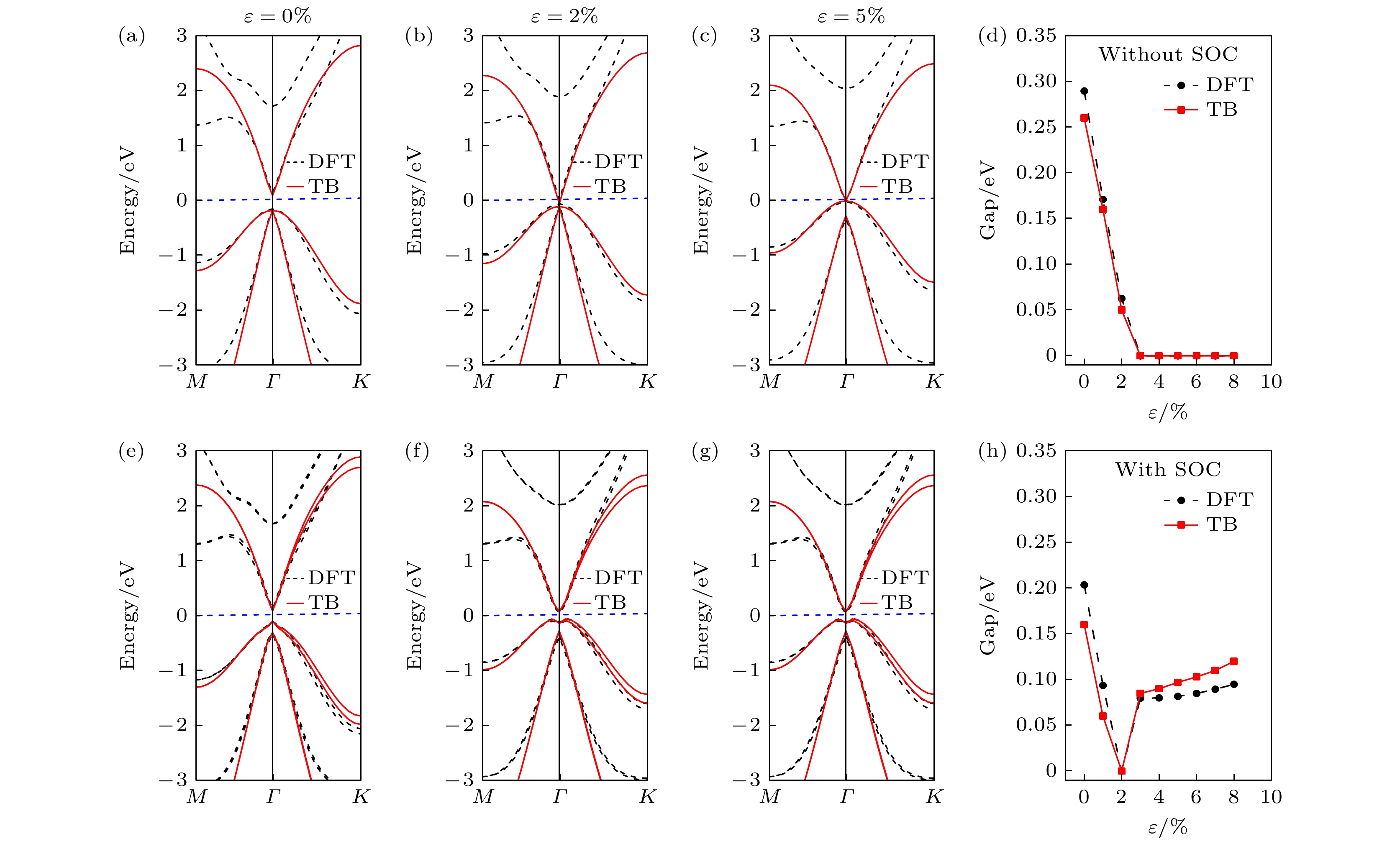
一般认为拓扑绝缘体对非磁性缺陷是高度免疫的, 但是在器件应用的介观尺度上还缺乏验证. 本文以SiSnF2单层条带为例, 研究了不同缺陷浓度和尺寸对拓扑绝缘体电子输运的影响. 第一性原理计算发现, SiSnF2在大于2%的拉伸应变下转变为拓扑绝缘体. 用遗传算法拟合了有效紧束缚模型的参数, 计算了拓扑绝缘体SiSnF2条带输运性质, 发现边缘态也可能被随机空位缺陷破坏. 对于长18.8 nm、宽8.2 nm的条带, 在没有缺陷时, 电流集中在条带边缘, 电导为拓扑边缘态的理想值2e2/h. 当缺陷浓度为1%时, 边缘电流已被明显扰动, 但背散射仍受到有效抑制, 电流绕过缺陷向前传输. 当浓度为5%时, 边缘电子经散射深入条带内部, 与另一边缘发生散射, 破坏了拓扑边缘态, 使电导降为0.6e2/h. 因此, 缺陷导致的由拓扑绝缘体到普通绝缘体的转变是渐变而不是突变. 研究发现了明显的输运量子尺寸效应, 增大条带宽度可减小边缘间电子散射, 增强拓扑边缘态的稳定性; 而增大长度会增大电子的局域性和边缘间电子散射, 降低拓扑边缘态的稳定性.It is generally believed that topological insulators are highly immune to non-magnetic defects, but there is still a lack of verification on a mesoscopic scale of device applications. We take SiSnF2 monolayer ribbons as an illustration to study the effects of defects and sizes on the electron transport in topological insulators. First-principles calculations show that SiSnF2 is transformed into a topological insulator under a tensile strain greater than 2%. The data of an effective tight-binding model are obtained by using a genetic algorithm to calculate the transport properties of the topological insulator SiSnF2 ribbons, and it is found that edge states can also be disrupted by random vacancy defects. For a ribbon with a length of 18.8 nm and a width of 8.2 nm, when it has no defects, the current is concentrated at its edge, and its conductance is an ideal value of the topological edge state, 2e2/h. When the defect concentration is 1%, the edge current is appreciably disturbed, but the backscattering is still effectively suppressed, and the current bypasses the defect and still goes forward. When the concentration is 5%, the edge electrons are scattered deep into the ribbon and scattered with the opposite edge, destroying the topological edge state and reducing the conductance to 0.6 e2/h. Therefore, the transformation from topological to normal insulator caused by defects happens gradually rather than suddenly. Found in this study is an obvious transport quantum size effect, i.e. increasing the ribbon width can reduce electron scattering between edges and enhance the stability of topological edge states; while increasing the length will increase electron localization and electron scattering between edges, reducing the stability of topological edge states.
-
Keywords:
- topological insulators /
- electron transport /
- defects /
- quantum size effects
-
ssσ spσ ppσ ppπ $ \varepsilon _{\text{s}}^{{\text{Si}}} $ $ \varepsilon _{\text{p}}^{{\text{Si}}} $ $ \varepsilon _{\text{s}}^{{\text{Sn}}} $ $ \varepsilon _{\text{p}}^{{\text{Sn}}} $ –1.461 2.18 2.341 –0.69 –6.84 5.07 –2.686 0.741 ssσA spσA ssσB spσB $ \varepsilon _{\text{s}}^{\text{A}} $ $ \varepsilon _{\text{s}}^{\text{B}} $ –4.87 5.15 –4.21 5.43 –1.84 –2.40 -
[1] [2] [3] [4] [5] [6] [7] [8] [9] [10] [11] [12] [13] [14] [15] [16] [17] [18] [19] [20] [21] [22] [23] [24] [25] [26] [27] [28] [29] [30] [31] [32] [33] [34] [35] [36] [37] [38] [39] [40] [41]
计量
- 文章访问数: 147
- PDF下载量: 2
- 被引次数: 0








下载: