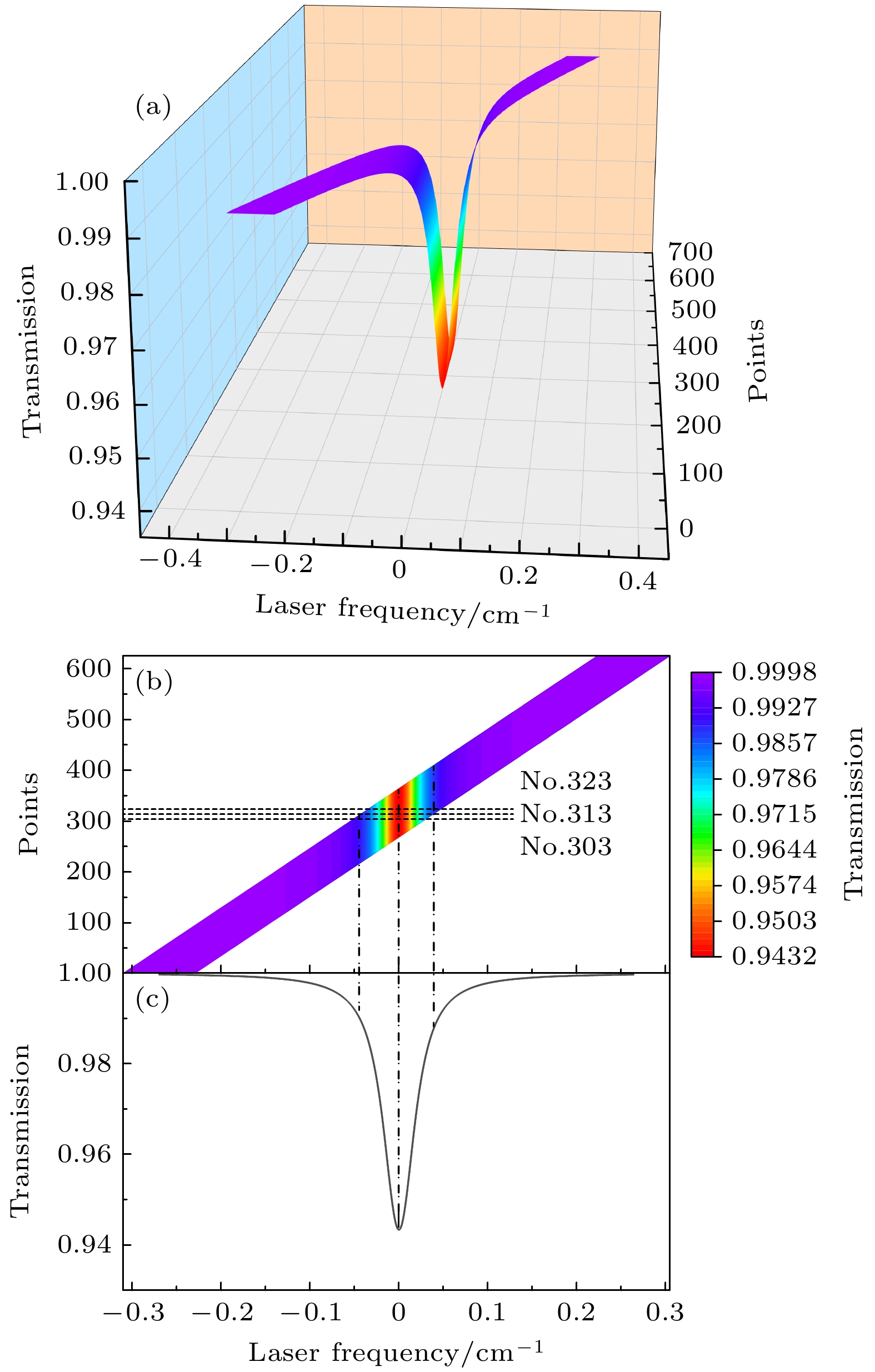
A high-precision, calibration-free method of reconstructing molecular absorbance profile is introduced in this work. The method employs a scanning wavelength modulation strategy that integrates low-frequency triangular wave scanning with high-frequency sine wave modulation. Specifically, it utilizes harmonic signals corresponding to the spectral lines at the scanning frequency to reconstruct transmittance information centered around that frequency, with the modulation depth used as the half-width frequency range. Combining low-frequency scanning, the transmittance information of the spectral lines can be obtained accurately. Finally, through interpolating and averaging the transmittance in overlapping frequency regions, the molecular absorbance profile is reconstructed. The main content of this paper is divided into three key parts: theoretical derivation of the harmonic reconstruction method, numerical simulation, and experimental validation. In the theoretical derivation, the instantaneous laser frequency is represented as a parameter “x” by using a cosine function and is subsequently substituted into the Fourier expansion of the laser transmittance. Then the transmittance function is reconstructed based on Chebyshev polynomials. In the numerical simulation, we illustrate the complete process of the harmonic reconstruction method, including harmonic detection, data matrix reconstruction, and the interpolation and average of data matrix slices finally obtain the transmittance function. Subsequently, through numerical simulations, the systematic errors in the reconstructed transmittance functions with different harmonic orders and modulation depths are analyzed and compared. The results show that the systematic error decreases with the harmonic order increasing and increases with the modulation depth increasing. In the experimental verification, in order to evaluate the measurement accuracy of this method, we reconstruct the absorbance profiles for different concentrations of CO2 by using the 6330.821 cm–1 spectral line. The standard deviation of the fitting residual of the absorbance profile is on the order of 10–5. The signal-to-noise ratios for the strong absorption and weak absorption, are 503 and 222, respectively. We conduct 3000 consecutive on-line measurements and compare the harmonic reconstruction method with both the direct absorption method and the second harmonic peak method. Statistical analyses are made regarding the standard deviations and Gaussian distributions of the deduced concentration results. These results indicate that the standard deviation from the harmonic reconstruction method is less than half of those from the direct absorption method and the second harmonic peak method, demonstrating significantly superior measurement stability. This method is expected to become a reliable new method to measure spectral line parameters with high accuracy and monitor weakly absorbing gas parameters online in complex industrial environments.