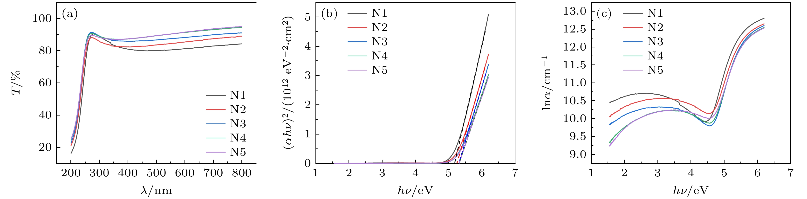
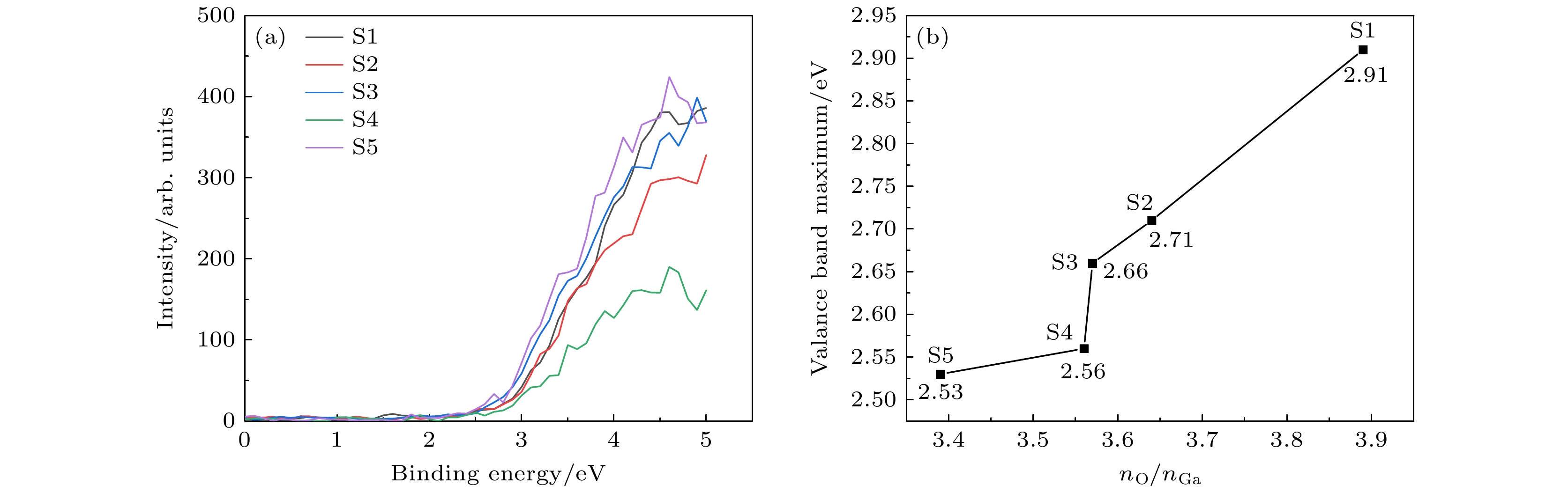
Amorphous gallium oxide (a-GaOx) exhibits excellent electrical conductivity, a wide bandgap, high breakdown field strength, high visible light transmittance, high sensitivity to specific ultraviolet wavelengths, low preparation temperatures, relatively simple processing, wide substrate applicability, and ease of obtaining high-quality thin films. These attributes make it a suitable candidate for applications in transparent electronic devices, ultraviolet detectors, high-power devices, and gas sensors. Presently, the research on a-GaOx remains limited, focusing primarily on films with an O/Ga ratio less than or equal to 1.5. Increasing the concentration of oxygen vacancies to enhance the conductivity of the material often leads to a reduction in its bandgap, which is undesirable for high-power applications. Variations in O/Ga in the films can affect the formation of chemical bonds and significantly influence the band structure. In this study, five groups of a-GaOx thin films with high oxygen-to-gallium ratios are successfully fabricated by increasing the gas flow rate at low sputtering power. The elemental compositions of the films are analyzed using energy dispersive spectroscopy (EDS), revealing the O/Ga ratio gradually decreasing from 3.89 to 3.39. Phase analysis by using X-ray diffraction (XRD) confirms the amorphous nature of the films. Optical properties are characterized using an ultraviolet-visible spectrophotometer (UV-Vis), indicating that the optical bandgap and the density of localized states gradually increase. X-ray photoelectron spectroscopy (XPS) is utilized to analyze the elemental compositions, chemical states, and valence band structures of the films, showing that the valence band maximum decreases and the content of Ga2O within the material increases. Subsequently, Au/a-GaOx/Ti/Au Schottky devices are fabricated under the same processing conditions. The I-V characteristics of these devices are measured using a Keithley 4200, revealing changes in the electron transport mechanism at the metal-semiconductor (MS) interface, with the gradual increase in electron affinity calculated. C-V characteristics are measured using a Keithley 590, and the donor concentration (density of localized states) at the interface is calculated to gradually increase. In summary, by controlling appropriate process parameters, it is possible to improve the conductivity of electronic devices while increasing the bandgap of a-GaOx, which is significant for high-power applications.