专题: 无序合金的序调控
编辑推荐
2025, 74 (13): 136101.
doi: 10.7498/aps.74.20250585
摘要 +
在现代电子通信、人工智能产业快速变革的浪潮中, 第3代半导体的规模化应用推动着高性能高频软磁材料需求的日益增长. 然而, 传统软磁材料的基本性能之间存在着复杂的权衡关系, 例如饱和磁化强度与矫顽力、磁导率与损耗、机械强度与矫顽力往往不能同时兼得. 非晶基软磁材料以内部不同尺度序结构作为关键功能基元, 催生了极其丰富的物理特性. 序调控是一种通过优化序结构本征特性、序构形式来提升性能的理念, 为突破软磁性能的矛盾关系开拓了新的设计维度. 本文首先介绍了软磁材料的发展历程, 然后阐述了序调控的科学理论基础, 综述了基于序调控工程创制高性能非晶基软磁材料的最新进展, 重点介绍短程序、中程序、非晶-纳米晶双相等影响宏观物性的关键序构形式对软磁性能的影响及其作用机制, 最后指出了面向未来高精尖产业前沿的新一代高频软磁材料发展方向.
编辑推荐
2025, 74 (13): 136401.
doi: 10.7498/aps.74.20250392
摘要 +
非晶合金高温流变行为是理解其结构演化与动力学行为的重要窗口, 阐明其动力学弛豫行为与流变行为的内秉性关联是理解非晶固体变形行为的重要研究内容之一. 本文基于动态力学分析仪从激活体积和缺陷演化动力学角度系统探究了三种La基非晶合金的高温流变行为与动力学弛豫特征的耦合机理. 在自由体积理论框架下通过应变率跳跃实验, 揭示了非晶合金的流变应力随温度和应变率变化的双曲正弦依赖关系, 建立了高温流变激活能与α弛豫过程的关联. 参考应变率与温度正相关, 反映非晶合金结构非均匀性对原子扩散速率的调控. 此外, β弛豫激活能与高温流变平均激活能呈相反趋势, 为β弛豫作为α弛豫前驱过程提供理论依据. 缺陷湮灭与生成速率的动态竞争主导了非晶合金的高温流变行为, 以动力学参量定量描述了非晶合金热力耦合变形特征. 研究结果为非晶合金高温变形机制的微观解释提供了实验数据与理论指导, 有利于优化其高温加工与成型工艺.
编辑推荐
2025, 74 (13): 138102.
doi: 10.7498/aps.74.20250518
摘要 +
高熵合金纤维因其优异的力学性能和稳定性, 在高科技领域具有广阔的应用前景. 然而, 该类材料强塑性不匹配的问题制约了其进一步应用, 虽然热处理可以进一步优化其力学性能, 但传统热处理方法对时间和能源的消耗较高, 且难以精准调控材料的组织, 易导致晶粒粗化. 本文采用电流处理技术调制微米级(直径~70 μm)冷拔态CoCrFeNi高熵合金纤维的性能, 采用电子背散射衍射、透射电子显微镜以及同步辐射等技术探讨了电流处理过程中的热效应与非热效应对材料组织结构和力学性能的影响, 建立了CoCrFeNi纤维再结晶形核和长大模型. 相比于传统热处理, 电流处理过程中电子风力和焦耳热效应的协同作用显著加快再结晶过程, 获得更细小且均匀的晶粒, 并有效降低位错密度, 进而获得更优异的力学性能. 电流处理可获得屈服强度为400—2033 MPa的纤维, 延伸率最高可达53%. 本文证实, 电流处理可作为优化高熵合金纤维组织结构及性能的有效手段, 为高性能金属纤维的制备及工程化应用提供理论支撑和工艺指导.
数据论文
编辑推荐
2025, 74 (13): 137101.
doi: 10.7498/aps.74.20250264
摘要 +
近年来, 基于第一性原理的新型高性能合金的设计开发受到了广泛关注. 然而, 在纳观尺度上, 关于Cu-Zr合金的结构设计及其热力学性质的研究鲜有报道. 本文基于CuZr2的晶体结构特点, 采用Cr原子掺杂的方法, 通过基于密度泛函理论的第一性原理计算, 设计优化了12种Cr掺杂CuZr2结构, 发现了6种力学及动力学稳定的掺杂结构模型. 通过对CuZr2及其动力学稳定的Cr掺杂结构的电子结构、弹性性质和硬度的计算研究发现: 所有的研究对象均表现为金属性质, CuZr2对外不显示磁性. 然而, Cr原子的掺入, 增加了基体的元素种类, 除Cr原子d轨道电子带来的自旋电子差异外, 掺入的Cr原子还会破坏基体内Zr原子p和d轨道上不同自旋方向电子的对称性分布, 使设计的6种Cr掺杂CuZr2结构表现为铁磁性质, 其磁矩在0.303—5.243μB之间变化. 此外, 研究发现Cr元素可以改善CuZr2的力学性质. 当采用Cr原子替代基体内Zr原子时, 可以提高材料的弹性模量和硬度, 而采用Cr原子替代基体内Cu原子时, 由于硬度的降低, 则可以改善材料的加工性能. 本文数据集可在科学数据银行数据库https://www.doi.org/10.57760/sciencedb.j00213.00122 中访问获取.
研究快讯
编辑推荐
2025, 74 (13): 133202.
doi: 10.7498/aps.74.20250617
摘要 +
利用数值模拟含时薛定谔方程的方法, 研究了氢原子在强激光场作用下产生的阈下高次谐波辐射. 在波长为608 nm激光作用下, 氢原子可以吸收5个光子, 由基态$\left|1{\mathrm{s}}\right\rangle$共振跃迁至激发态$\left|2{\mathrm{p}}\right\rangle$态; 氢原子也可以吸收更多光子发生电离, 某些连续态$\left|{\mathrm{c}}\right\rangle$在激光缀饰下能量和$\left|2{\mathrm{p}}\right\rangle$态能量相当. 随后发生的$\left|2{\mathrm{p}}\right\rangle \leftrightarrow \left|1{\mathrm{s}}\right\rangle$复合, 或$\left|{\mathrm{c}}\right\rangle \leftrightarrow \left|1{\mathrm{s}}\right\rangle$复合, 可辐射出能量相同的光子. 这两个复合路径相互干涉, 在第5次谐波中形成典型的法诺线形. 进一步研究发现, 该法诺线形依赖于激光强度. 本研究表明, 即便是在单电子体系中, 法诺干涉也可以存在, 并且可以通过控制激光参数改变法诺线形.
综述
编辑推荐
2025, 74 (13): 136103.
doi: 10.7498/aps.74.20250273
摘要 +
在空间核反应堆系统、深空探测器电源模块以及运载火箭推进装置等极端辐射环境中, 高压大功率器件展现出重要的应用价值. 碳化硅金属氧化物半导体场效应晶体管(SiC MOSFET)具备耐高压、耐高温和低导通损耗等优点, 能够使宇航电源的效率得到进一步提升. 因此, SiC功率MOSFET空间辐射效应和抗辐射加固技术迅速成为行业的研究热点. 首先, 本文回顾了SiC功率MOSFET器件的发展历程, 分析了从平面栅技术到沟槽栅技术的演变过程, 并对未来新型SiC功率MOSFET技术进行了展望. 其次, 针对SiC功率MOSFET在复杂空间环境下面临的辐射损伤问题, 着重梳理了目前国内外关于重离子辐照SiC功率MOSFET引起的单粒子烧毁与单粒子栅穿的相关研究成果. 最后, 基于SiC功率MOSFET单粒子辐射损伤机制分析, 总结了目前SiC功率MOSFET抗辐射加固技术的研究进展, 为研究SiC功率MOSFET单粒子效应损伤机制以及改进其抗辐射加固技术提供参考.
编辑推荐
2025, 74 (13): 137102.
doi: 10.7498/aps.74.20250431
摘要 +
稀土元素的原子结构特殊, 具有内层未成对4f轨道电子多、原子磁矩高、自旋轨道耦合作用强的性质, 故其电子能级极为丰富, 易形成多种价态、多种配位的化合物, 通常表现出特殊的磁学性质和丰富的磁畴结构, 成为高新技术产业发展的关键材料. 这类材料中复杂的磁结构形式、多样的磁耦合类型及多种直接或间接的磁交换作用, 为开发新型功能器件提供便利的同时, 也对基础研究提出了严峻挑战. 随着数据挖掘技术的快速发展, 大数据和人工智能的出现给研究人员提供了一个新的选择, 可以高效地分析大量实验和计算数据, 从而加速稀土磁性材料的研究与开发. 本文围绕稀土永磁材料、稀土磁致冷材料、稀土磁致伸缩材料等, 详细阐述了数据挖掘技术在其性能预测、成分与工艺优化、微观结构分析等方面的应用进展, 深入探讨了当前面临的挑战, 并对未来发展趋势进行展望, 为推动数据挖掘技术与稀土磁性材料研究的深度融合提供理论基础.
总论
2025, 74 (13): 130201.
doi: 10.7498/aps.74.20250362
摘要 +
热力学稳定性在先进材料设计中占据核心地位, 其决定了材料在服役条件下的结构完整性与性能持续性. 本研究利用由280569个密度泛函理论(DFT)计算得到的能量数据集, 采用随机森林(RF)和神经网络(NN)两种机器学习(ML)模型来预测稀土化合物的热力学相稳定性. 研究使用一系列不包含结构信息的综合特征描述符, 使其适用于由任意数量元素构成的材料. 经5折交叉验证测试, 两种模型在分类和回归任务中均展现出卓越性能. 它们不仅能够精准地将化合物划分为稳定或不稳定类别, 还能精确预测化合物的形成能. 此外, 利用训练完成的模型, 对稀土化合物La-Al和Ce-H的二元相图进行预测. 考虑到单一模型在预测某些化合物时可能存在局限性, 为提升模型的鲁棒性, 采用了一种集成学习策略. 通过协同组合RF和NN模型的预测结果, 集成学习方法在准确预测稀土化合物相图方面表现出色, 成功捕捉到了多个数据库中没有的亚稳相.
编辑推荐
2025, 74 (13): 130301.
doi: 10.7498/aps.74.20250075
摘要 +
基于Dicke模型引入非厄米原子-场耦合, 本文通过调节非线性原子-光子相互作用研究开放Dicke模型的量子相变和奇异点. 通过厄米算符进行相似变换, 然后对系统对角化得到有效的非厄米哈密顿量, 并利用自旋相干态变分法计算宏观量子态的能量泛函. 非厄米Dicke模型主要结果是: 系统超辐射相和相关量子相变完全消失, 出现了不稳定的非零光子数态; 在泵浦场产生的非线性原子-光子相互作用影响下, 系统的量子相变发生了显著变化; 能谱出现两个奇异点, 两个奇异点之间的能谱为复数, 而其他区域为纯实数; 红、蓝腔-泵浦场失谐调控下, 相图显示出丰富的量子相变. 随着原子-场耦合强度的增大, 系统出现从超辐射相到正常相的新奇反向量子相变, 不同于Dicke模型.
2025, 74 (13): 130302.
doi: 10.7498/aps.74.20241642
摘要 +
近年来, 量子通信得到快速的发展, 利用超纠缠态进行量子通信越来越广泛, 量子通信过程中大多使用的是最大超纠缠态, 而最大超纠缠态容易受到噪声的影响, 变成非最大超纠缠态, 将直接影响通信的质量. 因此, 本文提出利用线性光学元件对偏振-时间超纠缠W态浓缩的方案, 方案不需要借助辅助光子, 只需要用光学元件对接收的光子进行局部操作, 通过参数分裂法实现三光子偏振-时间超纠缠W态的浓缩, 此外方案还可以推广到N光子的超纠缠W态的浓缩. 本研究将为多方量子通信的远距离实现提供理论参考.
2025, 74 (13): 130501.
doi: 10.7498/aps.74.20241203
摘要 +
蜘蛛、螳螂等节肢动物能够在晃动的蛛网或树叶上保持身体的稳定性, 其类M形肢体结构的作用不可忽视. 受此启发, 本文提出一种基于节肢动物肢体结构的仿生M形低频隔振结构. 首先, 提出仿生M形低频隔振结构的设计方法, 并建立其动力学模型. 通过对其等效刚度、准零刚度范围等静态特性的对比分析, 发现仿生M形结构的非线性刚度能够有效拓宽准零刚度范围. 运用谐波平衡法进行近似求解, 得到其频率响应特性, 并分析其频率和幅值分岔动力学特性. 通过与经典三弹簧准零刚度结构对比, 发现M形仿生结构能够有效降低隔振频率, 并能降低隔振频带内的传递率. 最后, 研究了M形仿生结构的几何形状对其隔振性能的影响规律. 结果表明, 类似蜘蛛肢体的扁平状M形结构具有更低的隔振频率, 更好的低频隔振效果.
核物理学
编辑推荐
2025, 74 (13): 132501.
doi: 10.7498/aps.74.20250214
摘要 +
中子辐射俘获截面是核天体物理、核反应堆设计、核医学以及核技术应用等领域中所需的关键数据. 目前, 受制于实验技术上的困难, 缺少半衰期短至数年或更短核素的中子辐射俘获截面测量数据. 本文采用一种间接测量短寿命核素反应截面的方法——替代反应法, 在中国原子能科学研究院北京HI-13串列加速器上利用89Y(p, α)反应作为替代反应, 产生与短寿命核素中子辐射俘获85Sr(n, γ)反应相同的复合核86Sr*进行替代反应法的实验研究. 通过使用硅探测器组成的望远镜阵列与HPGe探测器阵列符合测量, 得到了与特定能量角度的出射α粒子符合γ射线能谱, 从而获得了不同激发能下复合核的γ衰变的概率. 结合使用UNF唯象光学模型计算的复合核形成截面, 得到了中子能量范围En = 0.02—1.22 MeV的85Sr中子辐射俘获截面. 并且, 基于TALYS计算的自旋宇称分布, 建立了修正模型用于补偿直接反应和替代反应中自旋-宇称布居的差异, 改进了基于Weisskopf-Ewing近似下的间接测量结果.
2025, 74 (13): 132502.
doi: 10.7498/aps.74.20250239
摘要 +
基于量子分子动力学模型, 以核子轫致辐射光子为探针, 系统研究了高动量分布(HMT)对核反应系统的影响, 并探讨了这种影响与入射能量、碰撞参数及同位旋相关核子-核子碰撞截面的关系. 研究结果表明: 在入射能量为50 MeV/u时, 从轻到重的反应系统, 含HMT的系统在高能区的光子密度均显著高于无HMT的系统, 而在低能区两者差异不明显. 此外, 在对心碰撞中光子能量改变现象随入射能量的增加而增强, 并在E = 150 MeV/u时达到峰值. 这一由HMT引起的能量移动现象在碰撞参数b = 0—6 fm范围内普遍存在. 进一步分析表明, 同位旋相关核子-核子碰撞截面的引入会改变系统的碰撞概率, 而HMT通过影响核子间相互作用进一步调制了这一过程. 综上所述, HMT对核反应系统具有重要影响, 其效应与入射能量和同位旋相关核子-核子碰撞截面密切相关.
原子和分子物理学
2025, 74 (13): 133201.
doi: 10.7498/aps.74.20241504
摘要 +
外场驱动的三能级量子系统能够利用受激拉曼非绝热通道实现量子态相干布居数转移. 本文在无旋转波近似下, 利用$SU(3)$李代数方法逆向设计了可严格求解的三能级系统, 研究了系统的动力学行为. 结果表明, 通过设定控制参数相应的边界条件, 无论是在理想演化下, 还是在考虑脉冲截断和中间态衰变的实际演化中, 都可以实现高保真度的布居数转移. 与现有的其他非绝热量子调控方案相比, 本方案在非绝热动力学过程中不会产生Rabi振荡和脉冲的奇异性.
电磁学、光学、声学、传热学、经典力学和流体动力学
2025, 74 (13): 134201.
doi: 10.7498/aps.74.20250063
摘要 +
腔光力学质量传感器中分辨率是重要指标之一. 本文提出了一个基于连续域束缚态(bound states in the continuum, BIC)的超高分辨率质量传感方案. 该方案通过将光力学腔与辅助光学腔结合, 构建双腔光力系统, 利用BIC模式的高品质因子特性实现质量分辨率的显著提升. 在蓝失谐情况下, 该系统展现出类双光力诱导透明的现象, 相应的中间窄峰则表现为增益峰, 其线宽在光力协同性等于双光腔协同性加1时变为0, 对应形成BIC. 双腔光力系统中间透射峰的频率偏移量与振子频移成线性关系, 能实现对振子上吸附物的质量测量, 并且在BIC条件下其分辨率能达到ag量级. 此外, 对中间透射峰本征值的虚部和实部及其灵敏度增加因子的研究表明振子的频移对中间透射峰本征值的影响很小, 从而揭示出基于BIC的超高分辨率质量传感方案在频移影响下仍保持超高分辨率和精确的质量测量.
编辑推荐
2025, 74 (13): 134202.
doi: 10.7498/aps.74.20250418
摘要 +
在考虑辐致损耗的条件下, 提出了单频单模光纤放大器功率极限理论模型, 并基于该模型分析了辐致损耗对于单频单模掺镱光纤放大器功率提升的影响. 结果表明辐致损耗不仅会导致放大器功率极限的迅速下降, 还使得功率极限仅能够在特定光纤直径和光纤长度下实现. 通过解析推导功率极限表达式, 发现辐致损耗的影响与无辐照条件下的光纤最佳长度有关, 缩小无辐照条件下的光纤最佳长度可以弱化辐致损耗对于功率极限的影响. 研究还表明针对特定目标功率, 辐致损耗的增加, 会导致光纤直径和光纤长度的选取范围缩小; 不过, 泵浦光亮度和吸收系数的提升, 有利于拓宽光纤长度和光纤直径的取值范围, 对于辐致损耗的影响有一定的抑制效果. 本文的理论模型及研究结果对于辐照环境中单频单模光纤放大器的研究及应用具有指导意义.
2025, 74 (13): 134203.
doi: 10.7498/aps.74.20250129
摘要 +
本文针对一类具有(1+1)维非线性项的薛定谔方程对称势函数的反问题进行了深入研究. 在研究过程中, 设定部分边界处的波函数为已知条件, 而将势函数的数值作为未知量进行求解. 通过采用三层差分格式, 将原始的非线性方程成功转化为实数域上的非线性方程组. 在此基础上, 本文运用非精确牛顿法对转化后的非线性方程组进行了有效的求解. 研究结果充分证实了该方法在解决此类反问题方面的高效性, 为相关领域的数值求解提供了一种创新的思路和有力的工具.
编辑推荐
2025, 74 (13): 134204.
doi: 10.7498/aps.74.20250036
摘要 +
时间晶体是一种特殊的物质状态, 是指多体系统在内部自组织的作用下, 自发产生时间周期性振荡的现象. 近期, 无需外部周期性驱动的连续时间晶体已在耗散固体材料中实现, 并呈现出长时间稳定振荡的特性. 然而, 在多体系统中, 连续时间晶体的系统参数, 包括原子间相互作用强度、均匀性、频率失谐以及驱动场强度等, 均呈现高度的复杂性和关联性. 这些参数对连续时间晶体振荡周期形成的物理机制和耦合效应的影响尚不明确. 本文基于掺铒晶体中构建的连续时间晶体, 通过理论分析揭示了时间晶体振荡周期与驱动光场强度、偶极-偶极相互作用、原子间跃迁强度差异以及耗散系数之间的内在关联. 研究表明, 即便在这些参数动态变化引起的扰动下, 时间晶体的振荡周期仍展现出显著的鲁棒性.
2025, 74 (13): 134301.
doi: 10.7498/aps.74.20250294
摘要 +
为了实现单个压电超声振动系统的多维超声辐射、有效增大系统的超声辐射面积, 本文提出了一种新型纵弯正交耦合压电超声振动系统. 其由纵向正交复合振动夹心式压电超声换能器、纵向振动圆锥形变幅杆和弯曲振动金属圆盘组成. 基于耦合振动理论和力电类比原理建立了振动系统的机电等效电路模型, 推导了其共振、反共振频率方程. 通过等效电路法、有限元仿真以及实验测试对振动系统的纵弯耦合振动特性进行研究, 结果表明该振动系统可有效实现二维四向超声辐射, 为该类新型超声振动系统的工程设计提供了理论基础. 本文成果有望在超声凝聚、超声除雾等领域获得广泛应用.
2025, 74 (13): 134501.
doi: 10.7498/aps.74.20250231
摘要 +
颗粒物质广泛存在于自然界与工业生产当中, 研究颗粒堆积结构对理解其物理性质具有重要意义. 近年来, 颗粒形状对堆积结构的影响备受关注. 非球形颗粒因形状复杂, 易相互嵌合形成稳定结构, 从而具有显著的几何内聚力, 对颗粒堆积的稳定性和孔隙率等特性产生重要影响. 为探索凹形颗粒体系的微观堆积构型, 本研究使用由3个相互正交球棍组成的“六足体”形状颗粒, 基于X射线断层扫描技术研究其在外部振动驱动下致密化过程中堆积结构的演化. 结果显示, “六足体”颗粒堆积体积分数低于硬球体系. 同时, 与硬球体系结果类似, 其在不同振动加速度下的致密化曲线可用Kohlrausch-Williams-Watt函数拟合, 且稳态堆积的体积分数与平均接触数随振动强度的减小而增大. 针对接触点统计分析的结果表明, “六足体”颗粒压实过程由接触形式调整主导, 使颗粒相互锁定程度增加. 本研究揭示了非球形颗粒堆积在压实过程中的结构演化特征, 为理解凹形颗粒堆积的独特力学与动力学性质提供了重要的实验支持.
2025, 74 (13): 134502.
doi: 10.7498/aps.74.20250232
摘要 +
颗粒物质的堆积行为及其力学性质对工程应用至关重要. 尽管单分散球体堆积研究较为成熟, 但实际体系普遍存在粒径多分散性. 双分散系统作为多分散体系的简化模型, 其粒径与成分比的调控机制尚未完全阐明, 尤其在摩擦效应和制备历史影响方面缺乏系统性分析, 且三维实验数据匮乏. 本研究通过振动实验结合X射线断层扫描技术, 系统研究了双分散硬球体系的堆积特性, 重点探究粒径分布和振动强度对体积分数及微观结构的调控规律. 实验发现, 随振动强度增大, 体系稳态体积分数逐渐降低, 不同成分比体系均呈现类似趋势; 动力学弛豫时间随振动强度呈指数衰减, 且与粒径分布无关; Voronoi元胞分析表明双分散体系中各组分局部体积分布与单分散体系高度相似, 降低振动强度可提升体系密度并减小体积涨落. 此外, 接触数与体积分数的关系遵循单分散体系规律, 且受振动强度和颗粒摩擦特性共同调控. 本研究揭示了多分散颗粒体系堆积行为的普适性特征, 为建立颗粒物质统计理论和发展工程应用提供了关键实验依据, 特别在摩擦效应与动力学协同机制方面取得重要突破.
2025, 74 (13): 134701.
doi: 10.7498/aps.74.20250474
摘要 +
液滴微流控技术在化学分析、生物检测及材料制备等领域具有巨大的应用潜力, 被动生成液滴方法主要依赖微通道几何特性与剪切流动就能够快速实现液滴生成. 其中, 十字微通道作为典型结构, 其流体参数和对称性差异对液滴生成过程的影响尚未得到充分研究. 因此, 本文采用格子Boltzmann方法开展对称与非对称十字微通道内的液滴生成过程的数值模拟研究, 系统地分析了毛细数、黏度比及流道对称性的作用机制. 本文首先通过平板剪切流动下液滴变形和理想固体表面静止液滴这两个经典算例验证了数值模型的计算可靠性, 然后围绕对称十字微通道内水相流体“界面浸入-剪切断裂-液滴迁移和融合”三个流动阶段展开研究, 分析了毛细数和两相黏度比的协同作用机制. 在此基础上, 进一步量化了流道对称性对十字微通道内液滴生成过程的影响. 相关研究结果为微流道设计和液滴微流控的流体参数调控提供了理论依据, 并进一步推动液滴微流控技术的应用和发展.
气体、等离子体和放电物理
2025, 74 (13): 135201.
doi: 10.7498/aps.74.20250208
摘要 +
填充床介质阻挡放电通常采用某一种材料进行填充以实现等离子体催化反应, 而利用不同材料混合填充可以实现更复杂的化学反应. 为了深入理解混合填充放电的物理机制, 本文基于粒子云网格/蒙特卡罗碰撞(PIC/MCC)模型对其动力学行为进行研究. 结果表明, 流光最先在高介电常数(εr)的介质柱底部产生, 并沿着低εr介质柱缝隙向下传播. 当流光传播到下介质板后, 该放电转化为体放电. 随后, 在上介质板附近又产生一个新的流光, 并沿着高εr介质柱缝隙向下传播. 研究发现, 电子和正离子的数量随时间先增加, 在0.8 ns后电子数随时间减少, 但正离子数几乎保持不变. 在此过程中负离子数随时间单调增加. 此外, 介质柱缝隙中平均电子密度($ {\bar{n}}_{{\mathrm{e}}} $)和平均电子温度($ {\bar{T}}_{{\mathrm{e}}} $)随气压升高均减小. 它们随着电压幅值或介质柱半径的增大而增大. 随工作气体中氮气含量的增大, $ {\bar{n}}_{{\mathrm{e}}} $先减小后增大, 而$ {\bar{T}}_{{\mathrm{e}}} $单调增大. 这些研究结果对优化反应器设计, 进一步提升填充床介质阻挡放电的反应效率具有重要意义.
编辑推荐
2025, 74 (13): 135202.
doi: 10.7498/aps.74.20250144
摘要 +
超强激光与物质相互作用产生的超热电子在物质中输运产生Kα特征线辐射和轫致辐射. Kα辐射的对比度, 即Kα特征线谱与其附近轫致辐射连续谱的强度比, 依赖于轫致辐射的方向性, 与超热电子的能量和传输相关. 本文采用蒙特卡罗模拟研究了对超热电子束有准直作用的轴向匀强磁场和高斯分布环形磁场提高铜Kα辐射对比度的可能性. 模拟和分析表明, 轴向匀强磁场无法增强轫致辐射的方向性, 不能有效提高Kα辐射的对比度. 对于高斯分布环形磁场, 当入射电子能谱具有玻尔兹曼分布时, 由于含有大量低能电子且它们的轫致辐射方向性较差, Kα辐射对比度的增幅不大; 而截掉低能部分的玻尔兹曼能谱电子束或能量较高的单能电子束入射时, 高斯分布环形磁场能大幅提高沿入射电子束后向的Kα辐射对比度. 对于能量为200—1000 keV范围的超热电子, 峰值为100 T左右的环形磁场有利于提高Kα辐射的对比度.
2025, 74 (13): 135203.
doi: 10.7498/aps.74.20250341
摘要 +
采用二维流体模型, 研究了不同的超低频电压、二次电子发射系数和极板间隙下, 二次电子对双频容性耦合等离子体特性的影响, 其中超低频源频率为400 kHz. 首先, 采用依赖离子能量的二次电子发射系数, 发现电子密度随超低频电压呈现出先降低后增高的趋势. 这是由于一方面, 较高的超低频电压会压缩有效放电体积; 另一方面, 极板发射的二次电子可以获得更多的能量, 进而增强电离过程. 通过与固定的二次电子发射系数的结果相比, 发现在较低的超低频电压下, 采用依赖能量的二次电子发射系数的结果接近于固定值为0.1的情况; 随着超低频电压的增加, 当采用依赖能量的发射系数时, 密度涨幅超过固定值为0.2的结果, 说明超低频电压对二次电子效应的增强效果并不是线性的. 最后, 对比了不同极板间隙下的等离子体特性, 发现随着极板间隙从2 cm增加到4 cm, 电离率的峰值有所下降, 但电子密度显著地增加, 等离子体的径向均匀性有所改善. 此外, 随着超低频电压的升高, 极板间隙对密度的影响越显著. 本文的研究结果有助于深入地理解超低频电源参数对于二次电子效应的影响, 并为等离子体工艺的优化提供一定的指导.
2025, 74 (13): 135204.
doi: 10.7498/aps.74.20250450
摘要 +
圆形截面等离子体是最基本的托卡马克等离子体形态, 是磁约束聚变实验研究的基础位形. 本文基于HL-2A装置限制器位形放电实验, 研究了托卡马克圆形截面等离子磁流体动力学(MHD)平衡和MHD不稳定性. 研究表明, 当$ {q}_{0}=0.95 $时, $ m/n=1/1 $内扭曲模总是不稳定的. 轴安全因子$ {q}_{0} $和边缘安全因子$ {q}_{{\mathrm{a}}} $的组合决定了等离子体的平衡位形, 也影响着平衡的MHD稳定性, 但其不稳定性增长率与比压($ \beta $)的大小相关联. 在$ {q}_{{\mathrm{a}}} > 2 $和$ {q}_{0} $稍大于1的条件下, 可以容易实现内扭曲模和表面扭曲模的稳定. 但当$ {q}_{0} $超过1较多时, 等离子体又变得不稳定, 且等离子体(扭曲)不稳定性强度随$ {q}_{0} $的继续增高而增强. 随着极向比压($ {\beta }_{{\mathrm{p}}} $)的增加, MHD不稳定性会增强, MHD平衡位形横向拉长, Shafranov位移增加, 这反过来又有抑制不稳定性的作用. 计算发现, HL-2A圆形截面等离子体的运行比压极限约为$ {\beta }_{{\mathrm{N}}}^{{\mathrm{c}}}\cong 2.0. $ 较高的$ {q}_{0} $不利于MHD稳定性, 引起比压极限降低. 当$ {q}_{0}=1.3 $时, 得到最大$ {\beta }_{{\mathrm{N}}}\approx 1.8 $. 最后, 基于现有的圆形横截面等离子体, 讨论了影响运行$ \beta $的一些关键因素以及可期实现的高比压和理想比压极限之间的关系问题.
编辑推荐
2025, 74 (13): 135205.
doi: 10.7498/aps.74.20250381
摘要 +
本文首次针对HL-3装置, 采用机器学习方法预测偏滤器靶板等离子体参数, 为未来快速预测大型聚变堆偏滤器热负荷奠定基础. 将机器学习应用于边缘等离子体物理中, 可以显著缩短大型边缘程序SOLPS-ITER模拟所需的时间, 从几周、几个月甚至半年缩短至毫秒级. 研究发现, 通过增加内外偏滤器区的辐射损失作为模型的输入参数, 能够明显提高预测精度(超过90%), 同时增强训练模型的适用性, 可以同时精确预测内外偏滤器靶板热流, 并验证了该特征参数与偏滤器靶板物理量之间的依赖关系. 该工作不仅为偏滤器物理研究提供了有效的方法, 也为未来跨装置预测偏滤器靶板参数提供了坚实的基础.
2025, 74 (13): 135206.
doi: 10.7498/aps.74.20250384
摘要 +
钨杂质聚芯控制对于托卡马克的稳态运行十分重要, 本文主要采用杂质输运程序STRAHL模拟研究了新经典输运对钨杂质在芯部聚集的影响. 针对HL-3装置未来采用钨偏滤器、在氩气注入放电情况开展研究, 其中边缘和芯部背景等离子体参数分别由SOLPS-ITER及OMFIT模拟获得. 边界区域的钨杂质输运使用IMPEDGE程序进行模拟, 并同STRAHL的结果进行对比, 以确保芯边杂质分布的一致性和模拟结果的准确性, 从而得到钨杂质从边界区域至芯部的完整分布. 在此基础上, 分别模拟了有无新经典对流情况下钨杂质的输运. 模拟结果表明, 无新经典对流时, 湍流输运主导杂质输运, 其方向指向内, 会导致杂质在芯部聚集. 加入新经典对流后, 其方向指向外, 其在一定程度上抵消了向内的湍流对流, 从而显著降低芯部钨杂质密度. 其中区域$ \rho =0.72—0.90 $的新经典对流对芯部杂质密度下降起到更为重要的作用. 进一步分析新经典对流各分量, 研究表明Pfirsche-Schlüter (PS)分量主导新经典对流项, 其主要是由离子温度梯度项驱动. 因此, 实验上可以通过加热等方式, 增强离子温度梯度, 抑制杂质聚芯.
2025, 74 (13): 135207.
doi: 10.7498/aps.74.20250317
摘要 +
针对电力设备局部放电(PD)超声波检测中存在的时间-空域特征解耦、硬件成本高及计算量大的技术瓶颈, 提出基于核主成分分析(KPCA)伪白化的改进型非圆FastICA (mnc-FastICA)提取TDOA/DOA参数的混合定位方法. 该方法通过时间-空域特征联合提取与智能优化机制, 实现了小规模传感器阵列下的高精度定位. 本文首先构建KPCA伪白化预处理框架, 利用多项式核函数映射信号非线性升维再降维, 在保留TDOA与DOA特征关联性的同时抑制环境噪声; 其次通过mnc-FastICA算法盲分离超声信号后, 联合广义互相关法GCC与阵列流型解析技术同步提取TDOA/DOA参数; 最后建立融合双参数的最大似然估计模型, 并引入非洲秃鹫优化算法实现全局最优解快速收敛. 实验表明, 在仅配置2个正交阵列(共8个传感器)的小规模硬件架构下, 本方法TDOA估计误差降至2.34%, DOA估计精度优于2°, 定位误差达1.54 cm. 该方法有效解决了PD检测中时间-空域特征联合、硬件成本与定位精度的矛盾, 为电力设备状态监测提供新方案 .
2025, 74 (13): 135208.
doi: 10.7498/aps.74.20250279
摘要 +
在光伏和平板显示等领域, 通常采用大面积容性耦合腔室进行等离子体增强化学气相沉积. 随着腔室尺寸增大和驱动频率提高, 受驻波效应影响, 驱动电极电势幅值分布不均匀, 从而导致沉积薄膜不均匀的问题日益凸显. 针对此问题, 本文通过流体模型与传输线模型耦合, 以光伏硅基薄膜沉积中常用的硅烷氢气混合气体为研究对象, 考虑电子-中性粒子弹性碰撞, 研究了气压、气体比例和功率等参数对表面波传播以及驱动电极电势幅值分布的影响. 模拟结果与实际工艺腔室中薄膜沉积实验结果进行了对照, 验证了驱动电极电势幅值分布与薄膜厚度分布之间的对应关系. 研究表明, 在功率较低硅烷含量较高时, 表面波的径向衰减十分显著, 从而成为影响驱动电势幅值分布不均匀的主导因素. 本文还研究了调整电源馈入位置和采用多个电源馈入点来优化电势幅值分布均匀性的方法, 受表面波波长限制, 这两种方法效果有限. 而采用曲面电极能显著提升电势幅值分布的均匀性, 然而对参数设定和加工精度要求较高. 本研究不仅深化了对驻波效应作用机制的理解, 还为工业生产中解决驻波效应对薄膜均匀性的影响提供理论支撑与指导, 有望推动相关产业技术革新.
凝聚物质:结构、力学和热学性质
2025, 74 (13): 136102.
doi: 10.7498/aps.74.20250378
摘要 +
三维(3D)石墨烯材料具有优异的电子发射性能与机械稳定性, 在高电流密度场发射器件领域展现出显著优势. 本文通过飞秒激光一步法原位制备氧化铜修饰三维石墨烯复合材料(LIG/CuO), 实现了软木碳化与铜氧化的同步调控. 利用铜盐浸润与抗坏血酸还原构建浅层富铜前驱体, 经激光辐照同步诱导纤维素碳化为少层石墨烯和Cu向CuO转变, 形成CuO纳米颗粒(30—80 nm)包覆的微晶石墨烯三维纤维网络. 该结构展现出卓越场发射性能, 制备的纯LIG阈值电场值约为2.12 V/μm, 场增强因子约8223; 优化的CuO 负载量后, LIG/CuO-5阈值电场值减至1.57 V/μm, 场增强因子达~8823, 并在2.89 V/μm下实现了22.71 mA/cm2超高电流密度的电子发射. 密度泛函理论(DFT)计算揭示异质结界面电子从CuO向石墨烯转移, 使石墨烯功函数从4.833 eV降至LIG/CuO异质结的4.677 eV, 同时CuO表面能带弯曲降低了隧穿势垒. 此外, CuO纳米颗粒的局域电场增强效应与优化分布密度协同使有效发射点密度提升.
2025, 74 (13): 136801.
doi: 10.7498/aps.74.20250357
摘要 +
通过构建一个包含温度场、浓度场和远场来流的数学模型, 运用多重变量展开法与匹配渐近展开法, 推导出胞晶界面扰动振幅变化率的色散关系及界面形态量子化条件, 分析了远场来流作用下定向凝固中深胞晶生长的稳定性, 并揭示了远场来流对不稳定区域大小的影响. 研究结果表明, 在考虑了远场来流的定向凝固中, 深胞晶生长界面形态有两种整体不稳定性机制: 整体振荡(GTW)不稳定性, 其中性模式产生强振荡的枝晶结构; 低频(LF)不稳定性, 其中性模式产生弱振荡的胞晶结构. 通过稳定性分析发现, 在远场来流的影响下, 深胞晶的界面稳定性取决于临界稳定性参数, 而该参数随着流动强度的增强而减小, 整体振荡不稳定性的稳定区域逐渐扩大.
凝聚物质:电子结构、电学、磁学和光学性质
2025, 74 (13): 137103.
doi: 10.7498/aps.74.20241571
摘要 +
非晶氧化镓(a-GaOx)具有较宽的带隙、大击穿场强、高可见光透过率、对特定波长的紫外光敏感、制备温度低、工艺较为简单、衬底适用范围广及易获得高质量薄膜等特点, 一般用于制备透明电子器件、紫外探测器, 大功率器件以及气体传感器. 目前对于a-GaOx的研究较少且集中于氧镓化学计量比(O/Ga比)小于等于1.5的薄膜. 薄膜中的O/Ga比的变化会影响其化学键的形成, 并对能带结构产生较大影响, 本文通过控制合适的工艺参数, 制备了O/Ga比从3.89—3.39呈梯度变化的薄膜, 并对其能带结构和MS界面电子输运机制进行研究, 发现其光学带隙和局域态浓度逐渐增大, 其MS界面IV特性从肖特基整流特性逐渐向欧姆特性转变. 结果表明, 氧原子比例增大会使其价带顶升高, 并且过量的氧原子会与镓原子形成Ga2O, 使其局域态浓度增大, 导致其导带底降低以及施主浓度增大, 从而改变MS界面的电子输运机制.
2025, 74 (13): 137201.
doi: 10.7498/aps.74.20250248
摘要 +
高能电子引发的介质深层充放电效应, 是空间环境诱发地球同步轨道及中地球轨道航天器故障的重要原因之一. 地面模拟试验评估星用介质在轨深层充放电性能至关重要, 鉴于试验设备通常具有一定的局限性, 需开展对模拟试验评估的有效性进行分析. 本文介绍了介质深层充电的关键物理模型, 利用DICTAT程序, 仿真分析在相同的地球同步轨道应用遭遇的电子束流强度量级下, 锶源衰变电子、单能电子与地球同步轨道环境电子辐照聚四氟乙烯介质, 在舱表、舱内和单机内的3种不同屏蔽构型, 及不同介质厚度下的充电效果差异. 结果表明, 不同辐照条件下, 介质中沉积电子通量和介质接地处电子通量的差异是影响地球同步轨道充电效果的关键因素; 锶源可较有效模拟舱表和舱内介质的充电效果; 0.5 MeV单能束可较有效模拟舱表介质的充电效果. 为增强试验评估有效性, 给出了不同屏蔽下的试验束流条件建议.
编辑推荐
2025, 74 (13): 137202.
doi: 10.7498/aps.74.20250295
摘要 +
Janus过渡金属硫族化物单分子层具有独特的晶体结构和物理化学性质, 在微纳尺度电子器件及热电转换领域具有巨大的应用潜力. 深入探索其热输运和热电性能对于实际应用至关重要. 本文采用基于密度泛函理论的第一性原理计算, 研究了拉伸应变对Janus过渡金属硫族化合物单分子层(PtSSe, PtTeSe, MoSSe, MoTeSe, WSSe和WTeSe)声子热输运性能和热电性能的影响. 对于热输运性能, 在0—10%的拉伸应变范围内, PtSSe, MoSSe和WSSe单分子层的晶格热导率单调减小; PtTeSe, MoTeSe和WTeSe单分子层的晶格热导率先增大后减小. 通过对声子模层面的深入分析, 发现声子寿命是影响晶格热导率在拉伸应变下变化的主导因素. 对于热电性能, 本研究发现PtTeSe单分子层表现出极佳的热电性能, 室温下其热电优值为0.91, 在10%的拉伸应变下, 热电优值达1.31. 700 K下, p型PtTeSe单分子层的热电优值高达3.96, n型PtTeSe单分子层的热电优值高达2.38. 本研究表明PtTeSe单分子层是具有潜力的热电材料, 应变工程是调控Janus过渡金属硫族化物单分子层热输运和热电性能的有效策略.
2025, 74 (13): 137203.
doi: 10.7498/aps.74.20250186
摘要 +
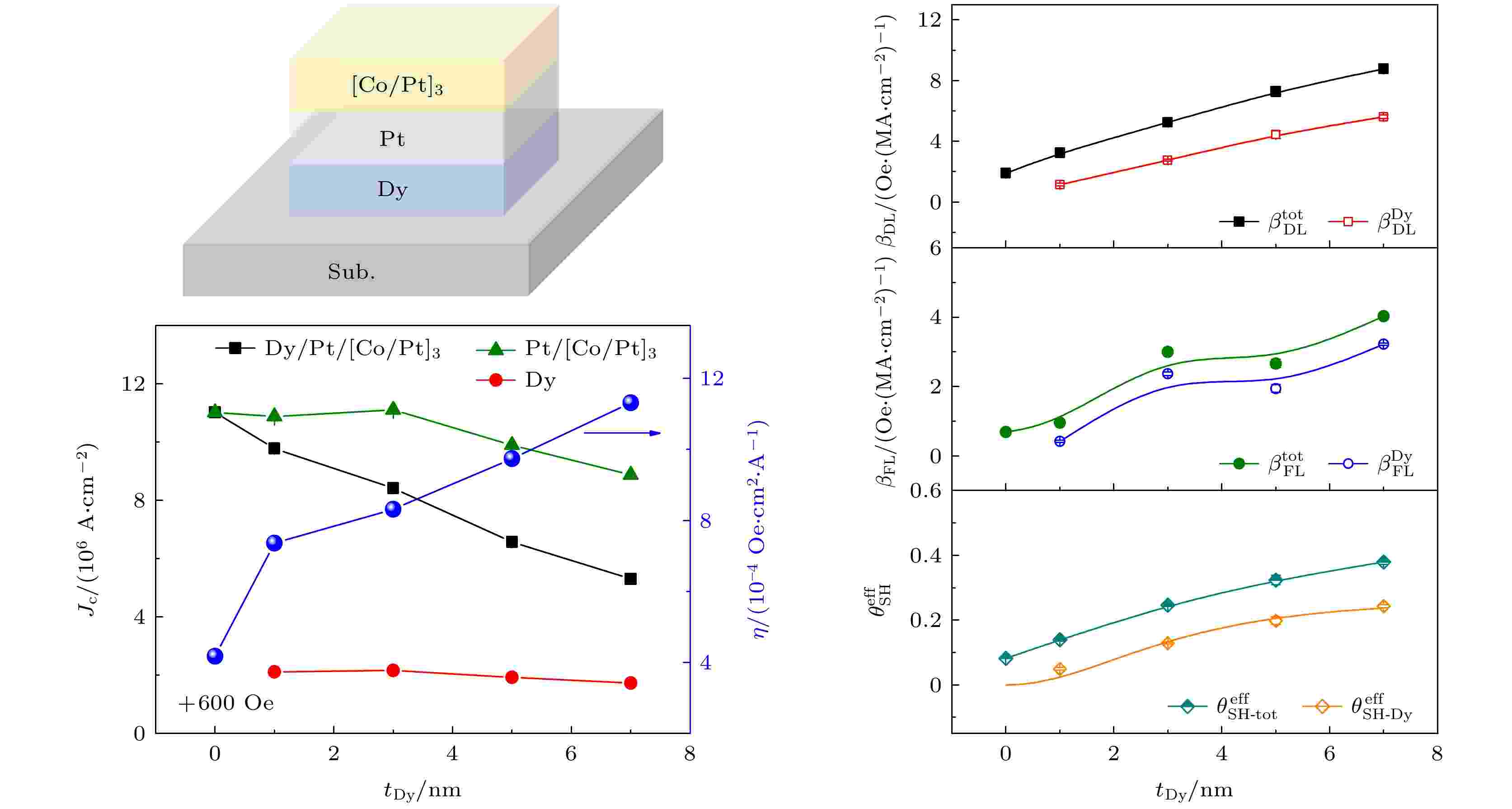
具有强自旋轨道耦合(SOC)效应的稀土金属因其可以产生自旋霍尔矩有望在低功耗磁信息存储、逻辑运算和神经元模拟器件中发挥潜在作用. 本文选用重稀土金属镝(Dy)作为自旋源层, [Co/Pt]3作为磁性层构建Dy/Pt/[Co/Pt]3垂直磁化多层膜, 探究了不同Dy层厚度对体系自旋轨道矩(SOT)效率以及SOT驱动磁矩翻转的影响规律. 利用谐波锁相技术分析得到稀土金属Dy的内禀自旋霍尔角为0.260±0.039, 自旋扩散长度为(2.234±0.383) nm, 表明Dy可以作为理想的自旋源材料. 此外, 基于体系类阻尼SOT效率的有效提升, 临界翻转电流密度随Dy层厚度增加而逐渐降低, 最低约为5.3×106 A/cm2. 以上研究结果证实稀土金属Dy存在强的自旋霍尔效应, 为设计低功耗SOT基自旋电子器件提供了有效路径.
2025, 74 (13): 137401.
doi: 10.7498/aps.74.20250180
摘要 +
近年来, 高压下的富氢化合物被认为是室温超导体的最佳候选体系之一, 如何降低富氢化合物稳定所需压力并保持其优异超导电性是目前该领域重要的科学问题. 研究利用第一性原理计算方法探索了电子及空穴掺杂对三元氢化物$ Pm\bar 3m $(CaYH12)动力学稳定性和超导电性的调控作用. 结果表明, 空穴掺杂可在晶格中产生“化学预压缩”效应, 消除其在较低压力下的虚频声子, 使其在较低压力下保持动力学稳定. 当空穴掺杂浓度达到1.1 e/cell时, $ Pm\bar 3m $(CaYH12)的动力学稳定压力由180 GPa降至70 GPa, 且同时可以保持约194 K的超导转变温度. 由此可见, 空穴掺杂是一种实现$ Pm\bar 3m $(CaYH12)超导电性优化(低稳定压力、高温超导)的有效策略. 本工作为三元氢化物在较低压力下实现高温超导提供了新途径, 并为相关实验研究提供了理论支撑.
编辑推荐
2025, 74 (13): 137501.
doi: 10.7498/aps.74.20250346
摘要 +
轻金属材料Cr具有较大的轨道霍尔电导, 并且不依赖强自旋-轨道耦合即可实现高效的电荷流-轨道流转换, 这些优点在自旋电子领域具有重要的应用前景, 有助于开发新型的轨道-自旋电子器件. 本研究采用磁控溅射的方法在Al2O3衬底上制备了Cr薄膜和Cr/Ni异质结. 通过太赫兹发射谱测量观察到Cr中的逆轨道霍尔效应. 在Cr/Ni异质结中由铁磁层Ni中自旋-轨道耦合所产生的轨道流通过Cr的逆轨道霍尔效应转换为电荷流. 此外, 研究了太赫兹信号对Ni层厚度的依赖性, Ni厚度的增加显著地提高了自旋流-轨道流的转换效率, 增强了轨道太赫兹发射信号. Cr的逆轨道霍尔效应为轨道-自旋电子器件的设计与性能调控提供了新的研究思路.
物理学交叉学科及有关科学技术领域
2025, 74 (13): 138101.
doi: 10.7498/aps.74.20250256
摘要 +
等摩尔比高熵钙钛矿陶瓷因具有优异的磁性能而备受关注. 为了进一步提升其磁化强度, 本文根据构型熵Sconfig、容差因子t和失配度σ2设计(Ln0.2La0.2Nd0.2Sm0.2Eu0.2)MnO3高熵钙钛矿陶瓷, 并通过固相法合成了单相高熵钙钛矿陶瓷, 系统研究了重稀土元素Dy, Ho和Er对所制备陶瓷的结构和磁性能的影响. 结果表明: 在1250 ℃下烧结16 h后, 所合成的高熵陶瓷试样均呈现出较高的结晶度且保持良好的结构稳定性. (Ln0.2La0.2Nd0.2Sm0.2Eu0.2)MnO3具有显著的晶格畸变效应, 其样品形貌表面光滑且晶界清晰可辨. 3种高熵陶瓷样品在T = 5 K时表现出磁滞行为, 居里温度TC随着引入稀土离子半径的减小而降低, 而饱和磁化强度和矫顽力则随之增大. 此外, 与其他样品相比, (Er0.2La0.2Nd0.2Sm0.2Eu0.2)MnO3陶瓷显示出更高的饱和磁化强度(42.8 emu/g)和矫顽力(2.09 kOe), 这归因于其磁体具有强磁晶各向异性、更大的晶格畸变σ2 (6.52×10–3)以及更小的平均晶粒尺寸(440.49 ± 22.02) nm、晶胞体积(229.432 Å3)和A位平均离子半径(1.24 Å), 其在磁记录材料方面具有应用潜力.
2025, 74 (13): 138701.
doi: 10.7498/aps.74.20241762
摘要 +
本文提出一种新型超表面结构, 通过改变工作温度能够实现透反双模态极化转换与超宽带吸收等功能切换. 当二氧化钒(VO2)为金属态且碲化锗(GeTe)为晶态时, 太赫兹波沿–z方向入射, 该超表面在7.96—17.76 THz频带表现为超宽带吸收器, 吸收率大于90%. 太赫兹波沿+z方向入射, 该超表面在2.04—4.44 THz频带表现为对x-/y-偏振波的反射极化转换, 极化转换率大于0.9. 当VO2为介质态且GeTe为非晶态时, 该超表面在0.65—5.07 THz频带表现为对x偏振波的透射极化转换, 极化转换率大于0.9. 研究结果表明, 该超表面结构对太赫兹波操控具有双向、可切换和多功能特点, 在太赫兹波传感、成像和通信领域具有广阔的应用前景.
封面文章
封面文章
2025, 74 (13): 138702.
doi: 10.7498/aps.74.20250471
摘要 +
通道蛋白精确调控生命活动中物质跨膜转运, 为信号传递和能量代谢等复杂功能提供了结构保障. 单分子荧光技术与单通道膜片钳技术偶联对于解析其“结构-动力学-功能”的关联至关重要. 为解决二者联用中细胞内的高荧光背景限制单分子信号采集的难点, 本研究提出了一种选择性局部激发光路, 在活细胞上表面构建可控范围的局域照明场, 实现其中单分子荧光成像与动态追踪. 基于可调照明范围和区域, 达成照明光斑与玻璃电极的亚微米级共定位, 有效获取细胞贴附式单通道电流记录, 及高信噪比的单分子荧光时间轨迹. 本工作建立了一个可用于揭示通道蛋白结构-功能耦联机制的、具有普适性的单分子水平研究框架.


