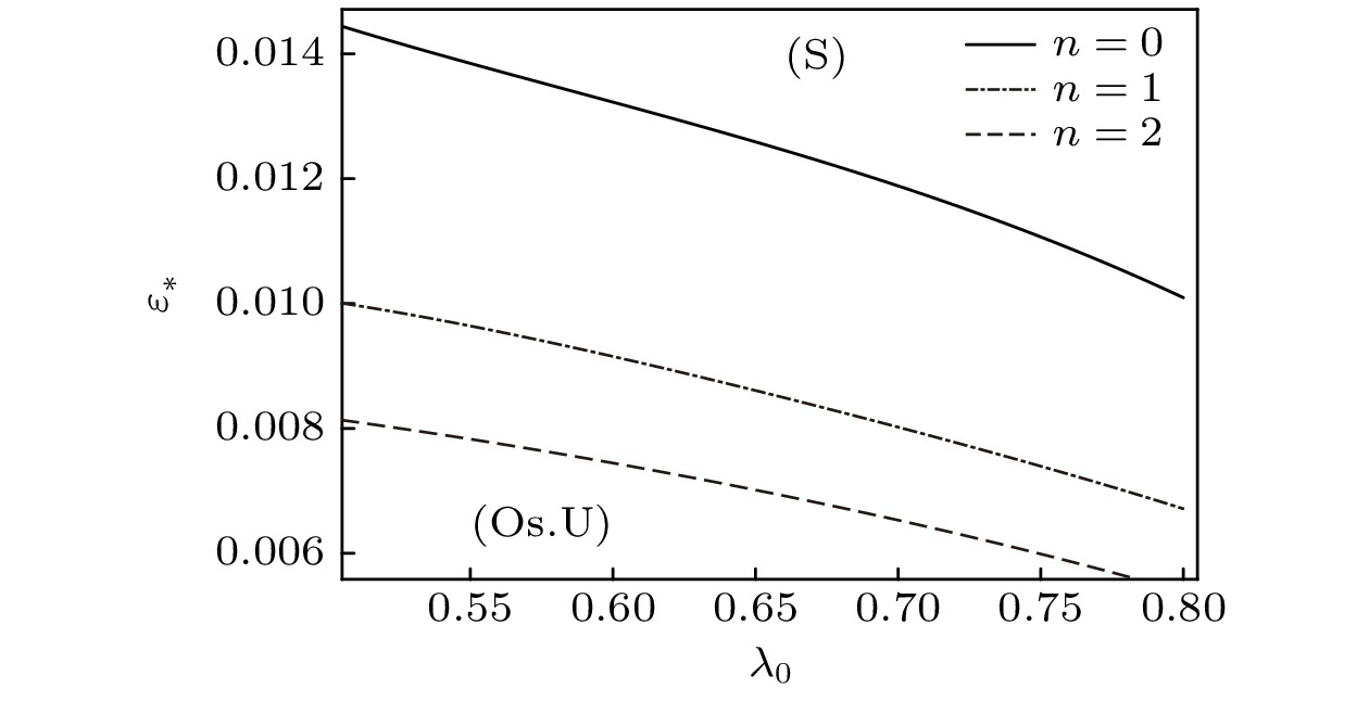
Directional solidification technology artificially controls the propagation rate at the solid-liquid interface to promote the development of the metal microstructure in the expected direction. In the process, the solid-liquid interface will produce complex and diverse microstructures, of which cellular crystal and dendritic structure are typical microstructures in the interface formation process, which have a direct influence on the quality and properties of the final material. Based on the fact that the far-field flow is not strongly affected by local perturbations and has the characteristics of relative stability and homogeneity, a mathematical model including the temperature field, the concentration field and the far field flow is established in this work. According to the interfacial wave theory, a finger coordinate system is constructed using the constant solution of cellular crystal growth as the ground state, and fast variables are introduced for variable replacement using multivariate expansion method and matched asymptotic expansion method used to introduce. The eigenvalue problem of linear perturbation dynamics in the case of far-field flow is solved, and the dispersion relation of the change rate of the perturbation amplitude at the interface of the cellular crystal and the quantization condition of the interface morphology are derived. The stability of the growth of deep cellular crystal in directional solidification under the action of far-field flow is analyzed. and the basis for judging the critical stability of the deep cellular crystal growth is established. The effect of far-field flow on the size of the unstable region is revealed.The results show that in the directional solidification considering the far-field flow, there are two overall instability mechanisms for the interfacial morphology of the growth of deep cellular crystal: the global oscillatory instability (GTW-mode) and the low-frequency instability (IF-mode). The system allows of the symmetric S-mode and the antisymmetric A-mode. The stability analysis shows the following points: the interfacial stability of deep cellular crystal depends on the critical stability parameter; if the interfacial stability parameter of deep cellular crystal is larger than the critical stability parameter, the growth of deep cellular crystal is stable; if it is smaller than the critical stability parameter, the growth of deep cellular crystal is unstable, whereas the critical stability parameter decreases with the enhancement of the flow intensity. Under the influence of far field flow, for the same index n, the growth rate of the GTW-S mode is much greater than that of the GTW-A mode, which is said to be more dangerous than the GTW-A mode, and the n = 0 case in the GTW-S mode is the most dangerous oscillation mode with the largest unstable region. In addition, as the flow intensity Gu increases, the stable region of the overall oscillatory instability of the dendritic structure, where the neutral mode generates strong oscillations, also becomes larger.