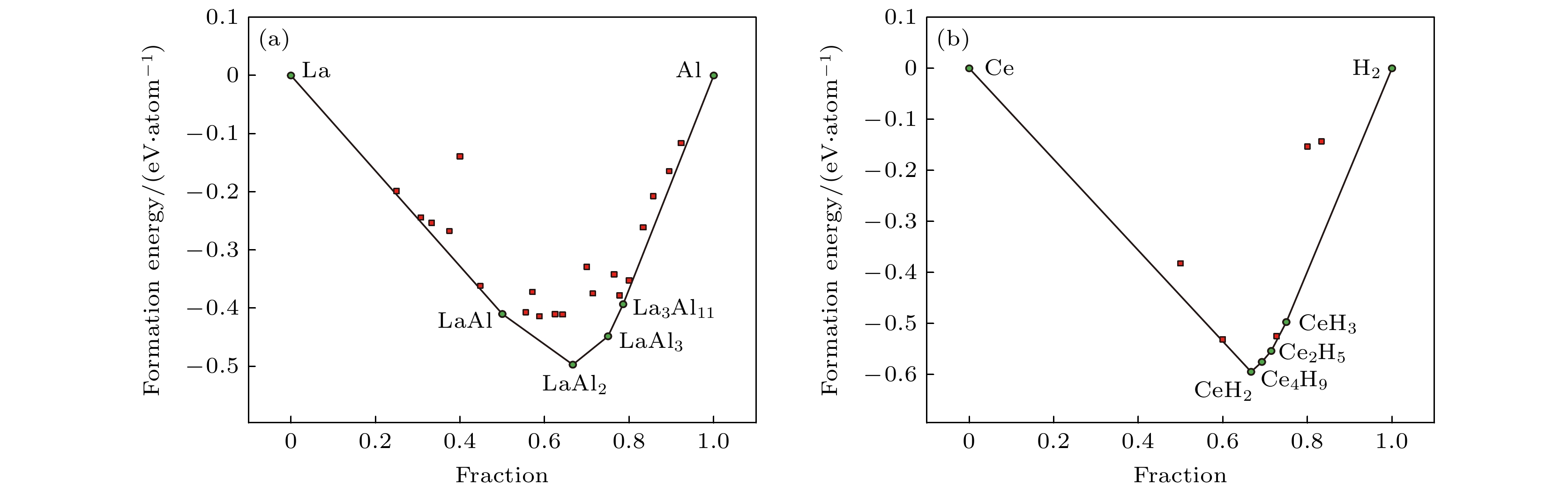
This study aims to predict the thermodynamic stability of rare-earth compounds by using machine learning (ML) models, providing crucial data support for designing advanced materials and facilitating the discovery of new rare-earth compounds.In terms of methods, this study is based on a dataset consisting of 280569 compounds. The formation energies of these compounds are calculated by density functional theory (DFT). A system consisting of 145 feature descriptors is constructed, covering stoichiometric properties, statistical properties of elements, electronic structure properties, and properties of ionic compounds, comprehensively describing the characteristics of rare-earth compounds. Two ML models, i.e. random forest (RF) and neural network (NN), are selected to perform classification and regression tasks respectively. The 5-fold cross-validation is used to improve the reliability of the models. The min-max scaling technique is used for preprocessing data, and an ensemble learning architecture is constructed to address the limitations of single model.In the classification task, the RF and NN algorithms perform remarkably well. With 5-fold cross-validation, the accuracy reaches approximately 0.97, and the F1 score is around 0.98, enabling the precise classification of compounds into stable or unstable categories. In the regression task, the mean absolute errors (MAEs) of the formation energy predictions by the RF and NN models are 0.055 eV/atom and 0.071 eV/atom, respectively. This indicates that the model predictions are highly accurate and can replace complete DFT calculations to a certain extent. In the predictive analysis of system outside the test set, six representative components are selected from the material project database, covering binary, ternary, and quaternary systems. The prediction errors of all compositions are controlled within 0.5 eV/atom, with an error percentage of lower than 25%, indicating that the model has strong ability of extrapolation and prediction. When predicting the binary phase diagrams of rare-earth compounds La-Al and Ce-H by using the trained models, the convex hull phase diagrams constructed through the ensemble learning architecture, which combines the prediction results of the RF and NN models, are highly consistent with those constructed from the open quantum materials database. The models successfully capture several metastable phases that are not present in multiple databases. Moreover, the convex hull distances of the predicted phases are mostly less than 0.1 eV/atom, with the maximum not exceeding 0.2 eV/atom.In conclusion, this study successfully uses ML models to predict the thermodynamic stability of rare-earth compounds. The constructed models demonstrate strong capabilities in classification and regression tasks. The ensemble learning architecture effectively improves the model performance, providing a promising tool for discovering materials in the field of rare-earth science, contributing to the research and development of new rare-earth compounds, and designing advanced materials.