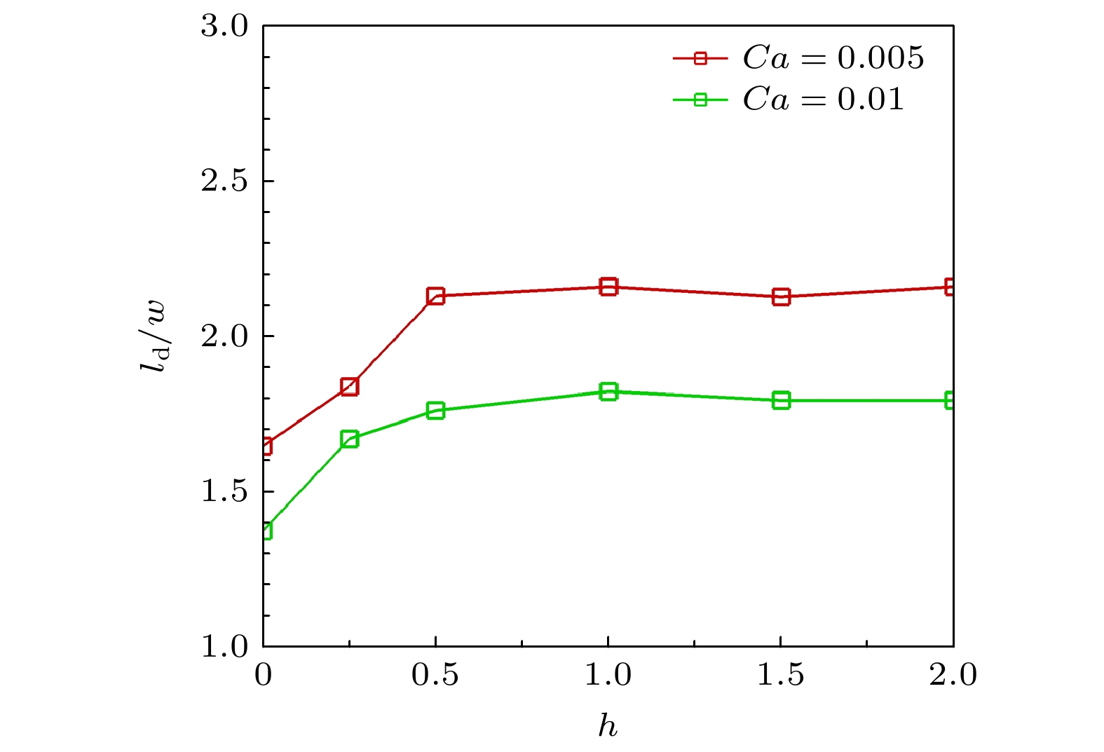
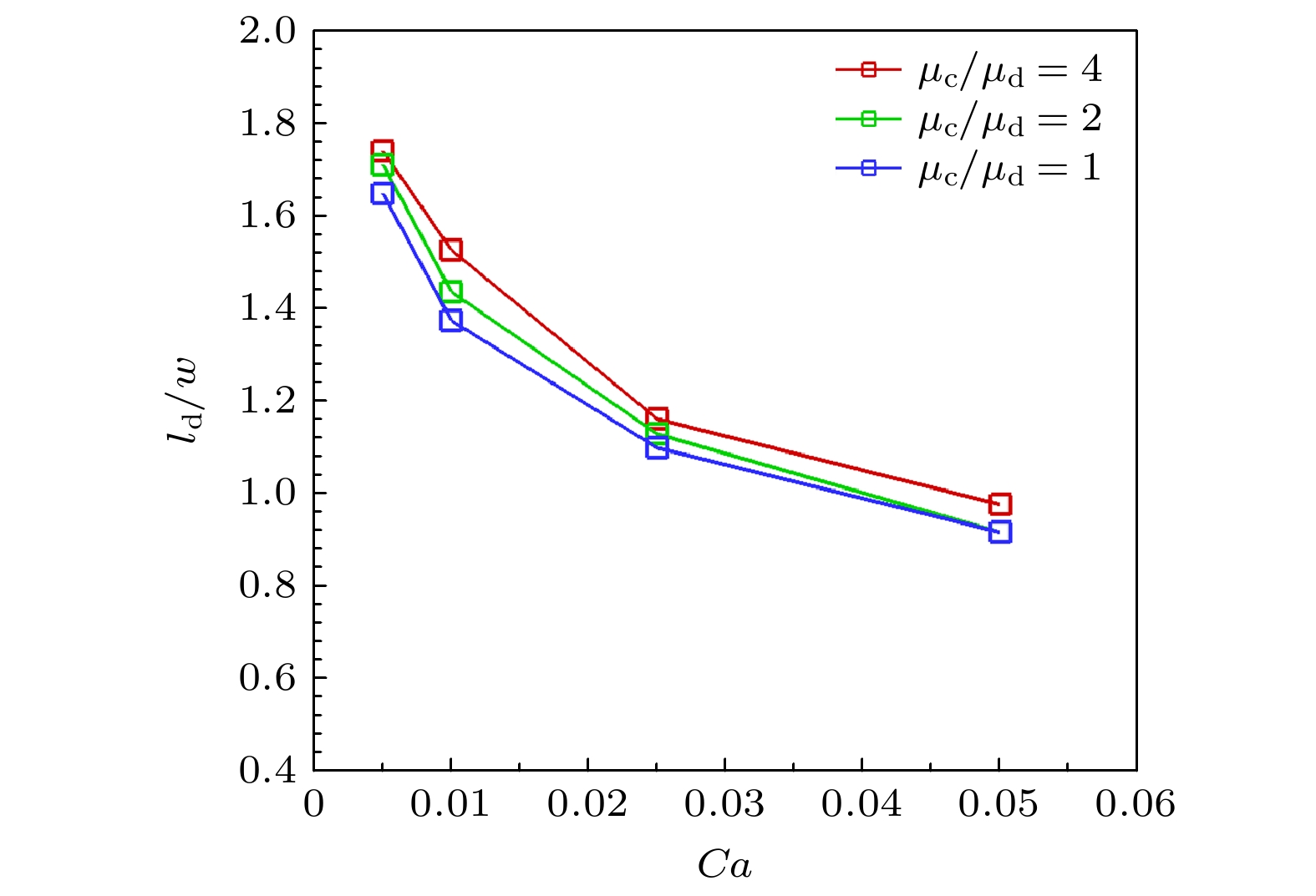
Droplet microfluidics technology possesses significant potential applications in chemical analysis, biological detection, and material preparation. Passive droplet generation method can rapidly achieve droplet formation by using the geometric characteristics of microchannels and shear flow. As a typical structure, the influences of fluid parameters and symmetry differences in cross microchannels on the droplet generation process have not been fully studied. Therefore, this paper uses the lattice Boltzmann method to numerically simulate droplet generation in symmetric and asymmetric cross microchannels, thereby systematically analyzing the action mechanisms of capillary number, viscosity ratio, and microchannel symmetry. First, this study verifies the computational reliability of the numerical model through two classic cases, i.e. the droplet deformation under planar shear flow and stationary droplets on ideal solid surfaces. Then, this work focuses on studying the three flow stages in symmetric cross microchannels, i.e. interface immersion stage, shear-induced breakup stage, and the droplet migration and coalescence stage, and analyzes the synergistic mechanism of capillary number and viscosity ratio. In the symmetric cross microchannel structure, the capillary number is the main factor determining the droplet size in the cross microchannel. With the increase of the capillary number, the surface tension gradually weakens, causing the liquid bridge at the droplet neck to break more easily and generate droplets. In contrast, the effect of the viscosity ratio on the droplet size is relatively small, but it can suppress the generation of sub-droplets and improve the uniformity of droplets by adjusting the viscous resistance of the continuous phase. On this basis, this study further quantifies the influence of microchannel symmetry on the droplet generation process in cross microchannels. In the asymmetric cross microchannel structure, the microchannel deviation breaks the flow symmetry and weakens the cooperative shearing effect of the oil-phase fluid on the immersion structure of the water-phase fluid. When the microchannel deviates within the centerline range of the water-phase microchannel, the droplet size increases significantly with the increase of the microchannel deviation. This is mainly because the oil-phase fluid on the side far from the deviation first squeezes the immersion structure of the water-phase fluid, and then the oil-phase fluid near the deviation side exerts a secondary squeeze on the immersion structure, causing the neck liquid bridge of the immersion structure to continuously elongate and the shear position to shift along the microchannel deviation direction. When the microchannel deviation exceeds the centerline position of the water-phase microchannel, the interface fracture of the water-phase immersion structure mainly relies on the double squeezing effect of the oil-phase fluid and the surface tension of water-phase fluid, and the droplet size tends to be stable. The relevant research results lay a theoretical foundation for microchannel design and fluid parameter regulation in droplet microfluidics and thus further promote the application and development of droplet microfluidic technology.