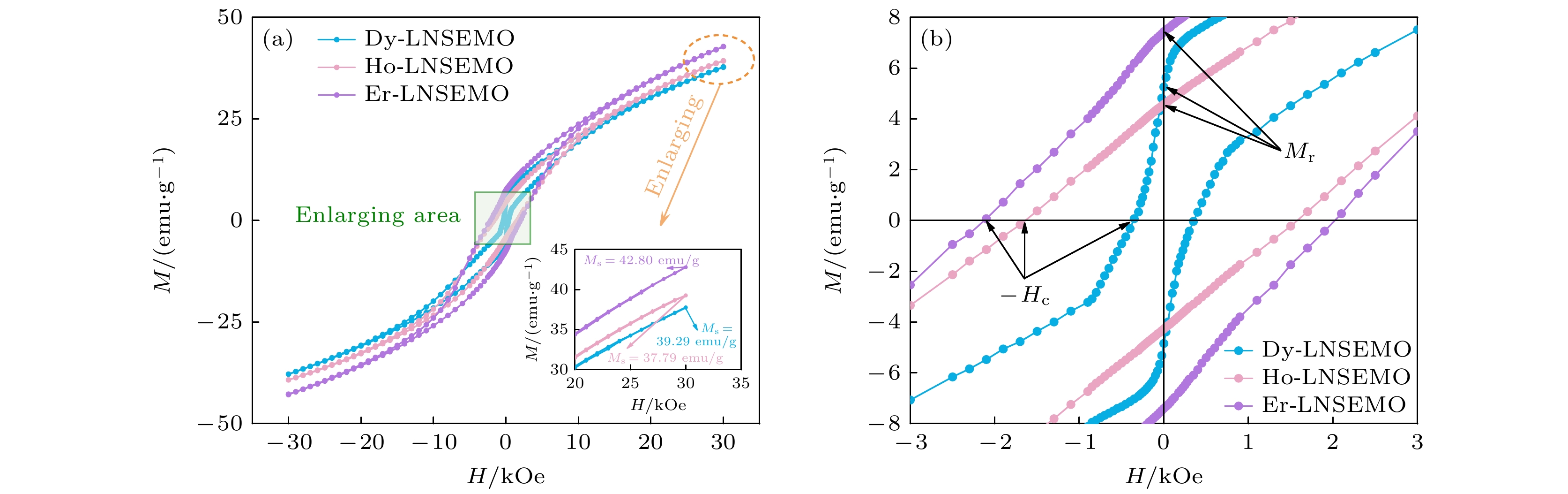
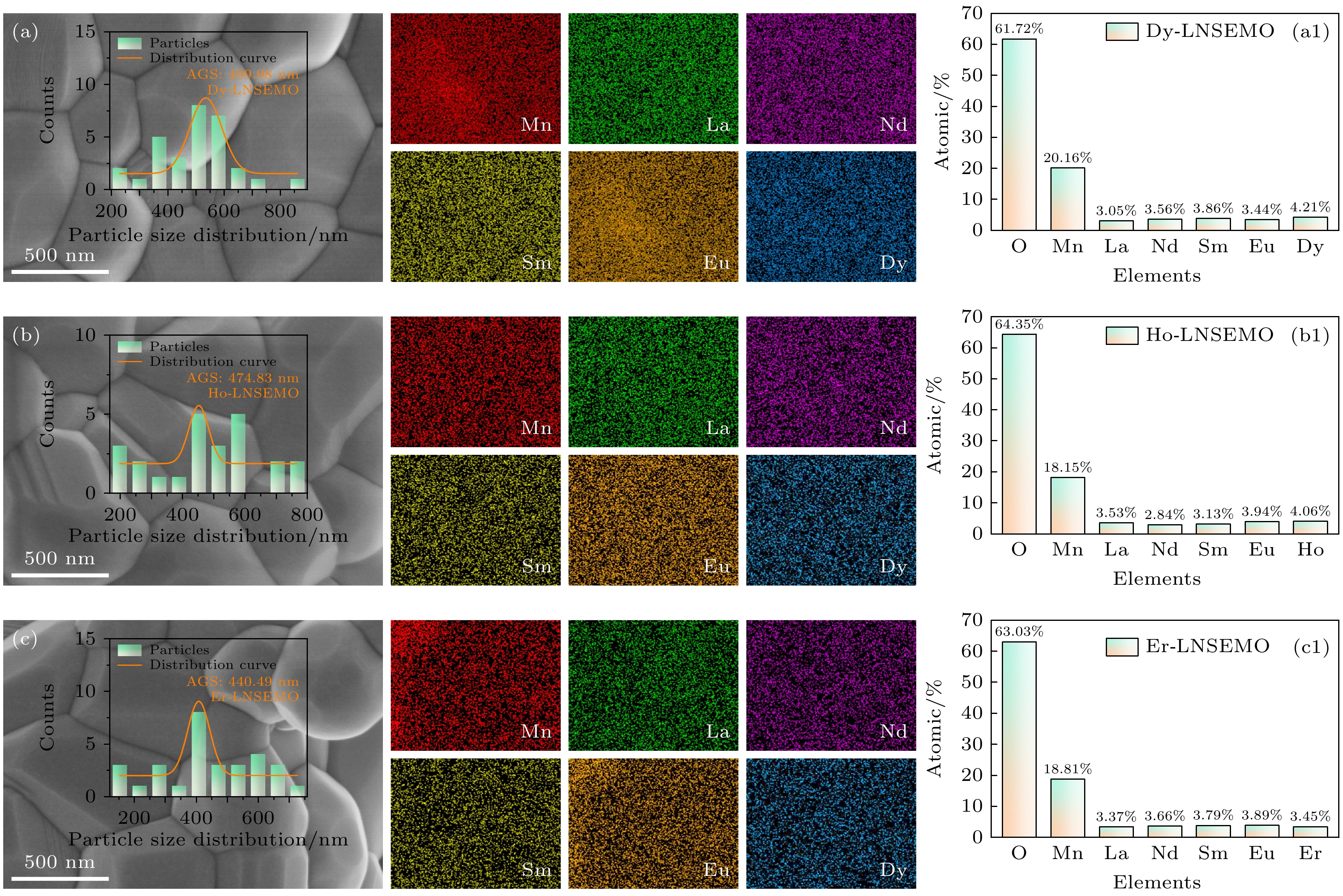
Equimolar ratio high-entropy perovskite ceramics (HEPCs) have attracted much attention due to their excellent magnetization intensity. To further enhance their magnetization intensities, (Ln0.2La0.2Nd0.2Sm0.2Eu0.2)MnO3 (Ln = Dy, Ho and Er, labeled as Ln-LNSEMO) HEPCs are designed based on the configuration entropy Sconfig, tolerance factor t, and mismatch degree σ2. Single-phase HEPCs are synthesized by the solid-phase method in this work, in which the effects of the heavy rare-earth elements Dy, Ho and Er on the structure and magnetic properties of Ln-LNSEMO are systematically studied. The results show that all Ln-LNSEMO HEPCs exhibit high crystallinity and maintain excellent structural stability after sintering at 1250 ℃ for 16 h. Ln-LNSEMO HEPCs exhibit significant lattice distortion effects, with smooth surface morphology, clearly distinguishable grain boundaries, and irregular polygonal shapes. In the present work, the influences of A-site average ion radius, grain size and lattice distortion on the magnetic interactions of Ln-LNSEMO HEPCs are investigated. The three high-entropy ceramic samples exhibit hysteresis behavior at T = 5 K, with the Curie temperature TC decreasing as the radius of the introduced rare-earth ions decreases, while the saturation magnetization and coercivity increase accordingly. When the average ionic radius of A-site decreases, the interaction between their valence electrons and local electrons in the crystal increases, thereby enhancing the conversion of electrons to oriented magnetic moments under an external magnetic field. Thus, Er-LNSEMO HEPC shows a higher saturation magnetization strength (42.8 emu/g) and coercivity (2.09 kOe) than the other samples, which is attributed to the strong magnetic crystal anisotropy, larger lattice distortion σ2 (6.52×10–3), smaller average grain size (440.49 ± 22.02 nm), unit cell volume (229.432 Å3) and A-site average ion radius (1.24 Å) of its magnet. The Er-LNSEMO HEPC has potential applications in magnetic recording materials.