搜索

x

留言板

姓名
邮箱
手机号码
标题
留言内容
验证码

引用本文:
Citation:

张璐璐, 李天翔, 庞学霞, 葛禹琦, 刘晓倩, 冉俊霞, 李庆, 李雪辰
cstr: 32037.14.aps.74.20250208

Particle-in-cell/Monte Carlo collision simulations of dielectric barrier discharge packed with mixed dielectrics

ZHANG Lulu, LI Tianxiang, PANG Xuexia, GE Yuqi, LIU Xiaoqian, RAN Junxia, LI Qing, LI Xuechen
cstr: 32037.14.aps.74.20250208
Article Text (iFLYTEK Translation)
PDF
HTML
导出引用
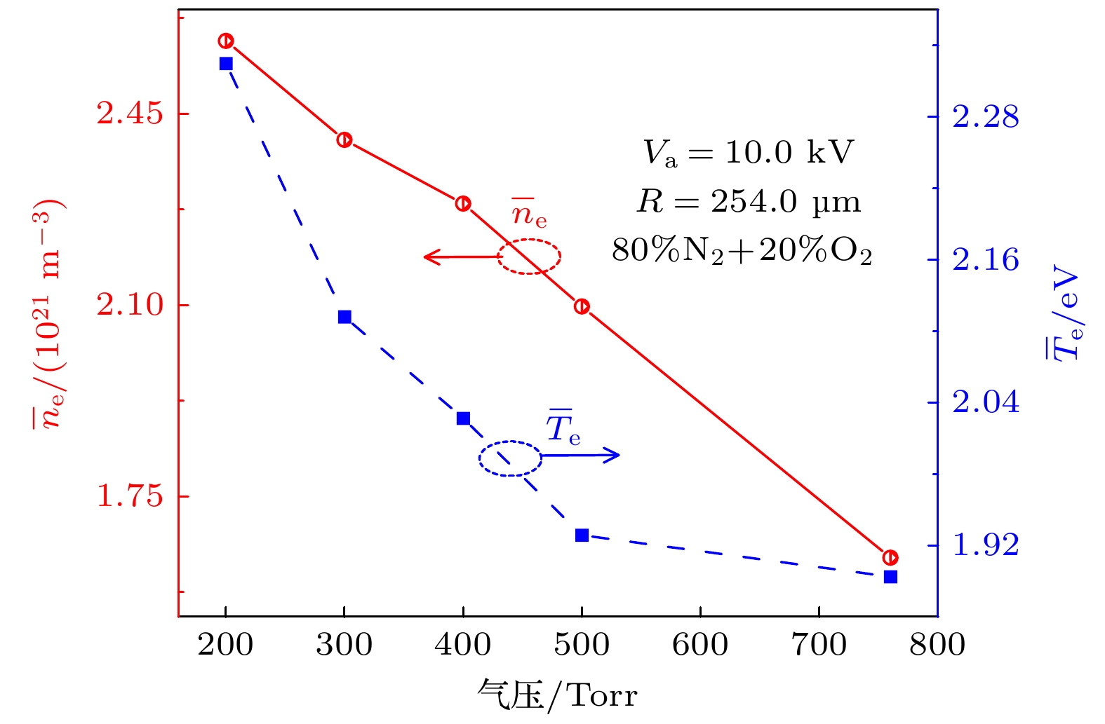
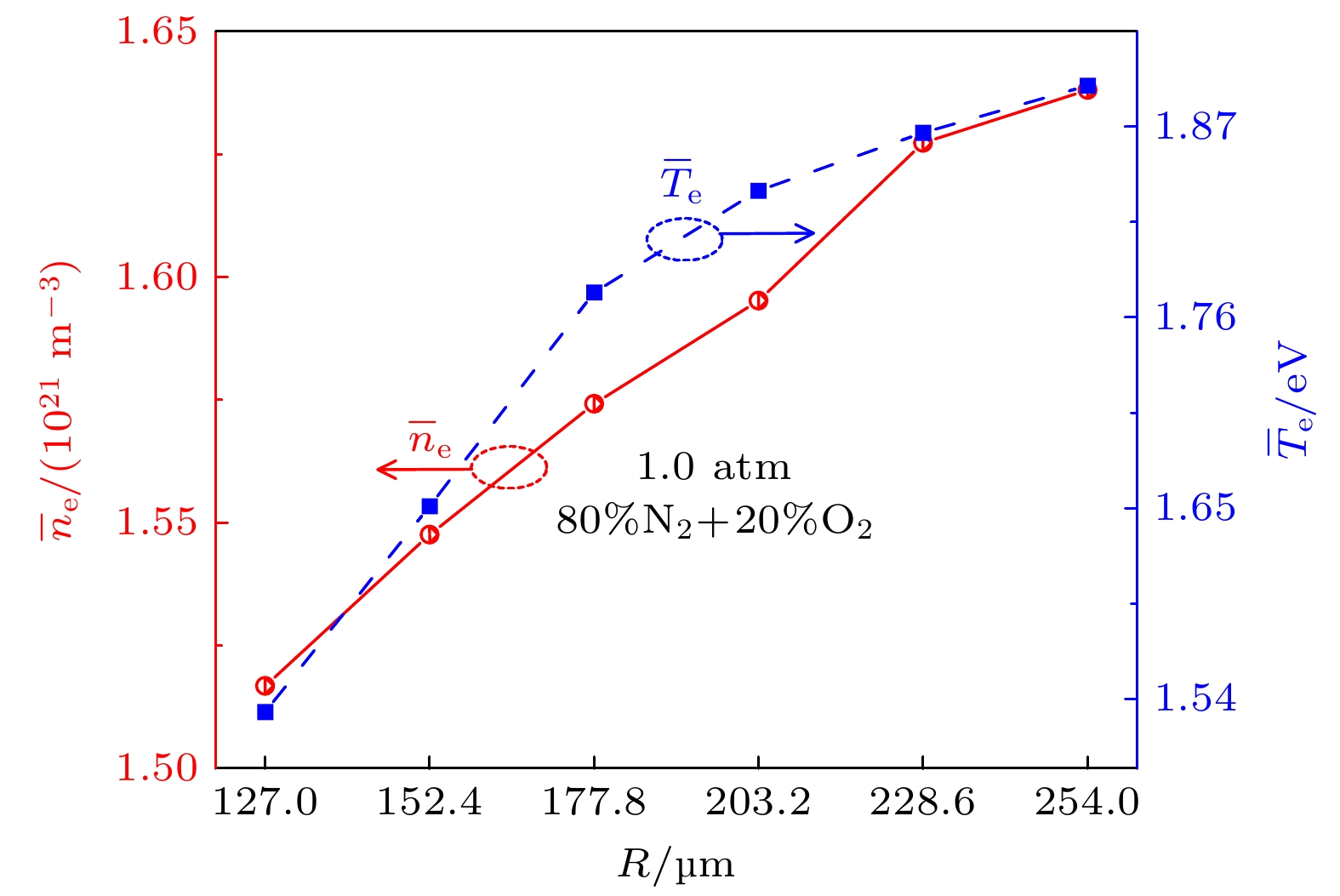
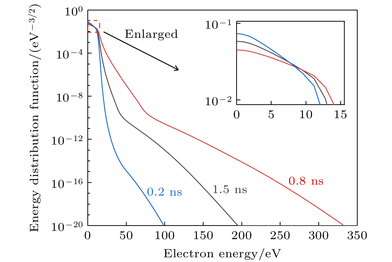
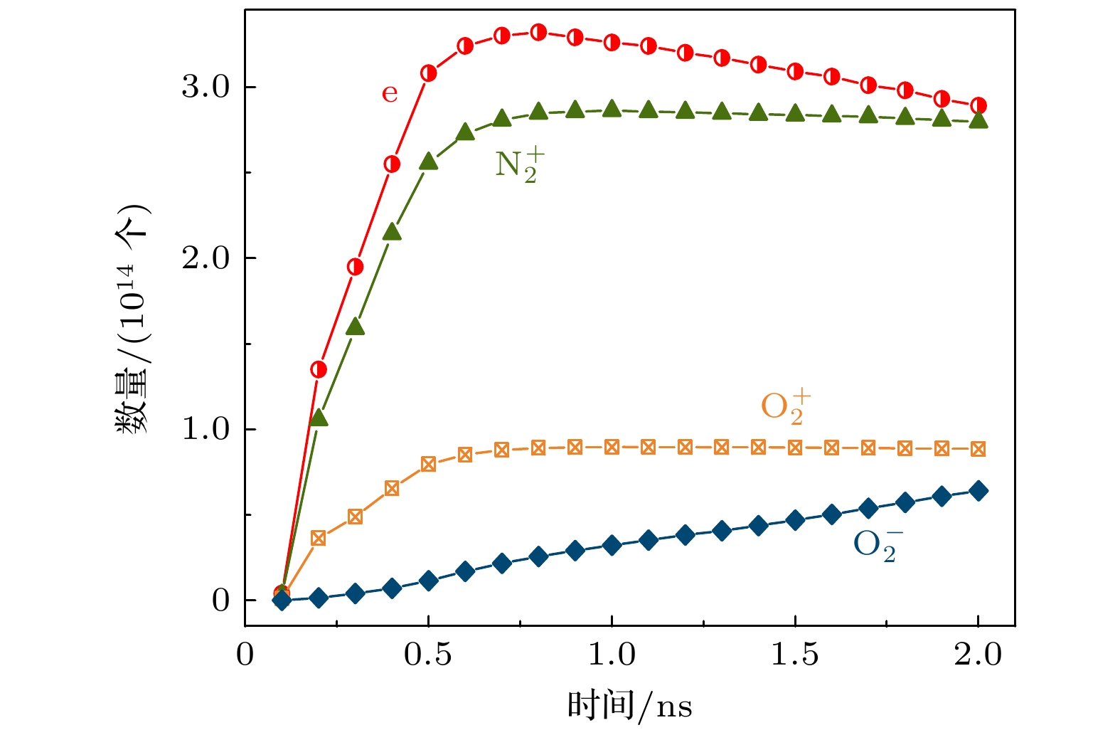
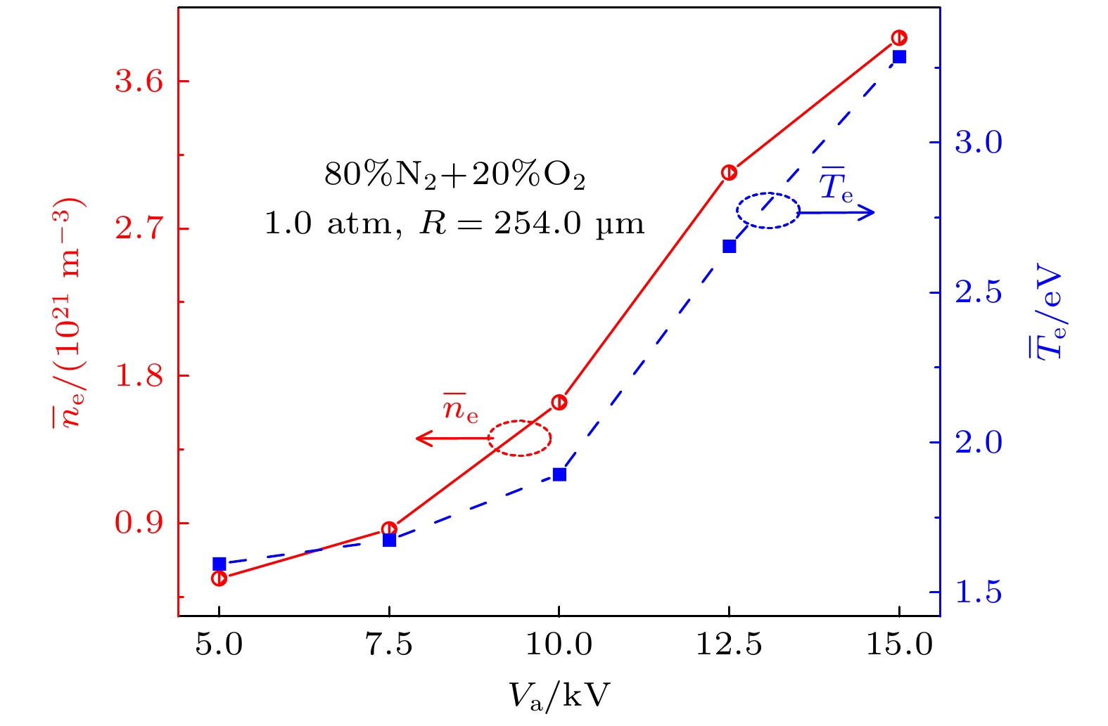
  • 填充床介质阻挡放电通常采用某一种材料进行填充以实现等离子体催化反应, 而利用不同材料混合填充可以实现更复杂的化学反应. 为了深入理解混合填充放电的物理机制, 本文基于粒子云网格/蒙特卡罗碰撞(PIC/MCC)模型对其动力学行为进行研究. 结果表明, 流光最先在高介电常数(εr)的介质柱底部产生, 并沿着低εr介质柱缝隙向下传播. 当流光传播到下介质板后, 该放电转化为体放电. 随后, 在上介质板附近又产生一个新的流光, 并沿着高εr介质柱缝隙向下传播. 研究发现, 电子和正离子的数量随时间先增加, 在0.8 ns后电子数随时间减少, 但正离子数几乎保持不变. 在此过程中负离子数随时间单调增加. 此外, 介质柱缝隙中平均电子密度($ {\bar{n}}_{{\mathrm{e}}} $)和平均电子温度($ {\bar{T}}_{{\mathrm{e}}} $)随气压升高均减小. 它们随着电压幅值或介质柱半径的增大而增大. 随工作气体中氮气含量的增大, $ {\bar{n}}_{{\mathrm{e}}} $先减小后增大, 而$ {\bar{T}}_{{\mathrm{e}}} $单调增大. 这些研究结果对优化反应器设计, 进一步提升填充床介质阻挡放电的反应效率具有重要意义.
    Packed bed dielectric barrier discharge (PB-DBD) is extremely popular in plasma catalysis applications, which can significantly improve the selectivity and energy efficiency of the catalytic processes. In order to achieve some complex chemical reactions, it is necessary to mix different materials in practical applications. In this work, by using the two-dimensional particle-in-cell/Monte Carlo collision (PIC/MCC) method, the discharge evolution in PB-DBD packed with two mixed dielectrics is numerically simulated to reveal the discharge characteristics. Due to the polarization of dielectric columns, the enhancement of electric field induces streamers at the bottom of the dielectric columns with high electrical permittivity (εr). The streamers propagate downward in the voids between the dielectric columns with low εr, which finally converts into volume discharges. Then, a new streamer forms near the upper dielectric plate and propagates downward along the void of the dielectric columns with high εr. Moreover, electron density between the columns with high εr is lower than that between the dielectric columns with low εr. In addition, the numbers of e, $ {\text{N}}_{2}^{+} $, $ {\text{O}}_{2}^{+} $ and $ {\text{O}}_{2}^{-} $ present different profiles versus time. All of e, $ {\text{N}}_{2}^{+} $ and $ {\text{O}}_{2}^{+} $ increase in number before 0.8 ns. After 0.8 ns, the number of electrons decreases with time, while the numbers of $ {\text{N}}_{2}^{+} $ and $ {\text{O}}_{2}^{+} $ keep almost constant. In the whole process, the number of $ {\text{O}}_{2}^{-} $ keeps increasing with time increasing. The reason for the different temporal profiles can be analyzed as follows. The sum of electrons deposited on the dielectric and those lost in attachment reaction is greater than the number of electrons generated by ionization reaction, resulting in the declining trend of electrons. Comparatively, the deposition of $ {\text{N}}_{2}^{+} $ and $ {\text{O}}_{2}^{+} $ on the dielectric almost balances with their generation, leading to the constant numbers of $ {\text{N}}_{2}^{+} $ and $ {\text{O}}_{2}^{+} $. In addition, the variation of averaged electron density ($ {\bar{n}}_{{\mathrm{e}}} $) and averaged electron temperature ($ {\bar{T}}_{{\mathrm{e}}} $) in the voids between the dielectric columns are also analyzed under different experimental parameters. Simulation results indicate that both of them decrease with pressure increasing or voltage amplitude falling. Moreover, they increase with dielectric column radius enlarging. In addition, $ {\bar{n}}_{{\mathrm{e}}} $ increases and then decreases with the increase of N2 content in the working gas, while $ {\bar{T}}_{{\mathrm{e}}} $ monotonically increases. The variations of $ {\bar{n}}_{{\mathrm{e}}} $ and $ {\bar{T}}_{{\mathrm{e}}} $ in the voids can be explained as follows. With the increase of pressure, the increase of collision frequency and the decrease of average free path lead to less energy obtained per unit time by electrons from the electric field, resulting in the decreasing of $ {\bar{T}}_{{\mathrm{e}}} $. Moreover, the first Townsend ionization coefficient decreases with the reduction in $ {\bar{T}}_{{\mathrm{e}}} $, resulting in less electrons produced per unit time. Hence, both $ {\bar{n}}_{{\mathrm{e}}} $ and $ {\bar{T}}_{{\mathrm{e}}} $ decrease with pressure increasing. Additionally, $ {\bar{T}}_{{\mathrm{e}}} $ is mainly determined by electric field strength. Therefore, the rising voltage amplitude results in the increase of and $ {\bar{T}}_{{\mathrm{e}}} $. Based on the same reason for pressure, $ {\bar{n}}_{{\mathrm{e}}} $ also increases with the augment of voltage amplitude. Consequently, both $ {\bar{n}}_{{\mathrm{e}}} $ and $ {\bar{T}}_{{\mathrm{e}}} $ increase with voltage amplitude increasing. In addition, the surface area of dielectric columns increases with dielectric column radius enlarging. Therefore, more polarized charges are induced on the inner surface of the dielectric column, inducing a stronger electric field outside. Accordingly, the enlarging of dielectric column radius leads $ {\bar{n}}_{{\mathrm{e}}} $ and $ {\bar{T}}_{{\mathrm{e}}} $ to increase. Moreover, the variation of $ {\bar{n}}_{{\mathrm{e}}} $ with N2 content is analyzed from the ionization rate, and that of $ {\bar{T}}_{{\mathrm{e}}} $ is obtained by analyzing the ionization thresholds of N2 and O2.
      通信作者: 庞学霞, pangxuexia@hbu.edu.cn ; 李雪辰, plasmalab@126.com
    • 基金项目: 国家自然科学基金(批准号: 12375250, 11875121, 51977057, 11805013)、河北省自然科学基金(批准号: A2022201036, A2020201025)、河北省光电信息材料实验室补贴项目基金(批准号: 22567634H)、河北省杰出青年基金(批准号: A2012201045)、河北大学自然科学跨学科研究项目基金(批准号: DXK201908, DXK202011)和河北大学研究生创新项目基金(批准号: HBU2022bs004)资助的课题.
      Corresponding author: PANG Xuexia, pangxuexia@hbu.edu.cn ; LI Xuechen, plasmalab@126.com
    • Funds: Project supported by the National Natural Science Foundation of China (Grant Nos. 12375250, 11875121, 51977057, 11805013), the Natural Science Foundation of Hebei Province, China (Grant Nos. A2022201036, A2020201025), the Optoelectronic Information Materials Laboratory Performance Subsidy Fund Project of Hebei Province, China (Grant No. 22567634H), the Funds for Distinguished Young Scientists of Hebei Province, China (Grant No. A2012201045), the Natural Science Interdisciplinary Research Program of Hebei University, China (Grant Nos. DXK201908, DXK202011), and the Post-Graduate’s Innovation Fund Project of Hebei University, China (Grant No. HBU2022bs004).
    [1]

    [2]

    [3]

    [4]

    [5]

    [6]

    [7]

    [8]

    [9]

    [10]

    [11]

    [12]

    [13]

    [14]

    [15]

    [16]

    [17]

    [18]

    [19]

    [20]

    [21]

    [22]

    [23]

    [24]

    [25]

    [26]

    [27]

    [28]

    [29]

    [30]

    [31]

    [32]

    [33]

    [34]

    [35]

    [36]

    [37]

    [38]

    [39]

    [40]

    [41]

    [42]

    [43]

    [44]

    [45]

    [46]

    [47]

    [48]

    [49]

    [50]

    [51]

    [52]

    [53]

    [54]

    [55]

    [56]

    [57]

    [58]

    [59]

  • Reaction Threshold/eV Reference
    Electron-impact ionization [41,4345]
    $ {\mathrm{e}}+{{\mathrm{O}}}_{2} \to 2 {\mathrm{e}}+{{\mathrm{O}}}_{2}^{+} $ 12.06
    $ {\mathrm{e}}+{{\mathrm{N}}}_{2} \to 2 {\mathrm{e}}+{{\mathrm{N}}}_{2}^{+} $ 15.58
    Attachment [41,4345]
    $ {\mathrm{e}}+{{\mathrm{O}}}_{2}+{{\mathrm{O}}}_{2} \to {{\mathrm{O}}}_{2}^{-}+{{\mathrm{O}}}_{2} $
    Elastic collision [4345]
    $ {\mathrm{e}}+{{\mathrm{O}}}_{2} \to {\mathrm{e}}+{{\mathrm{O}}}_{2} $
    $ {\mathrm{e}}+{{\mathrm{N}}}_{2} \to {\mathrm{e}}+{{\mathrm{N}}}_{2} $
    Electron-impact excitation [4345]
    $ {\mathrm{e}}+{{\mathrm{O}}}_{2} \to {\mathrm{e}}+{{\mathrm{O}}}_{2}^{{\mathrm{*}}} $ 0.98
    $ {\mathrm{e}}+{{\mathrm{O}}}_{2} \to {\mathrm{e}}+{{\mathrm{O}}}_{2}^{{\mathrm{*}}} $ 1.63
    $ {\mathrm{e}}+{{\mathrm{O}}}_{2} \to {\mathrm{e}}+{{\mathrm{O}}}_{2}^{{\mathrm{*}}} $ 6.0
    $ {\mathrm{e}}+{{\mathrm{O}}}_{2} \to {\mathrm{e}}+{{\mathrm{O}}}_{2}^{{\mathrm{*}}} $ 8.4
    $ {\mathrm{e}}+{{\mathrm{O}}}_{2} \to {\mathrm{e}}+{{\mathrm{O}}}_{2}^{{\mathrm{*}}} $ 10.0
    $ {\mathrm{e}}+{{\mathrm{N}}}_{2} \to {\mathrm{e}}+{{\mathrm{N}}}_{2}^{{\mathrm{*}}} $ 6.169
    $ {\mathrm{e}}+{{\mathrm{N}}}_{2} \to {\mathrm{e}}+{{\mathrm{N}}}_{2}^{{\mathrm{*}}} $ 7.353
    $ {\mathrm{e}}+{{\mathrm{N}}}_{2} \to {\mathrm{e}}+{{\mathrm{N}}}_{2}^{{\mathrm{*}}} $ 7.362
    $ {\mathrm{e}}+{{\mathrm{N}}}_{2} \to {\mathrm{e}}+{{\mathrm{N}}}_{2}^{{\mathrm{*}}} $ 8.165
    $ {\mathrm{e}}+{{\mathrm{N}}}_{2} \to {\mathrm{e}}+{{\mathrm{N}}}_{2}^{{\mathrm{*}}} $ 8.399
    $ {\mathrm{e}}+{{\mathrm{N}}}_{2} \to {\mathrm{e}}+{{\mathrm{N}}}_{2}^{{\mathrm{*}}} $ 8.549
    $ {\mathrm{e}}+{{\mathrm{N}}}_{2} \to {\mathrm{e}}+{{\mathrm{N}}}_{2}^{{\mathrm{*}}} $ 8.89
    $ {\mathrm{e}}+{{\mathrm{N}}}_{2} \to {\mathrm{e}}+{{\mathrm{N}}}_{2}^{{\mathrm{*}}} $ 9.7537
    $ {\mathrm{e}}+{{\mathrm{N}}}_{2} \to {\mathrm{e}}+{{\mathrm{N}}}_{2}^{{\mathrm{*}}} $ 11.032
    下载: 导出CSV

    $ {C}_{{{\mathrm{N}}}_{2}} $/%kion/(m3·s–1)katt/(m3·s–1)
    105.0×10–149.0×10–17
    402.7×10–141.5×10–16
    601.3×10–143.1×10–16
    907.2×10–148.0×10–16
    下载: 导出CSV
  • [1]

    [2]

    [3]

    [4]

    [5]

    [6]

    [7]

    [8]

    [9]

    [10]

    [11]

    [12]

    [13]

    [14]

    [15]

    [16]

    [17]

    [18]

    [19]

    [20]

    [21]

    [22]

    [23]

    [24]

    [25]

    [26]

    [27]

    [28]

    [29]

    [30]

    [31]

    [32]

    [33]

    [34]

    [35]

    [36]

    [37]

    [38]

    [39]

    [40]

    [41]

    [42]

    [43]

    [44]

    [45]

    [46]

    [47]

    [48]

    [49]

    [50]

    [51]

    [52]

    [53]

    [54]

    [55]

    [56]

    [57]

    [58]

    [59]

  • [1] 舒盼盼, 赵朋程. 高功率微波介质窗气体侧击穿特性的粒子-蒙特卡罗碰撞模拟. 必威体育下载 , 2024, 73(23): 235101. doi: 10.7498/aps.73.20241177
    [2] 杨双越, 温小琼, 杨元天, 李霄. 水下多针电极微秒脉冲流光放电特性. 必威体育下载 , 2024, 73(7): 075203. doi: 10.7498/aps.73.20231881
    [3] 王雪, 温小琼, 王丽茹, 杨元天, 薛晓东. 水中流光放电流光丝的再发光和暂停行为. 必威体育下载 , 2022, 71(1): 015203. doi: 10.7498/aps.71.20211162
    [4] 林毅, 刘文波, 沈骞. 五阶压控忆阻蔡氏混沌电路的双稳定性. 必威体育下载 , 2018, 67(23): 230502. doi: 10.7498/aps.67.20181283
    [5] 许雅明, 王丽丹, 段书凯. 磁控二氧化钛忆阻混沌系统及现场可编程逻辑门阵列硬件实现. 必威体育下载 , 2016, 65(12): 120503. doi: 10.7498/aps.65.120503
    [6] 李佳佳, 吴莹, 独盟盟, 刘伟明. 电磁辐射诱发神经元放电节律转迁的动力学行为研究. 必威体育下载 , 2015, 64(3): 030503. doi: 10.7498/aps.64.030503
    [7] 邵书义, 闵富红, 吴薛红, 张新国. 基于现场可编程逻辑门阵列的新型混沌系统实现. 必威体育下载 , 2014, 63(6): 060501. doi: 10.7498/aps.63.060501
    [8] 许碧荣. 一种最简的并行忆阻器混沌系统. 必威体育下载 , 2013, 62(19): 190506. doi: 10.7498/aps.62.190506
    [9] 寻之朋, 唐刚, 夏辉, 郝大鹏. 1+1 维抛射沉积模型内部结构动力学行为的数值研究. 必威体育下载 , 2013, 62(1): 010503. doi: 10.7498/aps.62.010503
    [10] 钱郁. 时空调制对可激发介质螺旋波波头动力学行为影响及控制研究. 必威体育下载 , 2012, 61(15): 158202. doi: 10.7498/aps.61.158202
    [11] 郭福明, 宋阳, 陈基根, 曾思良, 杨玉军. 含时量子蒙特卡罗方法研究两电子原子在强激光作用下电子的动力学行为. 必威体育下载 , 2012, 61(16): 163203. doi: 10.7498/aps.61.163203
    [12] 胡耀垓, 赵正予, 张援农. 电离层钡云释放早期动力学行为的数值模拟. 必威体育下载 , 2012, 61(8): 089401. doi: 10.7498/aps.61.089401
    [13] 董丽芳, 白占国, 贺亚峰. 非均匀可激发介质中的稀密螺旋波. 必威体育下载 , 2012, 61(12): 120509. doi: 10.7498/aps.61.120509
    [14] 包伯成, 刘中, 许建平. 忆阻混沌振荡器的动力学分析. 必威体育下载 , 2010, 59(6): 3785-3793. doi: 10.7498/aps.59.3785
    [15] 施华萍, 柯见洪, 孙策, 林振权. 中国人口分布规律及演化机理研究. 必威体育下载 , 2009, 58(1): 1-8. doi: 10.7498/aps.58.1.1
    [16] 王宝燕, 徐伟, 邢真慈. 外界电场激励下的耦合FitzHugh-Nagumo神经元系统的放电节律研究. 必威体育下载 , 2009, 58(9): 6590-6595. doi: 10.7498/aps.58.6590
    [17] 刘 凌, 苏燕辰, 刘崇新. 新三维混沌系统及其电路仿真实验. 必威体育下载 , 2007, 56(4): 1966-1970. doi: 10.7498/aps.56.1966
    [18] 刘崇新. 一个超混沌系统及其分数阶电路仿真实验. 必威体育下载 , 2007, 56(12): 6865-6873. doi: 10.7498/aps.56.6865
    [19] 刘 凌, 苏燕辰, 刘崇新. 一个新混沌系统及其电路仿真实验. 必威体育下载 , 2006, 55(8): 3933-3937. doi: 10.7498/aps.55.3933
    [20] 冯培成, 唐翌. 扭结孤子牛顿动力学行为的奇异摄动理论. 必威体育下载 , 2001, 50(7): 1213-1216. doi: 10.7498/aps.50.1213
计量
  • 文章访问数:  852
  • PDF下载量:  33
  • 被引次数: 0
出版历程
  • 收稿日期:  2025-02-20
  • 修回日期:  2025-04-17
  • 上网日期:  2025-05-06
  • 刊出日期:  2025-07-05

返回文章
返回