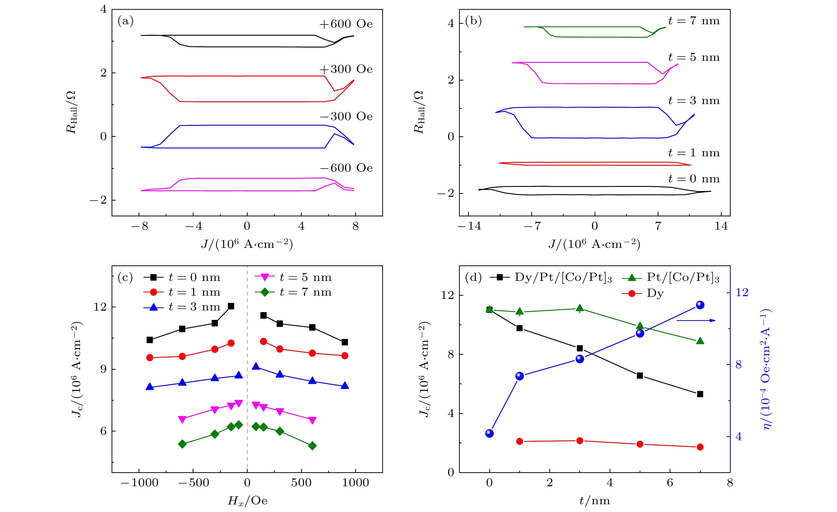
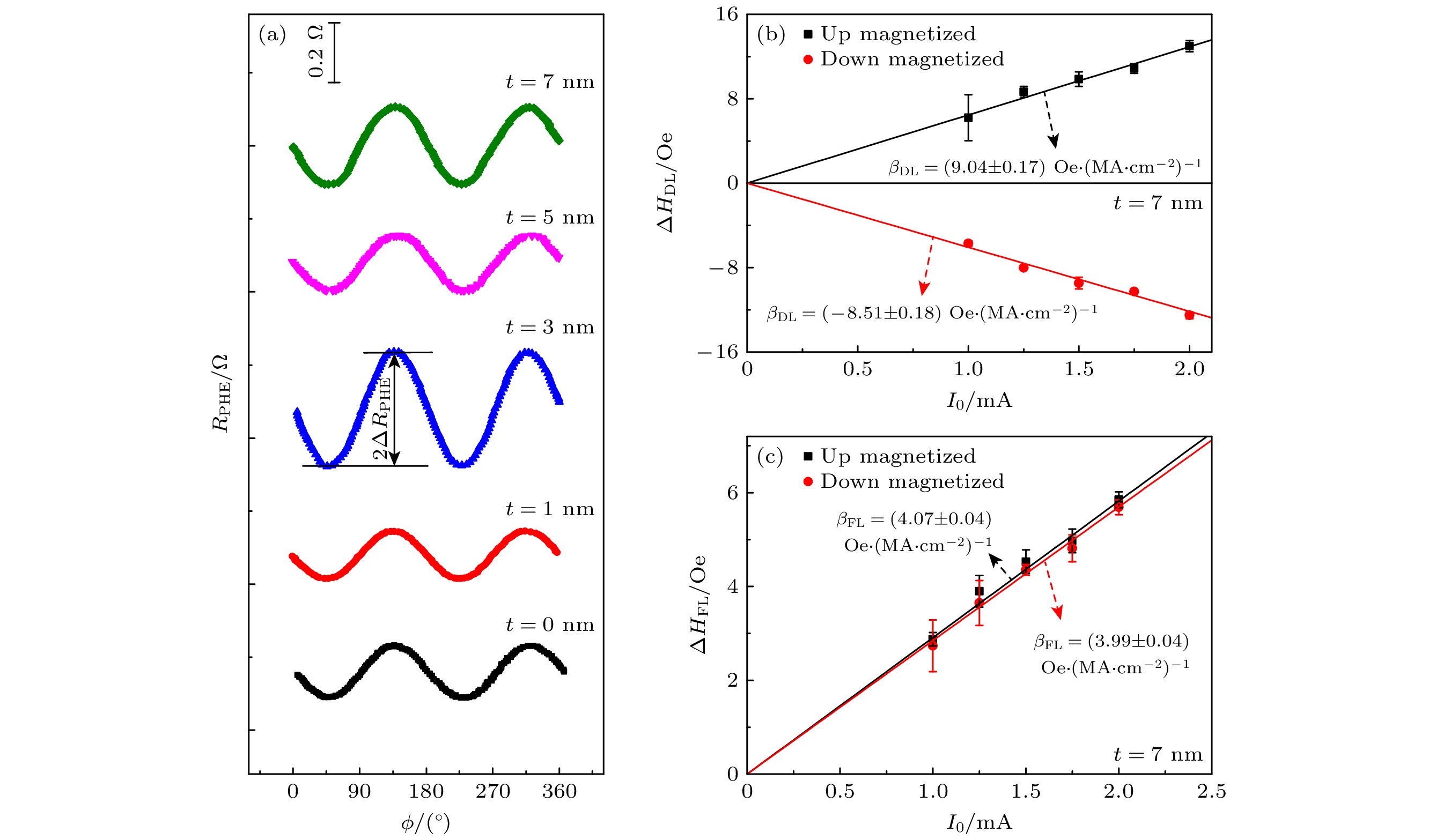
Spin-orbit torque (SOT) based on the spin-orbit coupling (SOC) effect has received increasing attention in magnetic information storage, logical operation and neuron simulation devices because it can effectively manipulate magnetization switching, chiral magnetic domain walls, and magnetic skyrmion motions. Further improvement of the SOT efficiency and reduction of the driving current density are crucial scientific problems to be solved for high-density and low-power applications of SOT-based spintronic devices. The heavy rare-earth metal dysprosium (Dy) possesses a relatively strong SOC due to the partially filled f orbital electrons (4f10), which is expected to generate spin Hall torques. In this work, the influences of Dy thickness on the SOT efficiency and SOT-driven magnetic reversal are explored in the Dy/Pt/[Co/Pt]3 magnetic multilayers, where the rare-earth Dy and [Co/Pt]3 are used as a spin-source layer and a perpendicularly magnetized ferromagnetic layer, respectively. A series of Dy/Pt/[Co/Pt]3 heterostructures with the values of Dy layer thickness (tDy) of 1, 3, 5 and 7 nm is fabricated by ultrahigh-vacuum magnetron sputtering. The perpendicular magnetic anisotropy, SOT efficiency, spin Hall angle and current-induced magnetization switching are characterized using the magnetic property and electrical transport measurements. The results show that the switching field and magnetic anisotropic field decrease with the increase of tDy, revealing that the magnetic parameters can be regulated by the bottom Dy layer due to their structural sensitivity. However, both damping-like SOT efficiency and effective spin Hall angle ($\theta _{{\text{SH}}}^{{\text{eff}}} $) gradually increase with the increase of tDy, indicating that the rare-earth Dy can provide additional spin current to enhance the SOT efficiency apart from the contribution of Pt/[Co/Pt]3. Particularly, the maximum value of $\theta _{{\text{SH}}}^{{\text{eff}}} $ of 0.379±0.008 is achieved when tDy is 7 nm. According to the fitting analysis of the drift-diffusion model, the intrinsic spin Hall angle and spin diffusion length of the rare-earth Dy are extracted to be 0.260±0.039 and (2.234±0.383) nm, respectively, suggesting that Dy can be used as an ideal spin-source material. In addition, the critical switching current density (Jc) gradually decreases with the increase of tDy, and Jc reaches a minimum value of approximately 5.3×106 A/cm2 at tDy = 7 nm, which is mainly attributed to the increase of the damping-like SOT and slight decrease of the switching field. These results experimentally demonstrate a strong spin Hall effect of the rare-earth Dy, and provide a feasible route for designing SOT-based spintronic devices with low-power dissipation.