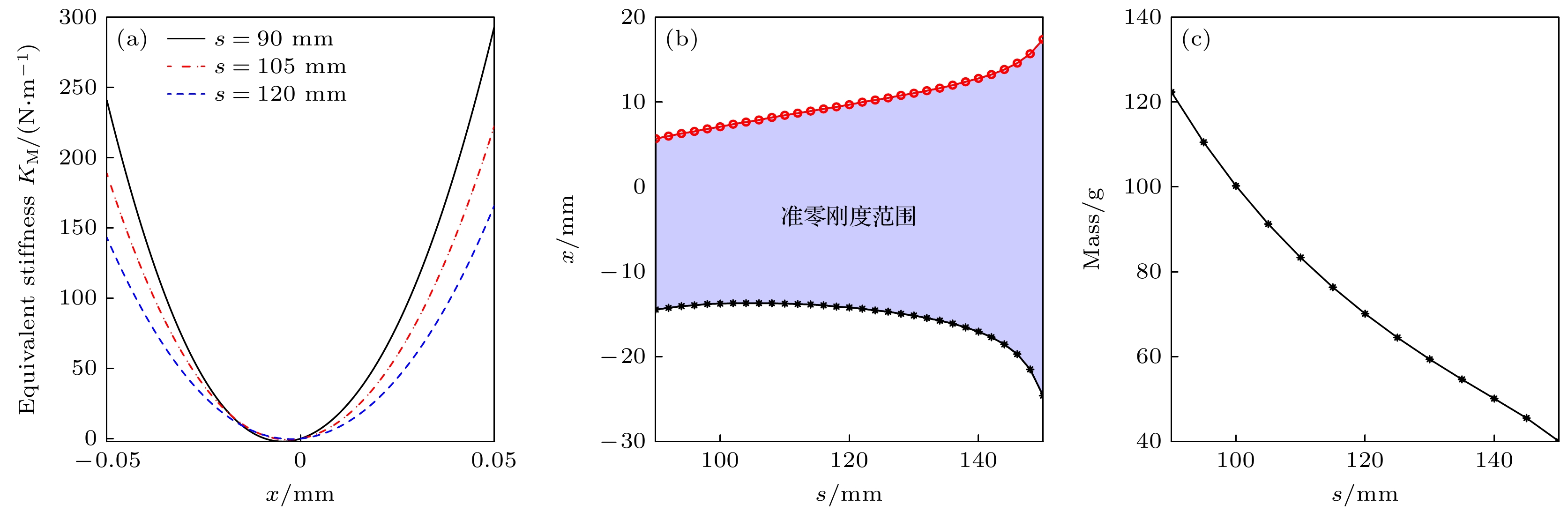
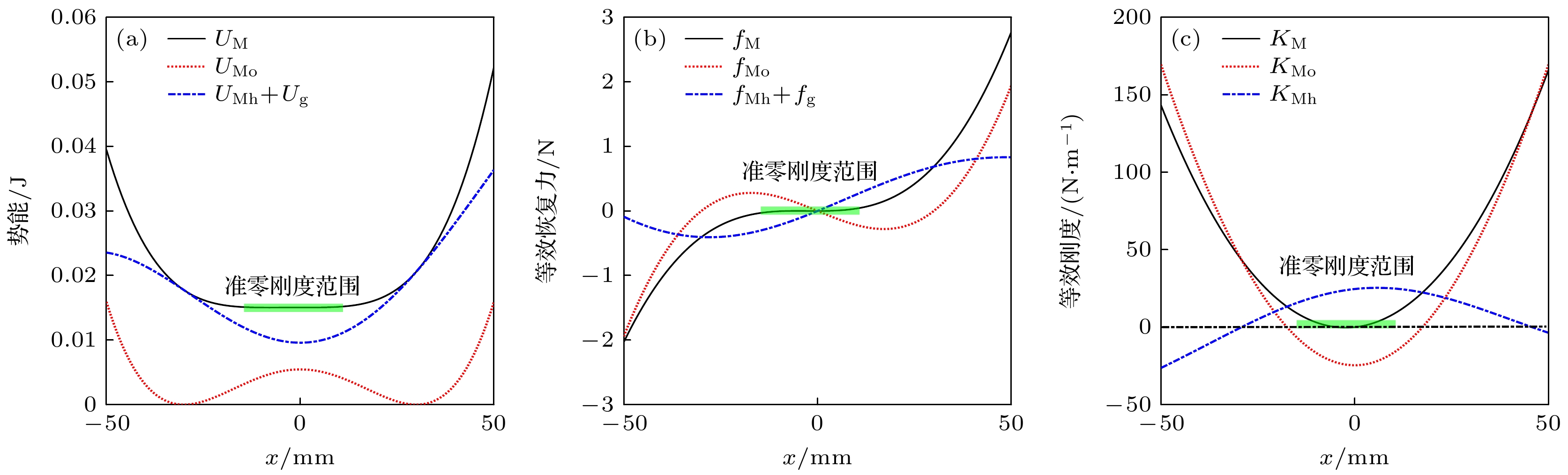
Arthropods, including spiders and mantises, can maintain their body stability on shaking surfaces, such as spiderwebs or leaves. This impressive stability can be attributed to the specific geometric shape of their limbs, which exhibit an M-shaped structure. Inspired by this geometry, this work proposes an arthropod-limb-inspired M-shaped structure for low-frequency vibration isolation. First, the design method of the M-shaped quasi-zero-stiffness (QZS) structure is presented. A static analysis of potential energy, restoring force, and equivalent stiffness is conducted, showing that the M-shaped structure enables a horizontal linear spring to generate nonlinear stiffness in the vertical direction. More importantly, this nonlinear stiffness effectively compensates for the negative stiffness in large-displacement responses, thereby achieving a wider quasi-zero-stiffness region than the conventional three-spring-based QZS structure. Subsequently, the harmonic balance method is employed to derive approximate analytical solutions for the M-shaped QZS structure, which are well validated through numerical simulation. A comparison between the proposed M-shaped QZS structure and the conventional three-spring-based QZS structure is performed. Results show that the M-shaped QZS structure is advantageous for reducing both the cut-in isolation frequency and the resonance frequency. In particular, under large excitation or small damping conditions, the performance improvement of the M-shaped QZS structure in terms of reducing the resonance frequency and maximum response becomes more pronounced. The underlying mechanism behind this feature is primarily attributed to the expanded QZS region induced by the M-shaped structure. Finally, since the M-shaped structures vary among different arthropods, the effect of the geometry of M-shaped structures on low-frequency vibration performance is investigated. Interestingly, a trade-off between vibration isolation performance and loading mass is observed. As the M-shaped structure becomes flatter and the QZS region expands, the cut-in isolation frequency, resonance frequency/peak, and loading mass all decrease. This occurs because a flatter M-shaped structure leads to a reduction in the equivalent stiffness generated by the horizontal stiffness. Therefore, as the loading mass capacity decreases, the low-frequency vibration isolation performance is enhanced. This novel finding provides a reasonable explanation for why most arthropods possess many pairs of limbs, allowing the loading mass to be distributed while achieving excellent low-frequency vibration isolation.