搜索

x

留言板

姓名
邮箱
手机号码
标题
留言内容
验证码

引用本文:
Citation:

林建华, 崔佳浩, 庄全
cstr: 32037.14.aps.74.20250180

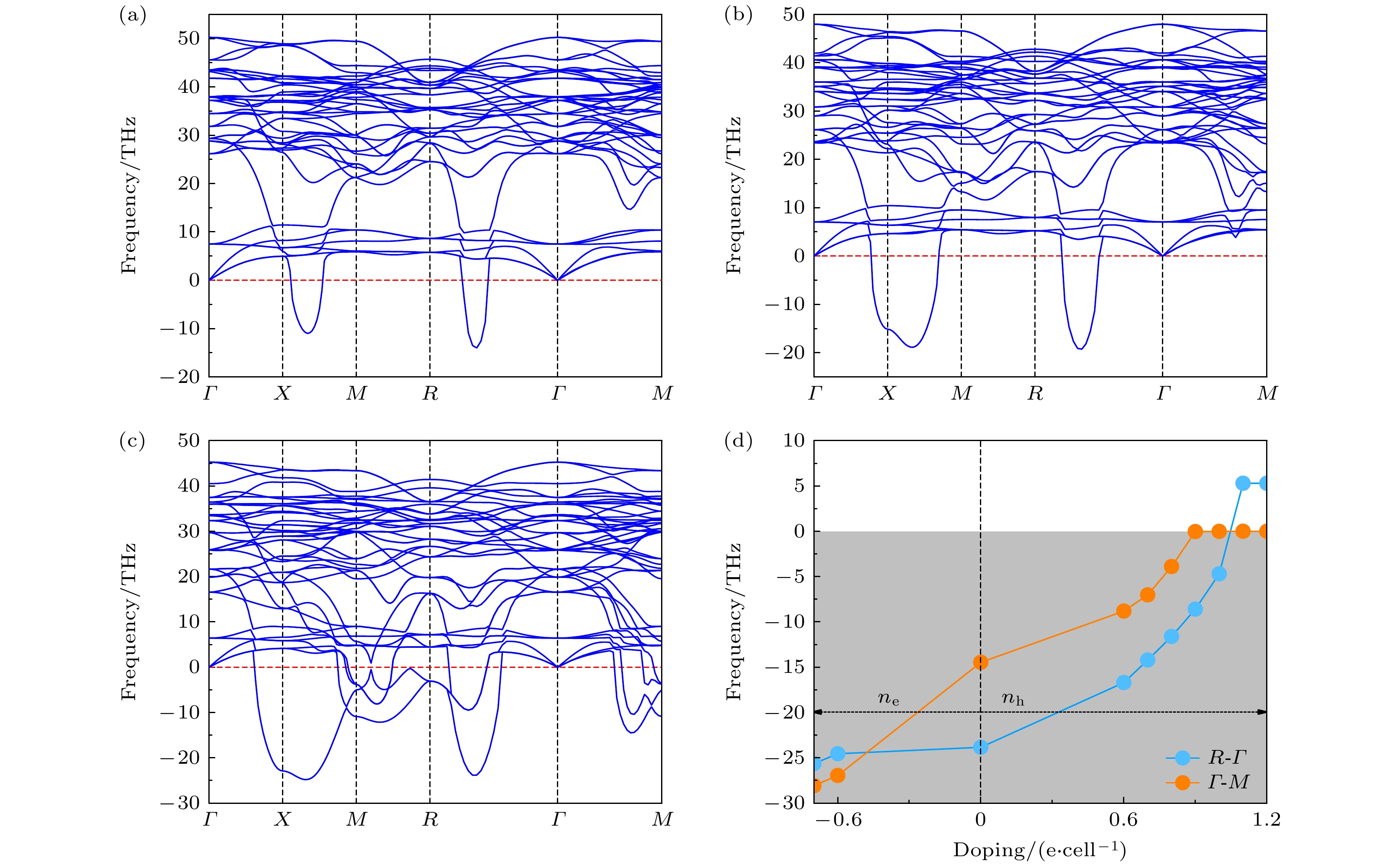
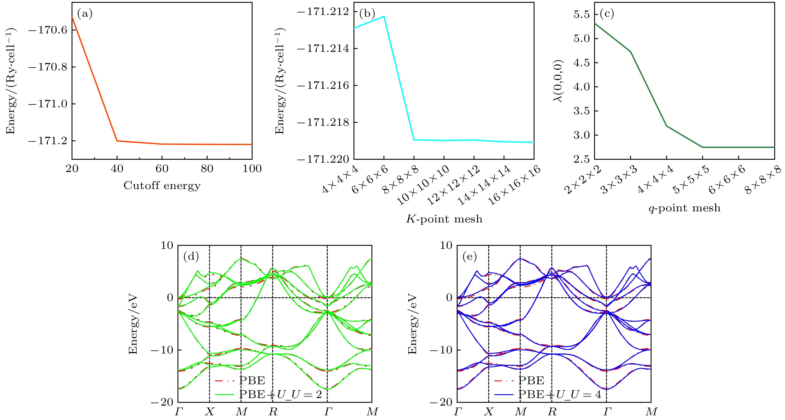
First-principles study of regulation of electron and hole doping in superconducting ternary hydride CaYH12

LIN Jianhua, CUI Jiahao, ZHUANG Quan
cstr: 32037.14.aps.74.20250180
Article Text (iFLYTEK Translation)
PDF
HTML
导出引用
计量
  • 文章访问数:  754
  • PDF下载量:  32
  • 被引次数: 0
出版历程
  • 收稿日期:  2025-02-14
  • 修回日期:  2025-04-16
  • 上网日期:  2025-05-10
  • 刊出日期:  2025-07-05

返回文章
返回