搜索

x

留言板

姓名
邮箱
手机号码
标题
留言内容
验证码

引用本文:
Citation:

丁华平, 刘李晨, 邵里良, 周靖, 左定荣, 柯海波, 汪卫华
cstr: 32037.14.aps.74.20250585

Research progress of ordered regulation engineering for developing high-frequency amorphous-based soft magnetic materials

DING Huaping, LIU Lichen, SHAO Liliang, ZHOU Jing, ZUO Dingrong, KE Haibo, WANG Weihua
cstr: 32037.14.aps.74.20250585
Article Text (iFLYTEK Translation)
PDF
HTML
导出引用
  • 在现代电子通信、人工智能产业快速变革的浪潮中, 第3代半导体的规模化应用推动着高性能高频软磁材料需求的日益增长. 然而, 传统软磁材料的基本性能之间存在着复杂的权衡关系, 例如饱和磁化强度与矫顽力、磁导率与损耗、机械强度与矫顽力往往不能同时兼得. 非晶基软磁材料以内部不同尺度序结构作为关键功能基元, 催生了极其丰富的物理特性. 序调控是一种通过优化序结构本征特性、序构形式来提升性能的理念, 为突破软磁性能的矛盾关系开拓了新的设计维度. 本文首先介绍了软磁材料的发展历程, 然后阐述了序调控的科学理论基础, 综述了基于序调控工程创制高性能非晶基软磁材料的最新进展, 重点介绍短程序、中程序、非晶-纳米晶双相等影响宏观物性的关键序构形式对软磁性能的影响及其作用机制, 最后指出了面向未来高精尖产业前沿的新一代高频软磁材料发展方向.
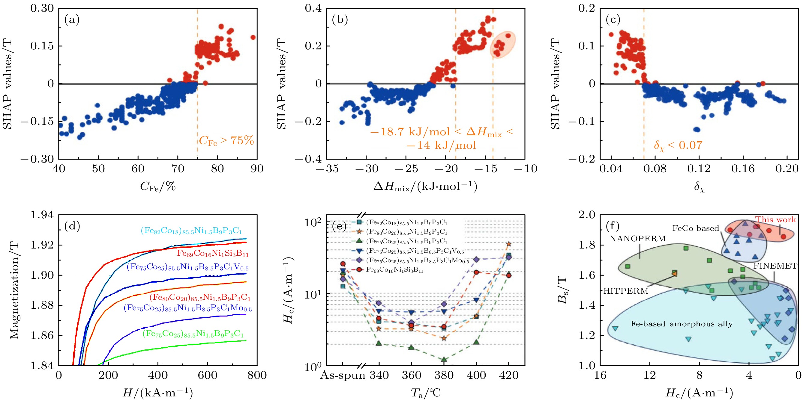
    The rapid advancement of modern electronics, telecommunications, and artificial intelligence has driven an urgent demand for high-performance soft magnetic materials, particularly those compatible with third-generation semiconductors. These semiconductors, characterized by wide bandgaps, high breakdown fields, and superior thermal conductivity, enable power devices to operate at higher frequencies (> 1 MHz) and power densities. However, traditional soft magnetic materials, such as silicon steels and ferrites, face inherent trade-offs between critical properties: saturation magnetization (Bs) versus coercivity (Hc), permeability versus core loss, and mechanical strength versus magnetic “softness”. These limitations hinder their applications in emerging high-frequency high-efficiency scenarios. Amorphous soft magnetic materials, with their unique hierarchical ordered structures ranging from atomic scale to nano scale, offer a revolutionary platform to overcome these trade-offs. These materials exhibit rich physical properties governed by short-range order (SRO, < 0.5 nm), medium-range order (MRO, 0.5–2.0 nm), and amorphous-nanocrystalline dual-phase architectures. The concept of order modulation strategically tailoring the intrinsic characteristics (e.g., cluster density, topological configuration) and spatial arrangements of these ordered structures has emerged as a transformative approach to decoupling conflicting material properties. This review systematically examines the following key aspects: 1) Historical evolution of soft magnetic materials The development of soft magnetic materials has kept pace with advances in power electronics technology, from early silicon steels and ferrites to modern amorphous and nanocrystalline alloys. The advent of Fe-based amorphous alloys and finemet-type nanocrystalline alloys marks milestones in achieving high Bs (>1.6 T), ultra-low Hc (< 1 A/m), and reduces core losses at high frequencies. However, performance bottlenecks still exist near theoretical limits, and require innovative strategies. 2) Theoretical foundations of order modulation Order parameter theory: Landau’s phase transition theory and synergetics elucidate how magnetic order parameters govern macroscopic properties. In amorphous alloys, magnetic interactions are dominated by SRO clusters and their MRO arrangements.Magnetism-structure relationships: advanced techniques, such as atomic electron tomography (AET) and synchrotron pair distribution function (PDF) analysis, reveal that SRO/MRO structures directly influence exchange coupling, magnetic anisotropy, and domain wall dynamics. For instance, Fe-M (M = Si, B) clusters with dense packing enhance Bs, while MRO homogenization reduces Hc. 3) Advances in order-modulated amorphous soft magnetic materials Atomic-scale modulation: elemental doping (e.g., Co, Mo, Cu) and energy-field treatments (e.g., magnetic annealing and ultrasonic vibration) optimize local atomic configurations. For example, ultrasonic processing of Fe78Si9B13 ribbons induces stress relaxation, forming 2–3 nm Fe-M clusters that increase Bs to 183.2 emu/g while maintaining Hc at 4.2 A/m.Nanoscale dual-phase design: controlled crystallization of α-Fe(Si) nanocrystals (<15 nm) within an amorphous matrix creates exchange-coupled nanocomposites. Co-Mo co-doping in FeSiBCuNb alloys refines grain size to 11.8 nm, achieving a permeability of 65000 H/m at 100 kHz–44% higher than traditional finemet alloys.Interface engineering in soft magnetic composites (SMCs): core-shell architectures (e.g., FeSiB@FeB nanoparticles) with stress-buffering interfaces reduce eddy current losses while preserving permeability. Cold sintering of vortex-domain FeSiAl powders enables GHz-range operation with stable permeability (μi = 13 at 1 GHz). 4) Future directions and challenges Machine learning-driven design: integrating high-throughput simulations with AI models (e.g., XGBoost, random forests) accelerates the discovery of optimal compositions and order parameters. Recent work predicts Bs by using Fe content, mixing enthalpy, and electronegativity differences, guiding the synthesis of (Fe82Co18)85.5Ni1.5B9P3C1 alloys with Bs = 1.92 T.The new magnetic topology structure: the magnetic vortex structures and skyrmion-like configurations in ultrafine powders show the prospect of ultra-high-frequency applications (>100 MHz).Low-stress manufacturing: innovations such as ultrasonic rheoforming reduce compaction pressures by 99% (to 6.2 MPa), alleviating residual stress and improving SMC performance.In situ characterization: neutron scattering and grating-based imaging techniques enable real-time observation of domain dynamics under operational conditions (e.g., stress, magnetic fields).In conclusion, ordered modulation represents a paradigm shift in the design of soft magnetic material, linking atomic-scale interactions with macroscopic performance. By using multi-scale ordered structures and advanced manufacturing technologies, the next-generation amorphous-based materials are expected to revolutionize high-frequency power electronics, electric vehicles, and AI-driven systems. However, challenges in scalable production, cost-effective processing, and standardized evaluation must be addressed to accelerate industrial adoption.
      通信作者: 周靖, zhoujing@sslab.org.cn ; 柯海波, kehaibo@sslab.org.cn
    • 基金项目: 国家自然科学基金(批准号: 52471179, 52401218, 52301212)、广东省量子科学战略专项(批准号: GDZX2402001)、深圳市创新创业计划科技重大专项项目(批准号: KJZD20240903104100001)和中国博士后科学基金(批准号: 2024M752302)资助的课题.
      Corresponding author: ZHOU Jing, zhoujing@sslab.org.cn ; KE Haibo, kehaibo@sslab.org.cn
    • Funds: Project supported by the National Natural Science Foundation of China (Grant Nos. 52471179, 52401218, 52301212), the Quantum Science Strategic Initiative Guangdong Province, China (Grant No. GDZX2402001), the Innovation and Entrepreneurship Program of Science and Technology Major Special Project of Shenzhen, China (Grant No. KJZD20240903104100001), and the China Postdoctoral Science Foundation (Grant No. 2024M752302).
    [1]

    [2]

    [3]

    [4]

    [5]

    [6]

    [7]

    [8]

    [9]

    [10]

    [11]

    [12]

    [13]

    [14]

    [15]

    [16]

    [17]

    [18]

    [19]

    [20]

    [21]

    [22]

    [23]

    [24]

    [25]

    [26]

    [27]

    [28]

    [29]

    [30]

    [31]

    [32]

    [33]

    [34]

    [35]

    [36]

    [37]

    [38]

    [39]

    [40]

    [41]

    [42]

    [43]

    [44]

    [45]

    [46]

    [47]

    [48]

    [49]

    [50]

    [51]

    [52]

    [53]

    [54]

    [55]

    [56]

    [57]

    [58]

    [59]

    [60]

    [61]

    [62]

    [63]

    [64]

    [65]

    [66]

    [67]

    [68]

    [69]

    [70]

    [71]

    [72]

    [73]

    [74]

    [75]

    [76]

    [77]

    [78]

    [79]

    [80]

    [81]

    [82]

    [83]

    [84]

    [85]

    [86]

    [87]

  • [1]

    [2]

    [3]

    [4]

    [5]

    [6]

    [7]

    [8]

    [9]

    [10]

    [11]

    [12]

    [13]

    [14]

    [15]

    [16]

    [17]

    [18]

    [19]

    [20]

    [21]

    [22]

    [23]

    [24]

    [25]

    [26]

    [27]

    [28]

    [29]

    [30]

    [31]

    [32]

    [33]

    [34]

    [35]

    [36]

    [37]

    [38]

    [39]

    [40]

    [41]

    [42]

    [43]

    [44]

    [45]

    [46]

    [47]

    [48]

    [49]

    [50]

    [51]

    [52]

    [53]

    [54]

    [55]

    [56]

    [57]

    [58]

    [59]

    [60]

    [61]

    [62]

    [63]

    [64]

    [65]

    [66]

    [67]

    [68]

    [69]

    [70]

    [71]

    [72]

    [73]

    [74]

    [75]

    [76]

    [77]

    [78]

    [79]

    [80]

    [81]

    [82]

    [83]

    [84]

    [85]

    [86]

    [87]

  • [1] 王寿成, 潘强强, 宁睿, 彭海龙. 软硬相序构金属玻璃中的剪切带行为. 必威体育下载 , 2025, 74(19): . doi: 10.7498/aps.74.20250845
    [2] 张剑, 郝奇, 张浪渟, 乔吉超. 不同力学激励形式探索La基非晶合金微观结构非均匀性. 必威体育下载 , 2024, 73(4): 046101. doi: 10.7498/aps.73.20231421
    [3] 肖东东, 谷林. 基元构筑的功能材料皮米尺度结构. 必威体育下载 , 2023, 72(11): 116801. doi: 10.7498/aps.72.20230045
    [4] 缪培贤, 王涛, 史彦超, 高存绪, 蔡志伟, 柴国志, 陈大勇, 王建波. 在开磁路中利用抽运-检测型铷原子磁力仪测量软磁材料的矫顽力. 必威体育下载 , 2022, 71(24): 244206. doi: 10.7498/aps.71.20221618
    [5] 孙奕韬, 王超, 吕玉苗, 胡远超, 罗鹏, 刘明, 咸海杰, 赵德乾, 丁大伟, 孙保安, 潘明祥, 闻平, 白海洋, 柳延辉, 汪卫华. 非晶材料与物理近期研究进展. 必威体育下载 , 2018, 67(12): 126101. doi: 10.7498/aps.67.20180681
    [6] 姚可夫, 施凌翔, 陈双琴, 邵洋, 陈娜, 贾蓟丽. 铁基软磁非晶/纳米晶合金研究进展及应用前景. 必威体育下载 , 2018, 67(1): 016101. doi: 10.7498/aps.67.20171473
    [7] 孙星, 默广, 赵林志, 戴兰宏, 吴忠华, 蒋敏强. 小角X射线散射表征非晶合金纳米尺度结构非均匀. 必威体育下载 , 2017, 66(17): 176109. doi: 10.7498/aps.66.176109
    [8] 陈娜, 张盈祺, 姚可夫. 源于非晶合金的透明磁性半导体. 必威体育下载 , 2017, 66(17): 176113. doi: 10.7498/aps.66.176113
    [9] 管鹏飞, 王兵, 吴义成, 张珊, 尚宝双, 胡远超, 苏锐, 刘琪. 不均匀性:非晶合金的灵魂. 必威体育下载 , 2017, 66(17): 176112. doi: 10.7498/aps.66.176112
    [10] 平志海, 钟鸣, 龙志林. 基于逾渗理论的非晶合金屈服行为研究. 必威体育下载 , 2017, 66(18): 186101. doi: 10.7498/aps.66.186101
    [11] 柯海波, 蒲朕, 张培, 张鹏国, 徐宏扬, 黄火根, 刘天伟, 王英敏. 铀基非晶合金的发展现状. 必威体育下载 , 2017, 66(17): 176104. doi: 10.7498/aps.66.176104
    [12] 柳延辉. 非晶合金的高通量制备与表征. 必威体育下载 , 2017, 66(17): 176106. doi: 10.7498/aps.66.176106
    [13] 王峥, 汪卫华. 非晶合金中的流变单元. 必威体育下载 , 2017, 66(17): 176103. doi: 10.7498/aps.66.176103
    [14] 卞西磊, 王刚. 非晶合金的离子辐照效应. 必威体育下载 , 2017, 66(17): 178101. doi: 10.7498/aps.66.178101
    [15] 霍军涛, 盛威, 王军强. 非晶合金的磁热效应及磁蓄冷性能. 必威体育下载 , 2017, 66(17): 176409. doi: 10.7498/aps.66.176409
    [16] 冯涛, Horst Hahn, Herbert Gleiter. 纳米结构非晶合金材料研究进展. 必威体育下载 , 2017, 66(17): 176110. doi: 10.7498/aps.66.176110
    [17] 于红云. 超导磁体剩余磁场对软磁材料测试的影响. 必威体育下载 , 2014, 63(4): 047502. doi: 10.7498/aps.63.047502
    [18] 丁燕红, 李明吉, 杨保和, 马叙. Fe15.38Co61.52Cu0.6Nb2.5Si11B9纳米晶软磁合金的交流磁性. 必威体育下载 , 2011, 60(9): 097502. doi: 10.7498/aps.60.097502
    [19] 闫志杰, 李金富, 周尧和, 仵彦卿. 压痕塑性变形诱导非晶合金的晶化. 必威体育下载 , 2007, 56(2): 999-1003. doi: 10.7498/aps.56.999
    [20] 陆曹卫, 卢志超, 孙 克, 李德仁, 周少雄. 水雾化制备Fe74Al4Sn2P10C2B4Si4非晶合金粉末及其磁粉芯性能研究. 必威体育下载 , 2006, 55(5): 2553-2556. doi: 10.7498/aps.55.2553
计量
  • 文章访问数:  1751
  • PDF下载量:  157
  • 被引次数: 0
出版历程
  • 收稿日期:  2025-04-30
  • 修回日期:  2025-05-15
  • 上网日期:  2025-05-27
  • 刊出日期:  2025-07-05

返回文章
返回