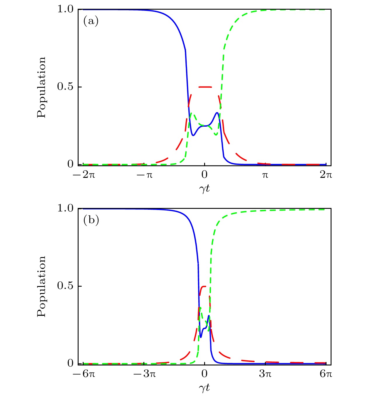
Coherent population transfer in quantum systems is of fundamental importance in many fields such as atomic and molecular collision dynamics, and information processing for qubit systems. Stimulated Raman nonadiabatic passage technique, when implemented in an externally driven three-level system, provides an efficient approach for realizing accelerated population transfer while maintaining robust quantum coherence, with no need of rotating wave approximation. However, previous protocols employ multiple pulses and imply that Rabi frequencies have a few oscillations during dynamical evolution. In this work, under the condition of two-photon resonance, we use a gauge transformation method to inversely design a Λ-configuration three-level system that can be solved exactly. By using SU(3) transformation, we establish the relationship between Schrödinger representation and gauge representation, where the effective Hamiltonian is an Abelian operator. Subsequently, we construct the desired Hamiltonian and further investigate its dynamic behavior. The result shows that by imposing appropriate boundary conditions on the control parameters, high-fidelity population transfer can be achieved in ideal evolution. In addition, for the practical case with pulse truncation and intermediate state decay, the fidelities of specific models can reach about 99.996% and 99.983%, respectively. Compared with other existing nonadiabatic quantum control schemes, the present scheme has the distinctive advantages. We achieve the required quantum control by applying only a few sets of Stokes and pump pulses without introducing any additional microwave field. This method does not exhibit Rabi oscillations in the dynamic process, nor does it produce singularities in the pulse itself.