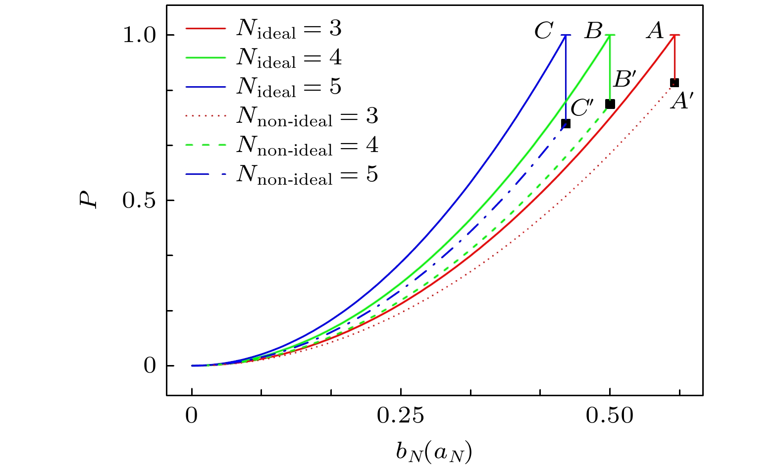
In recent years, quantum communication technology has developed rapidly, and quantum communication schemes based on hyperentangled states have attracted widespread attention due to their efficiency and security. However, in practical communication, maximally hyperentangled states are highly susceptible to environmental noise, which causes them to degrade into non-maximally hyperentangled states. This degradation significantly reduces the fidelity of the quantum information and communication efficiency. In this article, we propose an efficient entanglement concentration scheme to restore degraded polarization-time hyperentangled W states, thereby enhancing the reliability and transmission distance of multiparty quantum communication. The protocol employs the parameter-splitting approach, where the receiver performs local operations on received non-maximally hyperentangled photons by using linear optical elements, achieving hyperentanglement concentration through detector responses and post-selection. This method eliminates the need for auxiliary photons, thereby reducing the use of quantum resources and maintaining operational simplicity. Moreover, the scheme can be extended to N-photon hyperentangled W states. The theoretical calculations demonstrate that the success probability of the protocol is determined by the minimal parameter of the hyperentangled state, exhibiting a monotonic increase as this parameter grows. Under ideal conditions, the maximum success probability approaches unity and the success probability improves with the number of entangled photons increasing. When considering the efficiency of practical optical components, the maximal success probabilities for hyperentangled W states with N = 3, 4, and 5 are found to be 0.856, 0.791, and 0.732, respectively. Consequently, the proposed scheme efficiently concentrates the degraded polarization-time hyperentangled W state into the maximally hyperentangled state. This work is of significant importance for long-distance information transmission and provides theoretical references for implementing long-distance multi-party quantum communication.