-
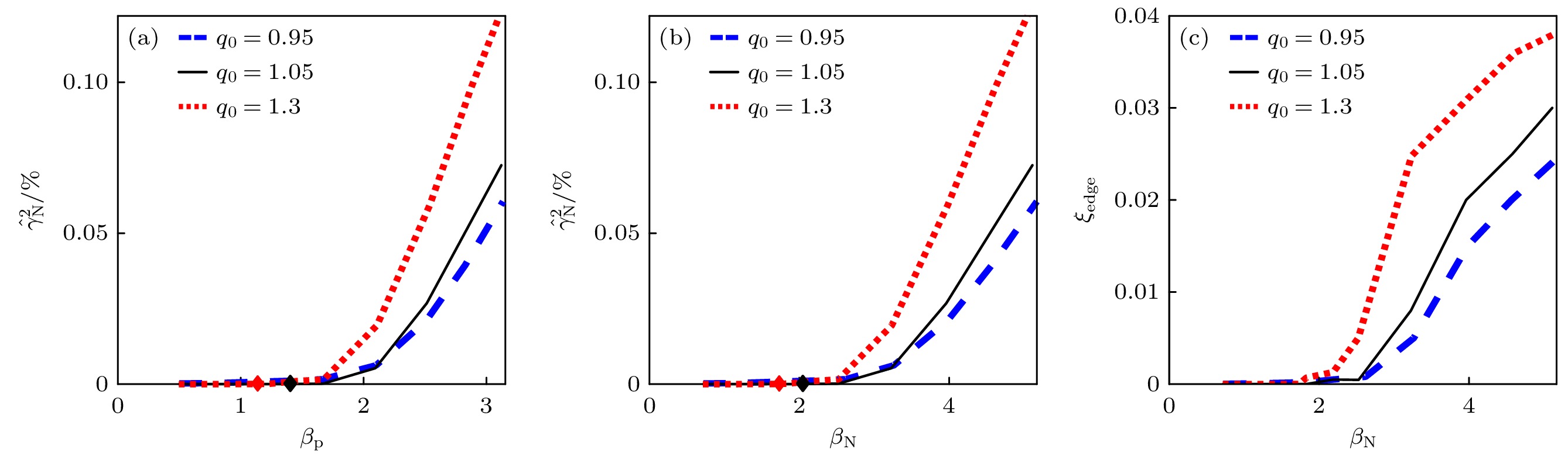
圆形截面等离子体是最基本的托卡马克等离子体形态, 是磁约束聚变实验研究的基础位形. 本文基于HL-2A装置限制器位形放电实验, 研究了托卡马克圆形截面等离子磁流体动力学(MHD)平衡和MHD不稳定性. 研究表明, 当$ {q}_{0}=0.95 $时, $ m/n=1/1 $内扭曲模总是不稳定的. 轴安全因子$ {q}_{0} $和边缘安全因子$ {q}_{{\mathrm{a}}} $的组合决定了等离子体的平衡位形, 也影响着平衡的MHD稳定性, 但其不稳定性增长率与比压($ \beta $)的大小相关联. 在$ {q}_{{\mathrm{a}}} > 2 $和$ {q}_{0} $稍大于1的条件下, 可以容易实现内扭曲模和表面扭曲模的稳定. 但当$ {q}_{0} $超过1较多时, 等离子体又变得不稳定, 且等离子体(扭曲)不稳定性强度随$ {q}_{0} $的继续增高而增强. 随着极向比压($ {\beta }_{{\mathrm{p}}} $)的增加, MHD不稳定性会增强, MHD平衡位形横向拉长, Shafranov位移增加, 这反过来又有抑制不稳定性的作用. 计算发现, HL-2A圆形截面等离子体的运行比压极限约为$ {\beta }_{{\mathrm{N}}}^{{\mathrm{c}}}\cong 2.0. $ 较高的$ {q}_{0} $不利于MHD稳定性, 引起比压极限降低. 当$ {q}_{0}=1.3 $时, 得到最大$ {\beta }_{{\mathrm{N}}}\approx 1.8 $. 最后, 基于现有的圆形横截面等离子体, 讨论了影响运行$ \beta $的一些关键因素以及可期实现的高比压和理想比压极限之间的关系问题.Circular cross-section plasma is the most basic form of tokamak plasma and the fundamental configuration for magnetic confinement fusion experiments. Based on the HL-2A limiter discharge experiments, the magnetohydrodynamic (MHD) equilibrium and MHD instability of circular cross-section tokamak plasmas are investigated in this work. The results show that when $ {q}_{0}=0.95 $, the internal kink mode of $ m/n=1/1 $ is always unstable. The increase in plasma $ \beta $ (the ratio of thermal pressure to magnetic pressure) can lead to the appearance of external kink modes. The combination of axial safety factor $ {q}_{0} $ and edge safety factor $ {q}_{{\mathrm{a}}} $ determines the equilibrium configuration of the plasma and also affects the MHD stability of the equilibrium, but its growth rate is also related to the size of $ \beta $. Under the condition of $ {q}_{{\mathrm{a}}} > 2 $ and $ {q}_{0} $ slightly greater than 1, the internal kink mode and surface kink mode can be easily stabilized. However the plasma becomes unstable again and the instability intensity increases as $ {q}_{0} $ continues to increase when $ {q}_{0} $ exceeds $ 1 $. As the poloidal specific pressure ($ {\beta }_{{\mathrm{p}}} $) increases, the MHD instability develops, the equilibrium configuration of MHD elongates laterally, and the Shafranov displacement increases, which in turn has the effect on suppressing instability. Calculations have shown that the maximum $ \beta $ value imposed by the ideal MHD mode in a plasma with free boundary in tokamak experiments is proportional to the normalized current $ {I}_{{\mathrm{N}}} $ ($ {I}_{{\mathrm{N}}}={I}_{{\mathrm{p}}}\left({\mathrm{M}}{\mathrm{A}}\right)/a\left({\mathrm{m}}\right){B}_{0}\left({\mathrm{T}}\right) $), and the maximum specific pressure $ \beta \left({\mathrm{m}}{\mathrm{a}}{\mathrm{x}}\right) $ is calibrated to be $ ~2.01{I}_{{\mathrm{N}}},{\mathrm{ }}{\mathrm{i}}. {\mathrm{e}}. $ $ \beta \left({\mathrm{m}}{\mathrm{a}}{\mathrm{x}}\right)\sim 2.01{I}_{{\mathrm{N}}} $. The operational $ \beta $ limit of HL-2A circular cross-section plasma is approximately $ {\beta }_{{\mathrm{N}}}^{{\mathrm{c}}}\approx 2.0 $. Too high a value of $ {q}_{0} $ is not conducive to MHD stability and leads the $ \beta $ limit value to decrease. When $ {q}_{0}=1.3 $, we obtain a maximum value of $ {\beta }_{{\mathrm{N}}} $ of approximately $ 1.8 $. Finally, based on the existing circular cross-section plasma, some key factors affecting the operational $ \beta $ and the relationship between the achievable high $ \beta $ limit and the calculated ideal $ \beta $ limit are discussed.
-
Keywords:
- circular cross-section plasma /
- magnetohydrodynamic equilibrium /
- magnetohydrodynamic instability /
- kink mode /
- $ \beta $ limit
[1] [2] [3] [4] [5] [6] [7] [8] [9] [10] [11] [12] [13] [14] [15] [16] [17] [18] [19] [20] [21] [22] [23] [24] [25] [26] [27] [28] [29] [30] [31] [32] [33] [34] [35] [36] -
[1] [2] [3] [4] [5] [6] [7] [8] [9] [10] [11] [12] [13] [14] [15] [16] [17] [18] [19] [20] [21] [22] [23] [24] [25] [26] [27] [28] [29] [30] [31] [32] [33] [34] [35] [36]
计量
- 文章访问数: 895
- PDF下载量: 35
- 被引次数: 0








下载:
