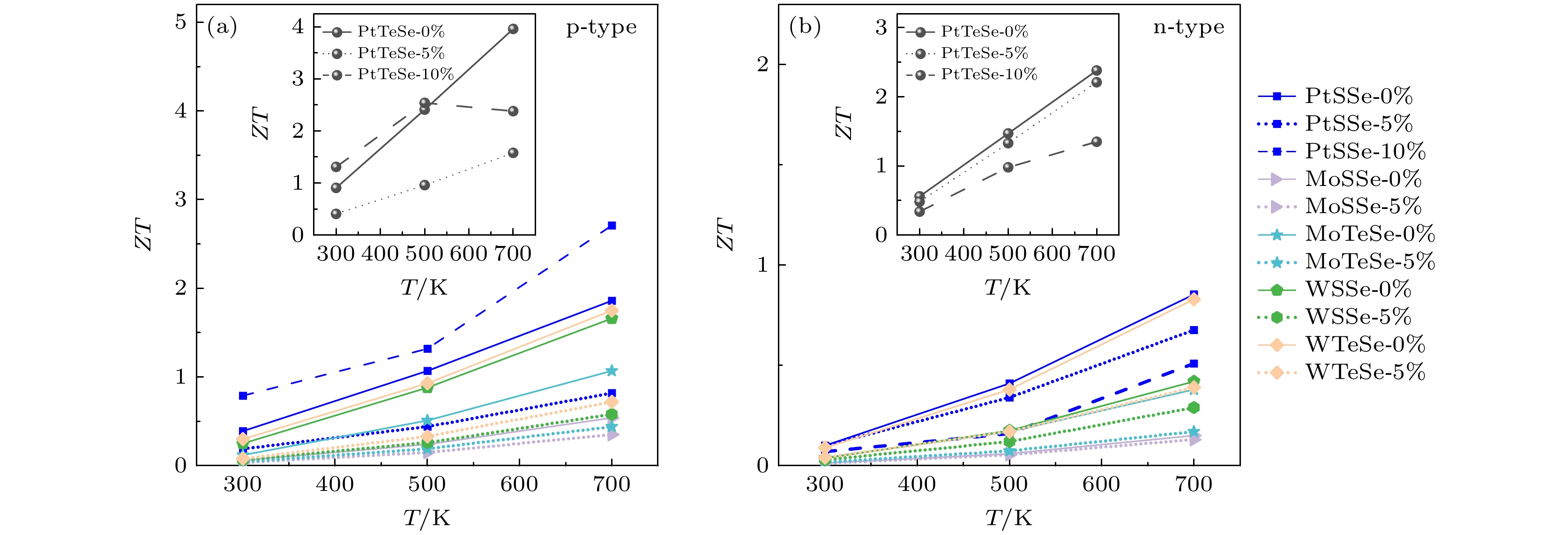
Janus transition metal dichalcogenide monolayers, characterized by antisymmetric crystal structures and unique physical properties, show great potential applications in micro/nano-electronic devices and thermoelectrics. In this work, the strain-tuned phonon thermal transport and thermoelectric performance of six Janus transition metal dichalcogenide monolayers are systematically investigated by first-principles calculations. This study focuses on monolayers of PtSSe and PtTeSe with a 1T-phase crystal structure, as well as monolayers of MoSSe, MoTeSe, WSSe, and WTeSe with a 1H-phase crystal structure. For all these monolayers, first-principles calculations are performed using the open-source software Quantum ESPRESSO. The lattice thermal conductivity is obtained based on lattice dynamics and iterative solutions of the Boltzmann transport equation. The thermal conductivities of PtSSe, MoSSe, and WSSe monolayers are generally higher than those of PtTeSe, MoTeSe, and WTeSe. Acoustic phonons are responsible for the majority of thermal transport, contributing over 95%. Under unstrained conditions, monolayer PtSSe demonstrates a superior thermal conductivity of 104 W·m–1·K–1, making it advantageous for thermal management applications in electronic devices. Under tensile strain, the thermal conductivities of PtSSe, MoSSe, and WSSe monolayers exhibit a monotonic decrease trend; however, for PtTeSe, MoTeSe, and WTeSe monolayers, their thermal conductivities initially show an increase trend, followed by a subsequent decrease trend. Under a 10% tensile strain, the thermal conductivities of these six Janus monolayers all demonstrate a reduction exceeding 60%. Furthermore, this work provides a comprehensive analysis of the influences of strain on specific heat capacity, phonon group velocity, and phonon lifetime. The phonon mode-level analysis and cross-calculated thermal conductivity (with specific heat capacity, phonon group velocity, and phonon lifetime replaced by values under different strain conditions) reveal that phonon lifetime is the dominant factor governing thermal conductivity under strain. For electrical transport properties, calculations are performed using the Boltzmann transport equation based on deformation potential theory. At room temperature, the thermoelectric figure of merit (ZT) for PtTeSe is 0.91 without strain, which can be improved to 1.31 under 10% tensile strain. The ZT value reaches as high as 3.96 for p-type PtTeSe and 2.38 for n-type PtTeSe at 700 K, indicating that the PtTeSe monolayer is a highly promising thermoelectric material. Strain-induced enhancement in the thermoelectric performance of PtTeSe is facilitated by reducing lattice thermal conductivity and reconfigurating the band structure. This work demonstrates that strain engineering is an effective strategy for adjusting the thermal transport and thermoelectric properties of Janus transition metal dichalcogenide monolayers.