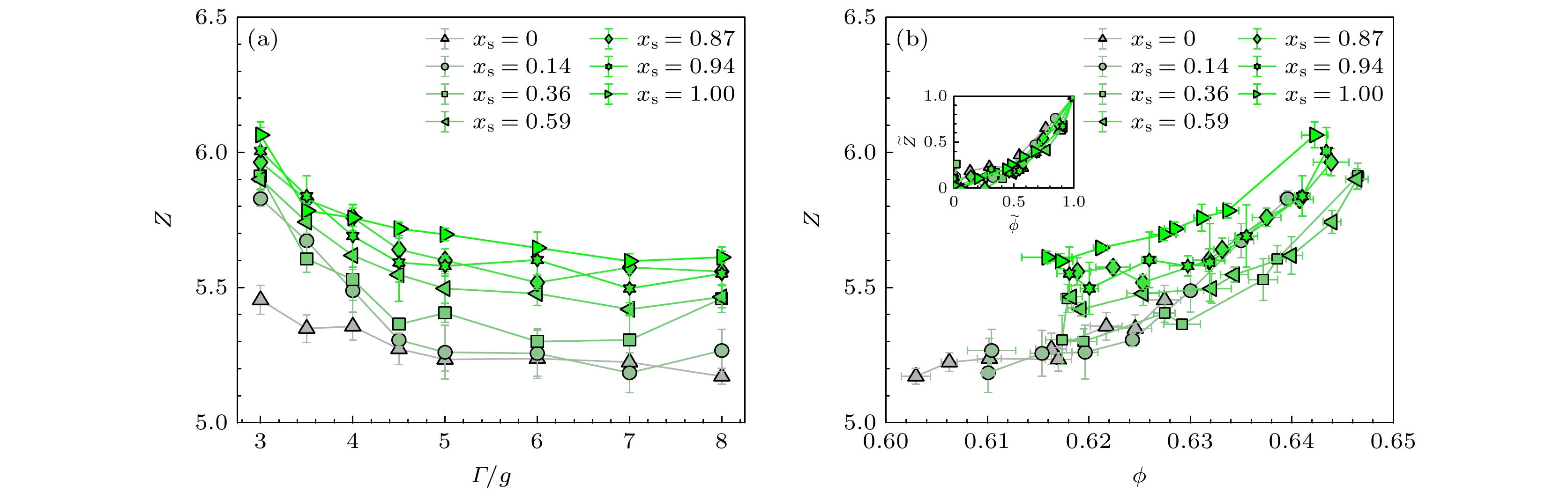
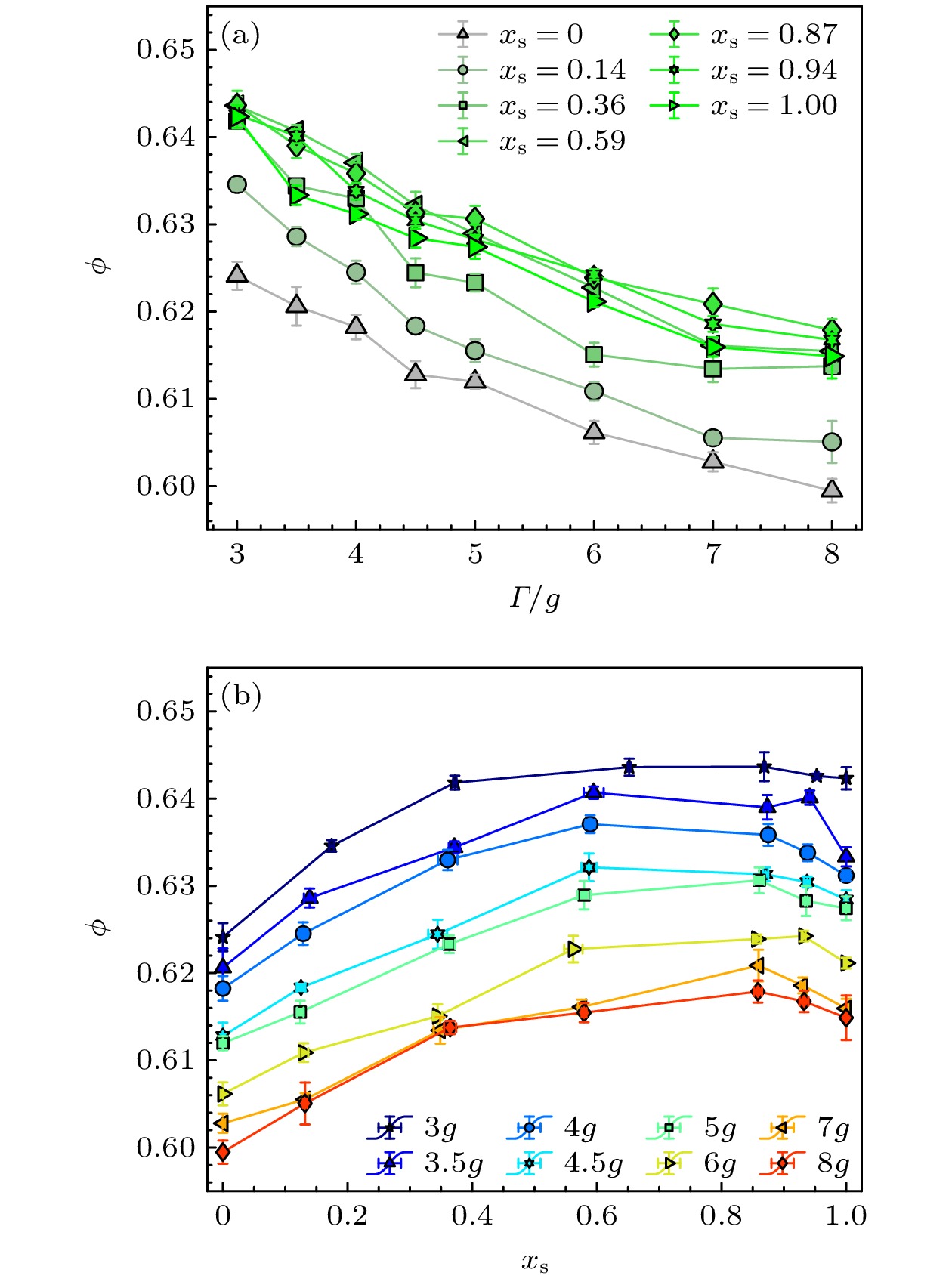
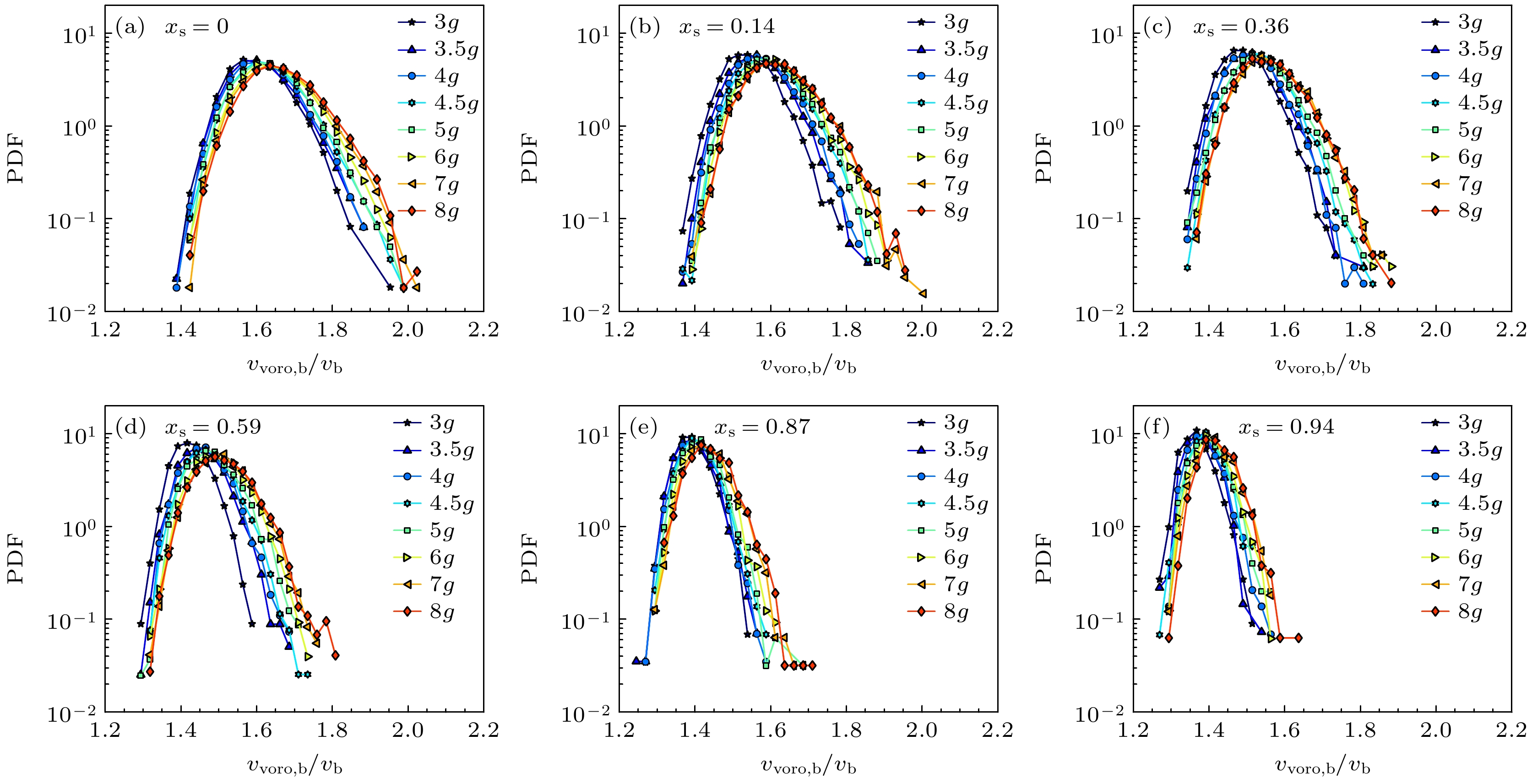
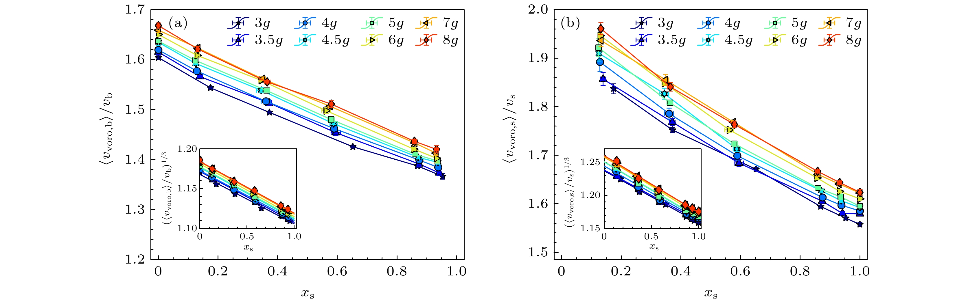
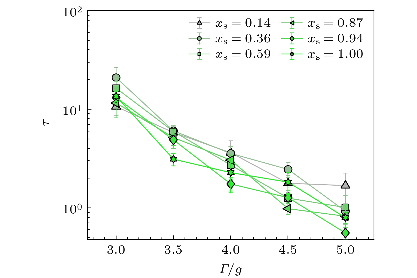
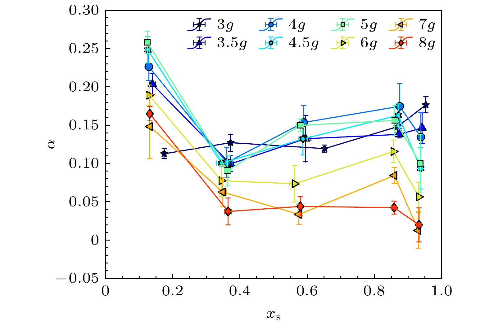
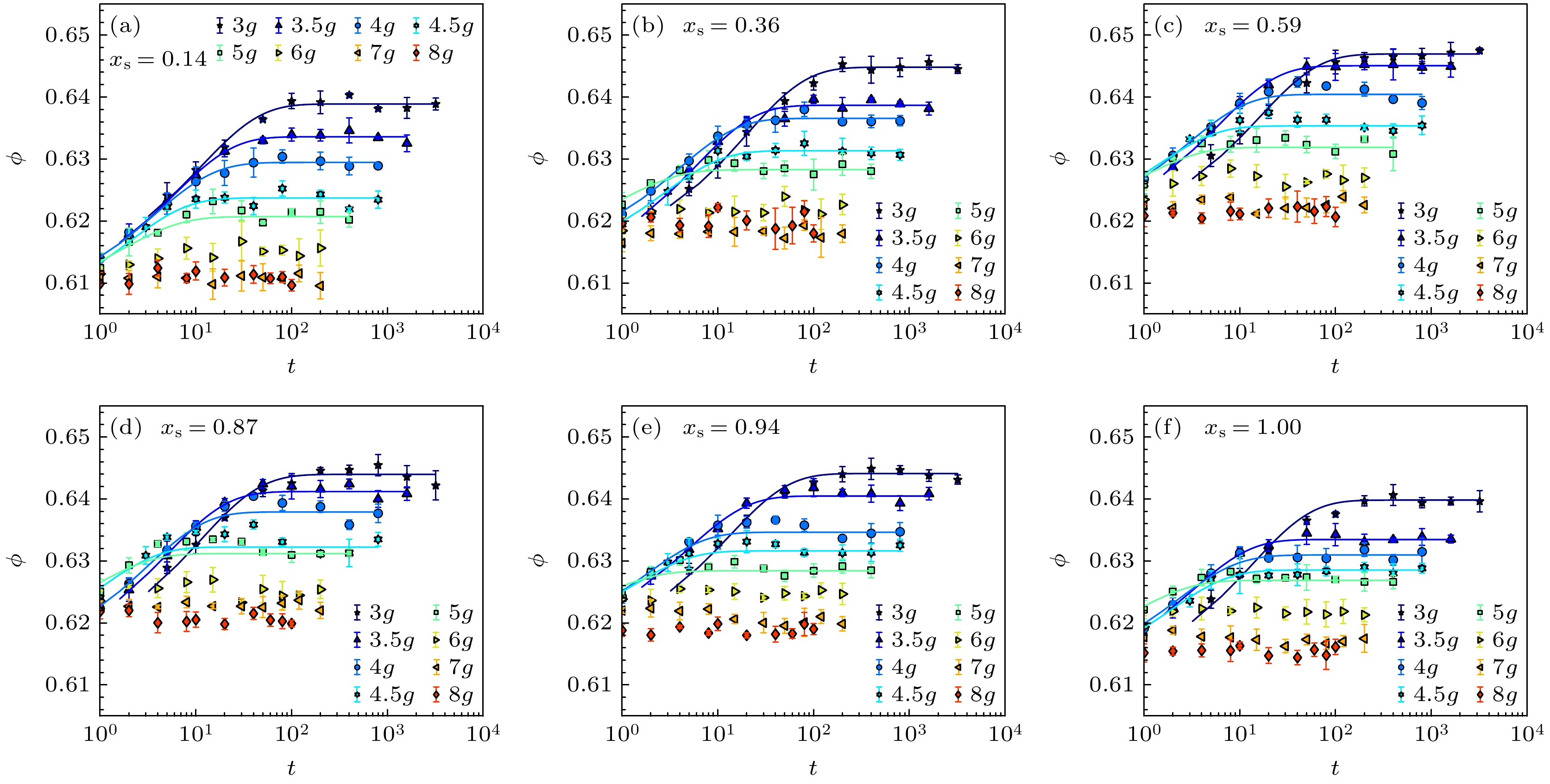
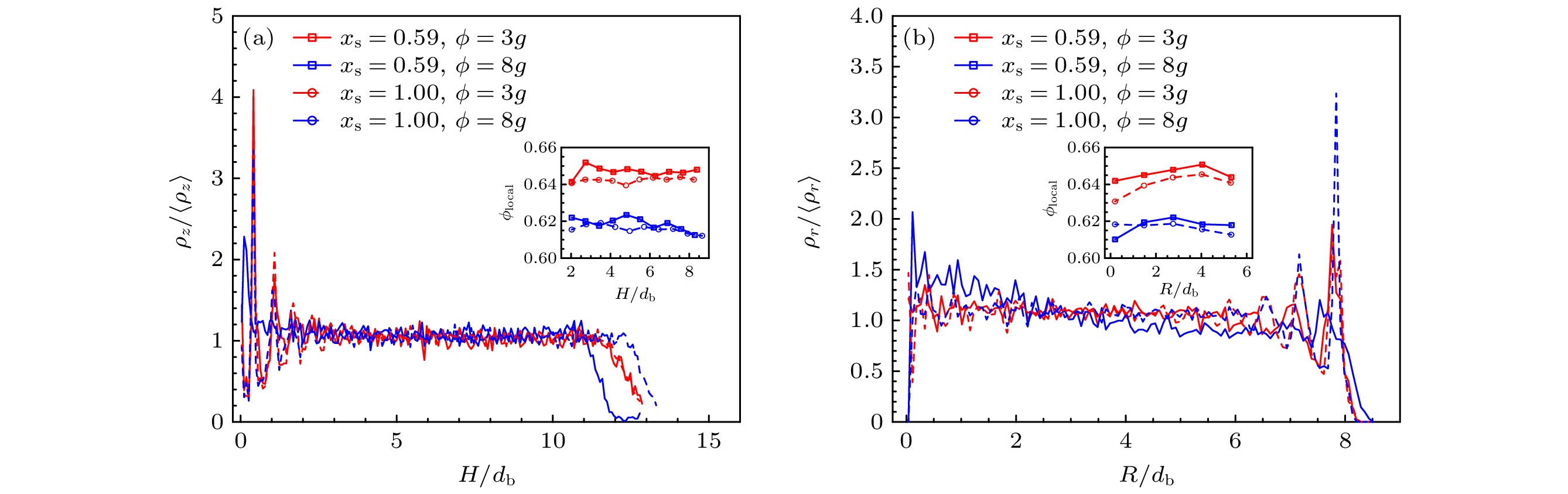
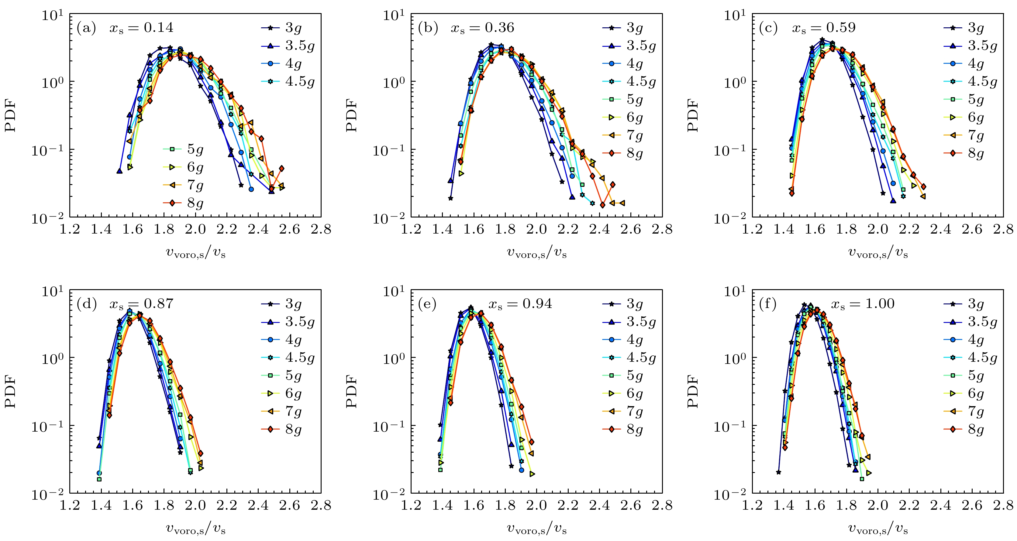
The packing behavior and mechanical properties of granular materials play a critical role in various engineering applications, including materials handling, construction, and energy storage. Although significant progress has been made in understanding the packing of monodisperse spheres, real-world granular systems often exhibit polydispersity, where particles of different sizes coexist. Binary systems, where the particle size ratio is adjustable, serve as a simplified model to study the structural and dynamical properties of granular materials. However, most theoretical studies on binary systems focus on idealized frictionless models, neglecting the coupled effects of friction and preparation history, and experimental data for three-dimensional systems remain limited. This study seeks to address these gaps by investigating the packing behavior of binary hard spheres under tapping through using advanced experimental techniques such as X-ray computed tomography (CT) and tap-driven compaction. The effects of particle size ratio and tap intensity on the packing fraction and local structure of binary granular systems are investigated systematically. The experimental results show that the steady-state packing fraction decreases as tap intensity increases, exhibiting similar behavior at different composition ratios. Additionally, the compaction dynamics are quantified using the Kohlrausch-Williams-Watts (KWW) relaxation function, revealing that the relaxation time decays exponentially with tap intensity increasing, independent of the composition ratio. Voronoi cell analysis demonstrates that the local volume distribution of each component in a bidisperse system composed of big particles and small particles is highly similar to that in a monodisperse system. Notably, as tap intensity decreases, the system density increases, and volume fluctuation decreases, reflecting the trends observed in monodisperse packings. Furthermore, the study highlights the influence of friction on the packing structure. For binary systems, big particles, with rougher surfaces, pack more loosely than smaller particles, and the coordination number increases with the proportion of smaller particles increasing. This suggests that frictional interactions between particles play a significant role in determining the packing density and structural stability of granular materials. The average coordination number and the steady-state packing fraction are found to be weakly dependent on each other, with friction and tap intensity (or effective temperature) being the primary factors affecting the system’s structural characteristics. These findings provide a comprehensive experimental framework for understanding the packing behavior of binary granular systems, with important implications for material design in industrial applications. This study contributes to developing a more complete statistical mechanical theory for granular materials through combining both frictional effects and the influence of preparation history. Future research may extend these findings to more complex particle size distributions and explore the relationship between structural property and mechanical property.