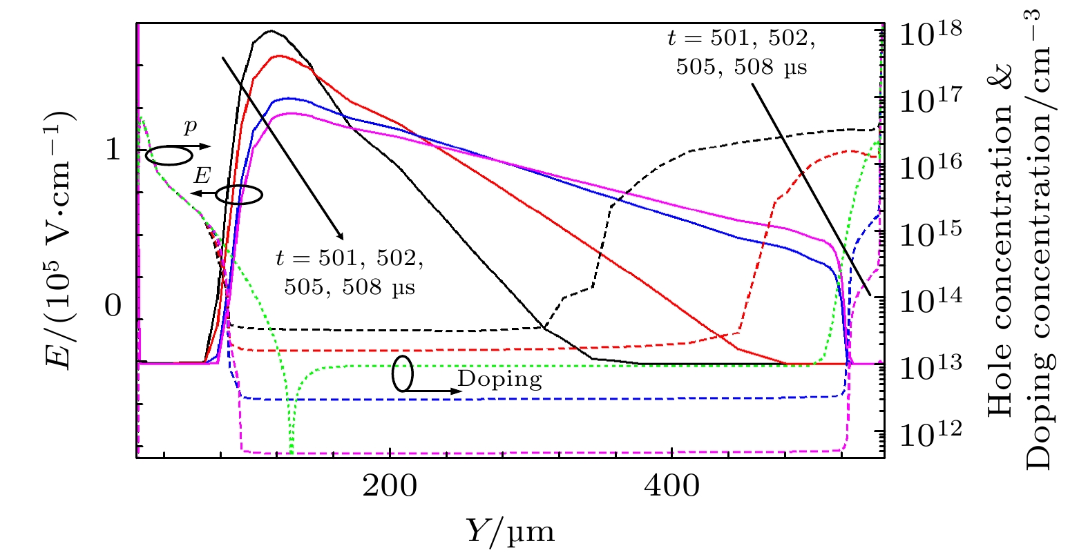
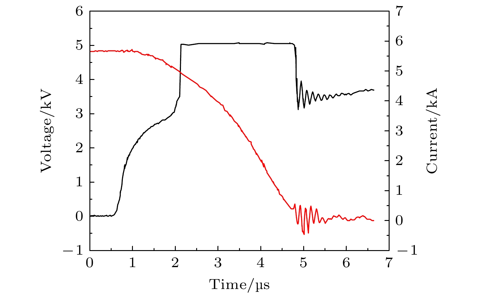
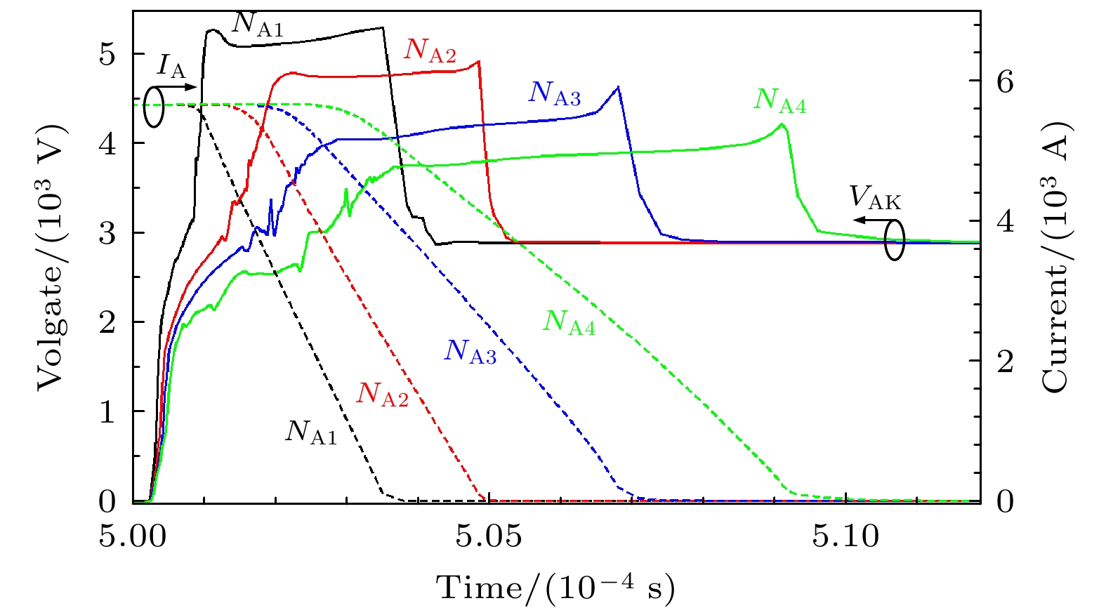
As a thyristor-like device, integrated gate commutated thyristor (IGCT) is more applicable to the high-voltage and high-power fields due to the lower on-state voltage drop, and a combination of transparent anode and hard drive enables IGCT to turn off faster and more reliably. However, with an increase in power capacity of IGCT, the reliability of IGCT is becoming an increasing concern.Based on the multi-cell structure model, the turn-off characteristics and robustness of IGCT under over-stress conditions are studied in this work. The results show that during GCT turning off, the modulation of free carriers to the electric field in the space charge region makes the dynamic avalanche effect occur at the anode-cathode voltage much lower than the rated blocking voltage of the device, and the avalanche-induced current filament effect may occur due to the distortion of electric field, resulting in negative differential resistance effect at strong dynamic avalanche. In comparison, the behavioral characteristics of current filament at different stages of turn-off behave differently.During the voltage rising period when IGCT turns off, the avalanche-induced current filament can move rapidly, which will not cause the temperature to rise too much and has little influence on the robustness of the device. In contrast, when the anode-cathode voltage rises close to the static avalanche breakdown voltage, the switching self-clamping mode (SSCM) will occur, and the device will operate in its static avalanche breakdown mode. If the device operates on the negative differential resistance (NDR) branch of its static avalanche breakdown characteristic curve, a very slow moving current filament driven only by temperature rise will appear. This makes the power consumption that is required to be borne by the entire device undertaken only by the area where the current filament is located, thus resulting in a very high local current density and a large local temperature rise, and the device is easy to re-trigger or thermally break down.The static avalanche breakdown characteristics of IGCT determine the nature of the current filament under SSCM. The larger the common-base current gain αpnp of the parasitic pnp transistor of IGCT, the stronger the avalanche-induced current filament under SSCM is and the slower its movement speed, thereby significantly reducing the robustness of the device. Therefore, in order to improve the robustness of the device under SSCM, more precise control of αpnp is required during the designing of GCT chips.