《必威体育下载 》创刊90周年
特邀综述
2025, 74 (11): 112101.
doi: 10.7498/aps.74.20241650
摘要 +
核物质状态方程是对核物质体系在不同热力学或者外场条件下的宏观性质的描述, 它对理解微观强相互作用的理论——量子色动力学(QCD)、原子核性质、重离子碰撞动力学、致密天体内部结构、双中子星合并等具有重要意义. 重离子碰撞(HICs)是在实验室产生极端条件(如高温、高密、强磁场、强涡旋等)核物质的唯一手段, 不同碰撞能量的HICs为定量研究核物质在不同热力学条件下的性质提供了可能. 本文主要介绍当前核物质状态方程的研究现状, 并介绍HICs中对核物质状态方程敏感的基本可观测量、探索核物质状态的典型实验和结果. 展现包含有奇异强子核物质状态方程的研究进展, 并探讨未来可能的研究方向. 介绍国际上在建和正在运行的重离子加速器和实验谱仪的最新进展, 包括我国已经建成的兰州重离子加速器装置(HIRFL)和兰州重离子加速器装置-冷却储存环(HIRFL-CSR)、在建的强流重离子加速器装置(HIAF)和在建的低温高密核物质测量谱仪的研制进展, 并讨论未来基于我国大科学装置开展核物质状态方程实验研究的机遇与挑战.
特邀综述
特邀综述
2025, 74 (11): 117402.
doi: 10.7498/aps.74.20250241
摘要 +
Nambu-Goldstone理论指出: 连续对称的破缺会产生零能的玻色激发. 在超导相变中, 连续的局域U(1) 规范对称发生破缺, 理应产生零能的集体模式(即超导相位模式). 1962年, Philip Anderson指出: 库珀对(Cooper pairs)之间的库仑相互作用使该零能模跃迁至等离子体频率. 因此超流体在库珀对配对能量(2Δ)以内不存在玻色激发, 这套机制还导致介导电磁相互作用的光子获得质量. Anderson机制为超导体保持零损耗电流、展现完全抗磁效应提供了微观解释. 1964年, 为解释介导电弱相互作用的W±, Z玻色子为何具有质量, Peter Higgs, François Englert, Tom Kibble等分别提出自然界中存在(现称作)Higgs场的假设: 该物质场与零质量的W±, Z玻色子耦合, 使它们产生质量. 这套机制与超导体中光子产生质量的机制相似, 被统称为Anderson-Higgs机制. 2013年, 欧洲大型强子对撞机捕捉到Higgs场的标量激发(即Higgs boson)的实验证据, 证实了半个世纪以来关于Higgs场的猜想. 与Higgs boson对应的超导振幅模式因此被称作超导Higgs模式. 近半个世纪以来, 在众多超导材料的谱学研究中, 该模式同样难寻踪迹. 近年来, 超快/非线性谱学技术的发展与运用使谱学实验可以更加有效地捕获Higgs模式的踪迹. 本文将介绍超导Higgs模式的历史背景与最新研究进展, 讨论Higgs模式可能为高温超导研究带来的崭新视角、机遇与挑战.
专题: 磁共振技术
编辑推荐
2025, 74 (11): 117601.
doi: 10.7498/aps.74.20250224
摘要 +
高压极端条件是实现和调控新奇物态的重要途径, 磁共振技术是材料微观磁结构和磁性表征的重要方法, 两者的融合为物质科学前沿研究提供了新的机遇. 然而, 传统磁共振技术受限于自旋极化度低、信号探测效率差等因素, 难以实现超高压极端条件下微米级小样品的原位测量. 近年来, 以金刚石氮空位中心为代表的色心量子传感迅速发展, 为高压极端条件下的磁共振和原位量子传感提供了全新解决方案. 本文总结了高压极端条件对金刚石氮空位中心自旋和光学性质的影响, 梳理了高压下色心磁共振的基本现象和规律. 同时, 以高压下微区磁成像、压强探测、超导迈斯纳效应测量等应用为例, 本文还介绍了高压下色心量子传感的近期研究进展.
编辑推荐
2025, 74 (11): 118702.
doi: 10.7498/aps.74.20250325
摘要 +
水分子跨细胞膜交换是维持细胞稳态和功能的重要过程, 是肿瘤增殖、预后以及细胞状态的潜在生物学标志物. 利用磁共振方法测量水分子跨细胞膜的交换速率可追溯到20世纪60年代, 研究者在血红细胞悬液样本中测量细胞内水分子的停留时间. 之后, 人们发现了生物组织中磁共振信号的多指数特征, 并发现水分子跨膜交换过程有可能是解释该特征的因素之一, 利用磁共振方法测量水分子跨细胞膜交换过程的研究至此拉开序幕. 经过几十年的发展, 磁共振领域目前对水分子跨细胞膜交换测量的技术大致可以分为两类: 一种基于弛豫时间, 另一种基于扩散. 本文将梳理相关磁共振技术的发展历程, 对代表性技术的测量原理、数学/生物物理模型、不同技术的测量结果及验证进行介绍. 最后对不同方法的应用场景和优缺点进行讨论, 并对该领域的发展进行展望.
编辑推荐
2025, 74 (11): 118703.
doi: 10.7498/aps.74.20250235
摘要 +
磁共振扩散加权成像(DWI)在神经科学和临床疾病诊断中具有重要价值. 单次激发平面回波成像(ss-EPI)是DWI最常用的技术, 但受主磁场不均匀性和$\rm T_2/T_2^*$衰减的影响, 易出现几何变形、信噪比低等问题. 为解决这些问题, 研究者开发了更先进的高分辨率磁共振扩散成像技术. 本文对这些成像技术进行综述. 平面回波成像(EPI)方面, 本文介绍了读出分段EPI、交错采集EPI、点扩散函数编码EPI、EPTI等多次激发EPI DWI技术, 这些技术能够减小或消除几何变形、提高图像信噪比和分辨率. 此外, 多次激发EPI与多层同时激发技术(SMS)的结合能够缩短采集时间, 本文对此类技术进行简要介绍. 相较于EPI, 螺旋 (spiral)成像的信噪比和采样效率更高, 但对主磁场不均匀性更敏感. 在螺旋成像部分, 本文分别介绍了单次激发以及多次激发的spiral DWI成像, 以及二者与SMS技术的结合. 本文重点介绍了各类成像技术的原理、采集策略与重建方法. 最后, 本文阐述了高分辨率扩散成像的挑战和未来方向, 包括三维DWI、体部DWI、磁场探针、超强梯度磁共振系统以及超高场磁共振系统.
2025, 74 (11): 110702.
doi: 10.7498/aps.74.20250220
摘要 +
本文主要研究用于精密测量的含多反射腔原子气室的标准化制备方法: 一方面将Herriott多反射腔技术和阳极键合技术相结合, 另一方面在全真空条件下密封含多反射腔原子气室. 这样制备出的新型气室可以广泛应用于原子器件中, 在提升测量灵敏度的同时, 提高器件的标准化程度. 本文介绍这种原子气室的制备方法的同时, 还通过气室在磁光双共振碱金属原子磁力仪中的应用展示其工作潜能. 该示范展示了利用含22次反射的多反射腔, 充有400 Torr (1 Torr = 1.33×102 Pa) 氮气和自然丰度铷原子气室获得的磁共振信号, 并以此信号为基础在10—20 Hz的频率区间测得了95 fT/Hz1/2的磁场灵敏度. 之后, 我们将把基于这种技术制作的气室拓展到对气室质量要求较高的氦原子磁力仪和核自旋原子共磁力仪中.
封面文章
2025, 74 (11): 117401.
doi: 10.7498/aps.74.20250271
摘要 +
相互作用量子系统在精密测量领域正受到广泛的关注, 尤其是量子关联态的实现以及相互作用系统的动力学研究, 为量子资源提供了全新的研究方向, 推动了基于相互作用系统的传感技术的深入探索. 然而, 现有研究主要局限于单一物理量的测量, 如何利用相互作用系统实现多物理量的精密测量仍亟待实验验证. 本研究基于超低场条件下强相互作用核自旋系统, 并结合高灵敏的原子磁力计实现信号读出, 成功实现了三维矢量磁场的精密测量, 测量精度达到10–11 T, 方向分辨率高达0.2 rad. 有效克服了传统方法中因外部参考场引入的校准误差和技术噪声的限制. 通过实验上的优化, 基于相互作用的传感器在测量精度上实现了5个数量级的提升, 为开发超高精度的新型量子传感器开辟了全新的技术路径.
仪器与测量
编辑推荐
2025, 74 (11): 110701.
doi: 10.7498/aps.74.20250181
摘要 +
1 K低温系统是进一步实现mK温区及更低温度的基础, 广泛应用于量子计算、凝聚态物理研究、低温科学仪器等领域. 目前国内的1 K低温系统大多使用GM (Gifford-McMahon)制冷机进行预冷, 系统在实现更低振动控制、更低电噪声干扰、更低预冷温度和更高液化效率等方面存在一定难题, 而基于脉管制冷机预冷的1 K系统在解决这些问题方面具有先天优势. 本文发展了一台全国产化的4 K GM脉管制冷机, 获得了2.14 K的最低制冷温度, 并可同时提供1.5 W@4.2 K和45 W@45 K的制冷量. 将其作为预冷制冷机, 设计并搭建了1 K低温系统, 最终获得了1.1 K的最低制冷温度, 并可在1.6 K提供100 mW的制冷量. 本研究为后续开展更大冷量稀释制冷技术奠定了重要基础.
总论
2025, 74 (11): 110201.
doi: 10.7498/aps.74.20250225
摘要 +
薛定谔型方程是一类十分重要的微分方程. 高维及变系数薛定谔型方程的研究具有一定的价值和意义. 本文利用相似变换推导了($ n+1 $)维($ 2m+1 $)次变系数非线性薛定谔方程的一类新的孤子解, 给出了系数之间满足的关系. 并利用定态薛定谔方程的解, 得到了($ n+1 $)维($ 2m+1 $)次变系数非线性薛定谔方程的明暗孤子解. 最后, 对于特殊的情况, 给出了明暗孤立子解的图像, 并系统分析了孤子解的空间结构和传播特性.
编辑推荐
2025, 74 (11): 110301.
doi: 10.7498/aps.74.20241539
摘要 +
纠缠是量子理论中一种独特的现象, 揭示了经典物理与量子物理之间的根本差异. 虽然在微观尺度上已经观察到许多纠缠现象, 但当涉及大尺度系统的相互作用时, 纠缠往往非常微弱, 此时实验设备的误差可能掩盖微弱信号, 导致纠缠难以测得. 为了提升对微弱纠缠信号的检测灵敏度, 最近提出了一种基于量子导引的弱纠缠判据, 可以有效地检测微弱的纠缠态. 本文在理论上证明了该判据相比于传统纠缠目击者判据在弱纠缠检测能力方面具有明显优势. 此外, 通过光学实验验证了这一判据的可行性, 实验结果为其有效性提供了关键支持, 并展示了该判据在弱纠缠态检测中的创新性和可靠性. 该判据作为一种有效的弱纠缠检测手段, 有望在量子通信、量子计算等量子技术领域中得到广泛应用.
2025, 74 (11): 110302.
doi: 10.7498/aps.74.20241604
摘要 +
本文研究运动光格中非线性作用随时空变化的玻色-爱因斯坦凝聚体的混沌时空动力学. 在运动光格势强度和非线性作用调制强度较小的情况下, 系统满足微扰条件, 将Melnikov函数法应用于理论分析, 得到了系统的Melnikov时空混沌判据. 当系统不满足微扰条件时, 数值模拟表明, 对于原子间呈吸引作用的玻色-爱因斯坦凝聚体, 非线性作用调制强度的增大可以加深系统的时空混沌程度. 在某些参数区域, 非线性作用调制频率对系统时空动力学行为具有重要影响. 进一步的数值研究结果揭示, 较大的化学势不仅可以抑制吸引系统的时空混沌, 还可以抑制排斥系统的时空混沌. 基于以上研究结果, 在实验中可以根据需要规避或引发玻色-爱因斯坦凝聚系统的时空混沌.
编辑推荐
2025, 74 (11): 110501.
doi: 10.7498/aps.74.20250177
摘要 +
考虑周期性驱动的谐振势阱, 通过数值模拟研究了超冷原子气体中的孤子性质. 结果有趣地发现: 当孤子位于势阱中心时, 在特定的频率驱动下, 孤子的幅度振荡产生共振现象, 其振荡幅度随着谐振势阱囚禁频率的增大而增大, 共振频率随着孤子初始幅度的增大而增大; 当孤子位于势阱边缘时, 孤子运动的共振、反共振和准周期振荡也能被观察到. 此外, 通过调节驱动频率可实现孤子运动的共振与反共振之间的转换. 相关结果可为超冷原子气体的精确调控提供帮助.
核物理学
2025, 74 (11): 112102.
doi: 10.7498/aps.74.20250095
摘要 +
对原子核形状共存和壳效应的研究有助于人们深入理解原子核内部结构. 物理学家们在Zn, Ge, Se, Kr的同位素研究中, 发现了显著的形状共存现象与刚性三轴性特征. 为了深入探究形状共存现象及其对原子核基态性质的影响, 我们采用相对论Hartree-Bogoliubov理论中密度依赖的介子交换模型, 对N = 32—42的偶偶核Zn, Ge, Se, Kr同位素的基态性质进行了系统研究, 获得的势能面清晰地展现了这些同位素存在形状共存和三轴性特征. 计算获得了原子核的基态能量、形变参数、双中子分离能、中子半径、质子半径和电荷半径, 结果都支持N = 40为新幻数, 部分结果也支持N = 32, 34为新幻数. 尤其, 三轴形变在其中扮演着重要角色. 进一步, 我们探讨了壳效应与形状共存现象之间可能存在的关联及其对原子核基态性质的影响, 并分析了这些变化的物理机制.
编辑推荐
2025, 74 (11): 112301.
doi: 10.7498/aps.74.20240907
摘要 +
本文通过考虑原子核的形变效应和引入α粒子预形成因子的解析表达式对统一裂变模型(unified fission model, UFM)进行改进. 通过考虑原子核形变效应得到了改进的UFM (improved UFM-1, IMUFM1), 在IMUFM1基础上引入α粒子预形成因子的解析表达式得到了进一步改进的UFM (improved UFM-2, IMUFM2). 利用UFM, IMUFM1和IMUFM2三个版本分别对$ Z \geqslant 92 $重核和超重核的α衰变半衰期进行了系统地计算. 通过计算理论值和实验值之间的平均偏差和标准偏差, 发现IMUFM1的精度比UFM的精度仅提高了2.45%, 而IMUFM2的精度却提高了32.09%. 接着, 通过有限力程小液滴模型(finite-range Droplet model-2012, FRDM2012), Weizsäcker-Skyrme-4 (WS4)和Koura-Tachibana-Uno-Yamada (KTUY) 3种质量模型分别提取了Z = 118—120同位素链的α衰变能, 并利用IMUFM1和IMUFM2计算了相应的α衰变半衰期. 通过观察半衰期随同位素链的演化, 发现不同质量模型预言的演化趋势是一致的, 而且在N = 178和N = 184处会出现转折点, 但不同的质量模型预言的α衰变半衰期会出现数量级的差异. 另外, 通过讨论α衰变和自发裂变之间的竞争, 发现N<186质量核区的超重核以α衰变为主. 最后, 结合上述3种核质量模型, 利用IMUFM1和IMUFM2讨论了296Og, 297119和298120 α衰变链的衰变模式, 发现WS4和KTUY两种质量模型的预言结果与实验结果一致. 尽管FRDM2012质量模型预言的288Fl, 285Nh 和 286Fl的衰变模式与实验结果有所差别, 但对于288Fl, IMUFM2的预言结果比IMUFM1更符合实验测量结果, 再次验证了IMUFM2的合理性和可靠性. 上述研究结果可为将来实验鉴别新核素提供理论依据.
原子和分子物理学
2025, 74 (11): 113201.
doi: 10.7498/aps.74.20250262
摘要 +
富集钕-150同位素在核工业、科学研究等领域具有重要应用. 基于高效高选择性多步电离路径, 原子蒸气激光同位素分离法能够实现钕同位素分离, 但现用路径第2步跃迁的同位素位移(isotope shift, IS)几乎为零, 导致产品中Nd-150丰度偏低. 本文基于密度矩阵理论建立了通用的三步电离路径选择性光电离模型, 模型中综合考虑了同位素位移、超精细结构等原子参数和频率、功率、线宽、偏振等激光参数, 可在磁子能级级别计算原子与激光的相互作用过程. 基于上述模型, 通过与文献数据对比获得了现用路径分支比的最优拟合值, 评估了现用路径在不同线宽下的Nd-150丰度水平; 在仅改变第2步跃迁的前提下构造假定电离路径, 开展所有钕同位素的电离率计算, 评估不同同位素位移、超精细结构下的Nd-150丰度, 指导后续原子光谱实验. 数值计算发现第二激发态角动量J3 = 6, 同位素位移IS23,148 ≥ 300 MHz时, 在b12 ≤ 0.5 GHz, b23 ≤ 1.0 GHz, 平行线偏振的典型激光参数下可实现与电磁法相当的Nd-150丰度(> 95%). 在此基础上压窄激光线宽, 能够在保持电离率的同时获得超过电磁法的Nd-150产品. 后续原子光谱实验应着重寻找IS23,148 ≥ 300 MHz, J3 = 6的第2步跃迁, 第2步跃迁的约化电偶极矩达到现用路径的30%即可满足丰度要求.
编辑推荐
2025, 74 (11): 113202.
doi: 10.7498/aps.74.20250168
摘要 +
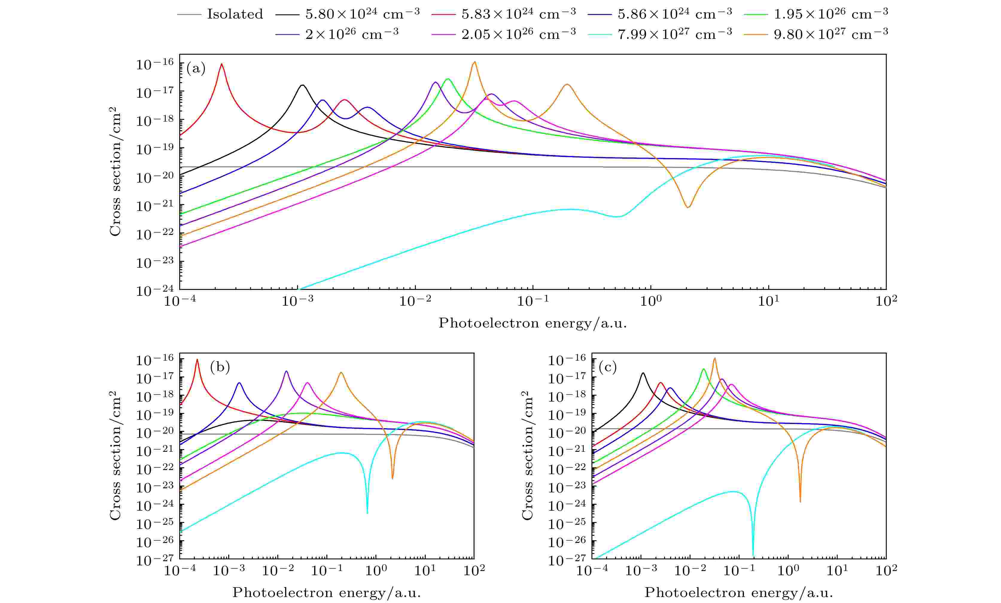
采用原子态分辨(atomic-state-dependent, ASD)屏蔽模型, 研究了热稠密等离子体中Fe25+离子光电离截面的低能特征. 等离子体屏蔽会减弱核和束缚电子之间的相互作用, 导致束缚电子逐渐进入连续态. 对于光电离过程, 屏蔽效应改变束缚和连续电子的波函数, 进一步改变重叠积分和跃迁矩阵元, 最终引起截面出现低能特征. 相比于传统的德拜模型, ASD模型进一步考虑了电子简并效应和非弹性碰撞过程的影响, 能够更加准确地描述温热稠密等离子体的屏蔽效应. 基于ASD模型, 研究发现, 低能阈值区, 截面服从Wigner阈值定律; 能量逐渐增大时截面出现低能增强、势形共振、Cooper极小、Combet-Farnoux极小等低能特征, 导致对应能区的截面显著增大或减小, 继而改变光电子谱的性质. 本工作研究了热稠密等离子体中离子的光电离过程, 可以为天体和实验室中热稠密等离子体的研究提供理论和数据支持.
电磁学、光学、声学、传热学、经典力学和流体动力学
2025, 74 (11): 114201.
doi: 10.7498/aps.74.20250174
摘要 +
飞行器目标经过高温尾焰传输后的红外偏振辐射是红外探测设备对飞行器进行探测、识别、跟踪、告警的重要依据. 在目标与背景红外辐射强度对比度低的情况下, 将偏振特性差异结合到强度探测中可显著提高系统的探测与识别能力. 本文基于Monte Carlo法建立了高温尾焰红外偏振辐射传输特性仿真模型, 根据尾焰空间气体组分的红外吸收系数谱, 模拟光子在尾焰空间的多次散射过程, 统计最终接收到的光子特性, 分析了传输距离、尾焰温度和压强、气体组分浓度和探测波长对红外偏振光传输特性的影响. 研究结果表明: 本文研究方法和HITRAN库关于辐亮度透过率的计算结果误差基本保持在2%以内; 随着距离增大, 温度和压强对光波偏振辐射传输特性的影响更为显著. 压强与透过率和偏振度呈负相关, 温度的影响与气体的类型、温度范围等因素有关; 辐亮度透过率和偏振度与尾焰空间气体的吸收系数和传输距离呈指数衰减关系; 探测波长不同, 光波的偏振辐射传输特性也存在差异.
2025, 74 (11): 114202.
doi: 10.7498/aps.74.20250154
摘要 +
在超音速气动热能的加热下, 当飞行器表面防/隔热材料的壁面温度超过其耐受极限时, 表面区域将出现高温热化学烧蚀及机械剥蚀等退化损伤现象, 产生的烧蚀扩散产物(烧蚀颗粒)引射到周围等离子体流场中悬浮在飞行器周围, 形成伴有烧蚀扩散物的高超声速等离子体流场, 烧蚀扩散物的存在可对原等离子体流场的物理特征及电磁特性产生重要影响. 本文通过建立包覆钝头锥体的等离子体流场及机载天线的耦合电磁模型, 采用射线追踪方法, 定量分析了伴生烧蚀产物的尾迹区等离子体流场对喇叭天线辐射特性的影响. 研究结果表明, 包覆飞行器的等离子体流场可造成一定量的天线辐射能量损失, 而流场中弥散的烧蚀颗粒将会使这一情况加重, 且烧蚀产物的密度及几何尺寸都可对天线辐射能量的损失产生影响. 该研究可为解决临近空间高超声速飞行器信息传输瓶颈背后的电磁波传播提供参考, 为进一步深入研究高超声速飞行器的目标探测、识别、防/隔热材料及系统设计等技术提供理论参考.
2025, 74 (11): 114203.
doi: 10.7498/aps.74.20250043
摘要 +
基于HBT(Hanbury Brown-Twiss)的二阶自相关技术在非相干源照明和近场探测的条件下可以获得目标的傅里叶频谱信息, 然而获取高质量的频谱图像所需的测量次数较多, 且成像分辨率受到探测器的像素规模的限制. 为了解决上述问题, 本文结合多点并行关联重建算法和叠层成像的思想, 提出了一种基于自相关和频谱叠层的超分辨成像方法. 通过多点并行关联重建算法获取目标的不同频率信息, 在此基础上, 利用傅里叶变换的移频特性和叠层成像的思想实现频谱信息的扩展, 进而采用相位恢复算法重建目标的实空间图像. 理论分析和实验结果表明, 该方法在相同探测器像素规模的条件下可以实现2倍的超分辨率成像, 同时可以降低高质量频谱图像重建所需的测量次数. 该方法对于超分辨显微成像和高分辨运动目标成像具有重要的借鉴意义.
2025, 74 (11): 114204.
doi: 10.7498/aps.74.20250147
摘要 +
本文提出一种基于物理信息神经网络的量子绝热捷径方案. 与传统的绝热捷径技术相比, 创新性地引入机器学习技术, 利用参数化的物理信息神经网络解含参数的微分方程, 将神经网络作为量子绝热演化过程的逼近函数, 并将含参数的微分方程和微分方程的各种物理约束条件作为参数化的神经网络的损失函数, 训练神经网络, 拟合量子系统演化过程, 获得布居反转的驱动控制函数. 数值实验表明, 量子系统可以在短时间内实现布居反转, 并且具有很高的保真度、很强的鲁棒性. 神经网络具有很强的计算能力, 适合复杂系统的驱动控制函数的生成. 与传统的绝热捷径技术相比, 具有更好的效果和更强的实用性.
2025, 74 (11): 114205.
doi: 10.7498/aps.74.20241674
摘要 +
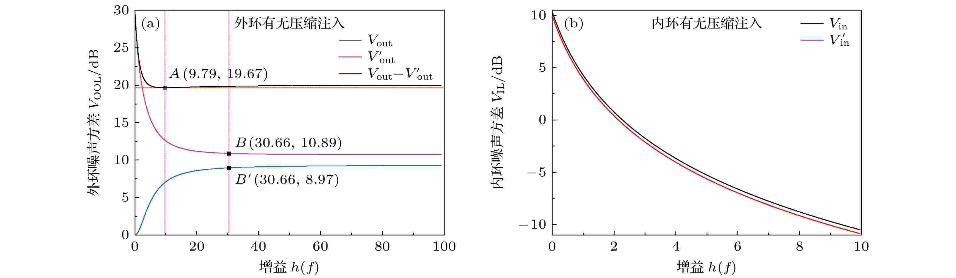
激光光源的噪声直接影响精密测量系统的精度和灵敏度, 特别是在引力波探测和生物成像等高精度应用中. 尽管经典反馈控制技术能有效地抑制强度噪声, 但其降噪水平受到经典噪声极限的限制. 本研究提出一种结合量子压缩光与经典反馈控制技术的新方法, 旨在进一步降低系统中的强度噪声, 突破经典反馈控制技术的抑噪瓶颈. 通过引入正交振幅压缩态光场, 在理论上建立了压缩光辅助的反馈控制系统, 理论分析了反馈增益和压缩度对噪声抑制的影响, 并与经典方案进行对比. 理论分析结果表明, 压缩光的引入显著地提高了噪声抑制水平, 接近散粒噪声极限, 从而大幅提升系统的灵敏度. 该方法为在不增加激光功率的情况下实现更低噪声水平提供了新的量子控制手段, 对精密测量技术的发展具有重要意义.
编辑推荐
2025, 74 (11): 114206.
doi: 10.7498/aps.74.20250348
摘要 +
波长位于2—5 μm的中红外超快光源在众多领域具有重要应用价值, 如分子检测、空间通信、非线性光学和生物医疗等, 但目前实现该波段激光的方法存在局限性. 本研究采用差频产生技术, 利用高功率双波长超快光纤激光系统, 结合3 mm周期极化铌酸锂晶体, 通过调节泵浦脉冲与信号脉冲之间的延时, 优化了输出闲频光的能量. 本研究成功生成了中心波长为3.06 μm的中红外超快激光, 平均功率达到3.06 W, 脉冲能量为90 nJ. 此外, 还实现了波长在2—5 μm范围内可调的中红外超快激光, 平均功率均超过1 W, 为当前该波段可实现的最高平均功率水平.
2025, 74 (11): 114207.
doi: 10.7498/aps.74.20250306
摘要 +
本文研究了利用聚焦透镜来提高超几何高斯二型(hypergeometric-Gaussian type-II, HyGG-II)光束在海洋湍流中传输时的信道容量的方法. 首先推导得到使用聚焦透镜之后HyGG-II光束在海洋湍流中的信道容量表达式, 随后仿真分析了不同光源参数和海洋湍流参数对信道容量的影响, 并与未加透镜时HyGG-II光束以及拉盖尔高斯光束的信道容量进行对比. 此外为了探究聚焦透镜增强信道容量的原因, 还仿真分析了聚焦HyGG-II光束的光强随传输距离的分布. 结果表明: 通过使用聚焦透镜可以使HyGG-II光束的信道容量在一定传输距离范围之内获得不同程度的增强, 最佳增强效果出现在光强的最大会聚位置附近. 通过增大光波长、调节聚焦透镜的焦距或HyGG-II光束的束腰半径, 还可以使增强效果进一步改善. 在小单位质量动能耗散率和大温度均方差耗散率的海洋湍流环境中, 使用聚焦透镜可以得到更明显的信道容量增强效果. 与拉盖尔-高斯(Laguerre-Gaussian, LG)光束相比, 传输相同距离时, 不管是否使用聚焦透镜, HyGG-II光束的信道容量都更好. 本文研究结果可以为提高基于涡旋光束的水下无线光通信系统性能提供一定的参考.
2025, 74 (11): 114301.
doi: 10.7498/aps.74.20250161
摘要 +
弯张换能器的尺寸远小于波长, 从而阻碍了紧凑型水声换能器产生定向波束. 针对传统的指向性弯张换能器电路驱动的幅度相位调控的复杂性问题, 本文提出一种指向性弯张换能器结构, 采用外凸型弯曲梁与内凹型弯曲梁复合而成的非对称壳体结构实现低频指向性发射, 可简化换能器的配套电路系统, 便于应用且成本更低. 本文从换能器的振动和辐射特性分析入手, 揭示了指向性形成机理并建立了等效双球源模型. 采用数值模拟的方法分析了主要结构参数对换能器谐振频率、发送电压响应、前后声压比及指向性的影响. 通过优化设计, 换能器在1240—1660 Hz的工作频段内最大发送电压响应为145.9 dB, 可在单电路驱动下产生前后声压比最大27 dB的心型指向性波束, 并且大大降低了有源材料的剪切应力, 可有效避免大功率发射时有源材料的疲劳失效, 为低频水声定向发射提供了一种更便捷的方法.
气体、等离子体和放电物理
编辑推荐
2025, 74 (11): 115201.
doi: 10.7498/aps.74.20250040
摘要 +
稠密等离子体焦点(DPF)是一种脉冲强流放电装置, 在粒子加速器、受控核聚变、空间推进及脉冲中子源等领域有着广泛应用. 本文采用耦合外电路的双温磁流体动力学模型, 研究了DPF的轴向加速和径向内爆过程, 并探讨了装置参数对等离子体运动的影响规律. 首先, 通过与实验结果的对比, 验证了双温磁流体模型的准确性. 然后针对DPF装置开展了物理过程及规律的理论和模拟研究. 研究表明在洛伦兹力的作用下, DPF等离子体鞘沿轴向不断加速, 到达内电极末端后部分等离子体沿径向向内压缩, 最终在对称轴上形成高温高密等离子体. 对于大型DPF装置, 增加电路电压能显著提升电流水平; 同时阴阳极半径之比应尽可能小, 这可以在其他参数不变的情况下, 有效提高DPF的峰值电流和箍缩电流.
2025, 74 (11): 115202.
doi: 10.7498/aps.74.20250111
摘要 +
斑图放电是介质阻挡放电的重要模式之一, 在众多领域具有广泛的应用前景. 本工作在氩气/空气混合气体介质阻挡放电系统中, 采用正六边形和方形组成的双气隙边界, 通过改变实验参数, 获得了多个全新的复杂斑图. 利用光学与电学手段研究了其放电特性及其时间相关性. 结果表明放电斑图在每半个电压周期内均有多次放电并在时间上具有相关性. 利用增强型电荷耦合设备拍摄了方形点阵斑图时间分辨的放电图像, 发现半个电压周期内的多次放电其实是斑图在径向上从外向内逐渐点亮的过程, 理论分析了该斑图的形成机理. 采集了方形点阵斑图的发射光谱, 通过线比法和玻尔兹曼拟合法探究了方形点阵斑图的电子密度、电子温度、分子振动温度、分子转动温度的变化. 结果显示电子密度沿着径向方向从外到内逐渐减小, 电子温度与分子振动温度沿着径向方向从外到内逐渐增加, 分子转动温度几乎不变.
2025, 74 (11): 115203.
doi: 10.7498/aps.74.20250065
摘要 +
偏滤器脱靶是中国环流三号装置(HL-3)偏滤器热负载的主要控制手段. 然而目前的脱靶工作缺少对刮削层-偏滤器区域内复杂多成分粒子问题的研究, 如氢同位素(如氘)、外部注入杂质(如氖杂质)、内部固有杂质(如碳杂质)的碰撞、辐射等过程. 本工作使用新开发的刮削层-偏滤器多成分粒子输运程序SD1D, 研究了碳杂质和中性粒子对中国环流三号上抬升等离子体密度和偏滤器氖气注入两种脱靶方式的影响. 研究发现, 偏滤器产生的碳杂质对于抬升密度的脱靶方式具有促进作用, 但是对注入氖气实现脱靶的过程影响较小. 此外, 本工作还发现中性粒子(氘原子与氘分子)在这两种脱靶过程中的重要性也有很大的差别: 抬升等离子体密度可以促进偏滤器内再循环过程产生大量中性粒子, 等离子体与中性粒子反应导致的能量与动量损失是实现脱靶的关键因素; 向偏滤器内注入氖气直接降低了靶板上饱和电流, 抑制了再循环过程, 中性粒子的重要性也随之降低.
凝聚物质:结构、力学和热学性质
编辑推荐
2025, 74 (11): 116101.
doi: 10.7498/aps.74.20250368
摘要 +
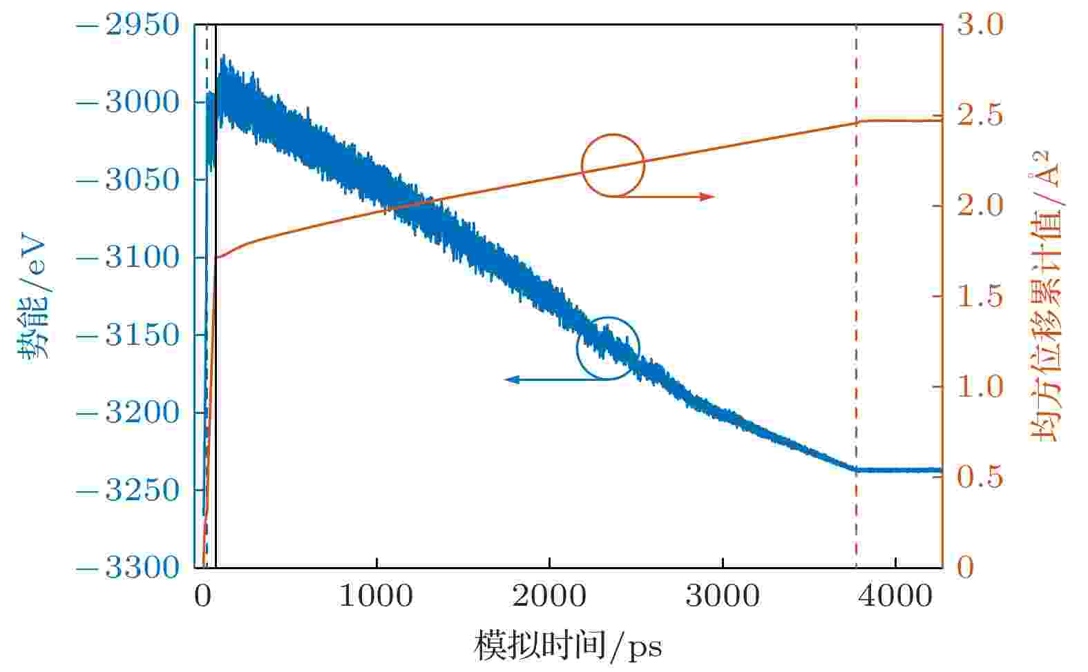
非晶态合金因其独特的长程无序结构与优异的物理性能使其成为材料物理领域的研究热点. 然而其在热作用影响下的复杂微观结构演变与电子输运机制仍有待深入研究. 本文通过熔体甩带法制备了Ni40Fe35B15Si7P3和Ni50Fe25B15Si7P3非晶合金带材, 并在过冷液相区内不同温度下进行退火处理. 结果表明, 过冷液相区内的退火使合金的短程有序度增强, 自由体积减小, 原子排列更致密化, 退火后合金的局部类晶体团簇体积分数增至26%—34%. 同时, 过冷液相区退火诱发的散射中心增大及内应力释放, 使合金的电阻率升高, 其中Ni40Fe35B15Si7P3合金电阻率从131.8 μΩ·cm增至217.0 μΩ·cm, 增大了64.6%. 在外加磁场下, 洛伦兹力引起的电子轨迹偏转与磁致伸缩效应使合金的电阻率进一步升高. 此外, 热激活会释放束缚电子且增强其散射效应, 使合金的载流子浓度上升, 迁移率下降. 本研究表明退火可以调控非晶合金的短程有序度及自由体积分布, 进而影响其电输运性能, 为设计高性能非晶合金电子器件提供了实验依据.
编辑推荐
2025, 74 (11): 116301.
doi: 10.7498/aps.74.20250406
摘要 +
多铁性材料因铁电序和磁序之间的交叉耦合机制所衍生的新奇量子效应(如磁电耦合、拓扑电畴等)而备受关注. 然而, 受限于铁电性源于d0电子构型而铁磁性依赖于dn电子填充的微观机制互斥性, 具有磁电耦合特性的本征多铁性材料仍然有限. 本研究基于第一性原理密度泛函理论计算, 提出通过构建Aurivillius型界面层来调控PbTiO3钙钛矿的电子结构, 成功诱导出界面局域磁矩. 计算结果表明, 该界面层在保持强电极化(高达116.88 μC/cm2)的同时, 通过界面极化电荷调制界面处氧原子的电子占据态从而诱导出界面磁性, 实现了PbTiO3的磁性与极性之间的耦合. 值得注意的是, 这种磁电耦合的多铁态呈现出显著的界面局域特征, 随着层数的增加, 局域磁矩迅速衰减. 我们的研究提出了一种设计多铁性层并分析了可通过改变极化方向调控磁矩的新机制, 为实现具有磁电耦合的多铁性材料器件提供了新范式.
2025, 74 (11): 116302.
doi: 10.7498/aps.74.20250350
摘要 +
非晶态材料二氧化铪在微电子器件中具有广泛应用, 理解其微观导热机制对于提升电子器件的性能和可靠性至关重要. 以往的研究大多基于分子动力学和单一准简谐格林-久保方法, 难以准确考虑低频振动模式的导热贡献. 本文基于准简谐格林-久保理论, 结合流体动力学外推法, 对不同有序度的非晶二氧化铪结构的热输运机制进行全面研究. 该方法可有效克服单一准简谐格林-久保方法中的有限尺寸问题. 理论预测表明, 非晶二氧化铪的热导率与微观结构有序度呈现弱相关性. 基于模态分析表明, 中低频振动模式对热导率具有显著贡献, 是单一准简谐格林-久保方法低估非晶二氧化铪热导率的主要原因. 同时, 本文基于非谐动态结构因子分离了传播子和扩散子对非晶二氧化铪导热的贡献, 计算表明扩散子在所有非晶二氧化铪结构导热中均占据主导作用. 然而, 传播子的导热贡献仍不可忽略, 其占比可高达20%以上, 且随着有序度的增大而增大.
编辑推荐
2025, 74 (11): 116401.
doi: 10.7498/aps.74.20250292
摘要 +
活性物质中的集体行为已被广泛研究. 然而, 活性个体间的吸引力对集体运动模式的影响还没有相关研究. 本研究发现, 在Quincke活性胶体体系, 通过增强电液流(EHD)效应诱导的长程吸引力, 速度对齐效应得到增强, 并在极性流体内部诱发密度相分离, 形成极性团簇, 破坏极性有序相的空间均匀性. 这是已有的实验观测中没有的. 而在排斥主导的活性体系, 极性流体空间均匀分布. 我们的研究结果表明活性个体间的吸引力会显著改变活性体系的微观和宏观动力学行为.
2025, 74 (11): 116402.
doi: 10.7498/aps.74.20250270
摘要 +
光学非互易性因其能够有效地用于全光二极管、隔离器等新型光子器件的设计, 近年来相关研究备受关注. 本研究组在2024年利用晶格缺陷打破极化率空间对称性实现了非互易光反射, 该工作中缺陷是由固定数量空晶格周期性调制的. 为了进一步展开缺陷原子晶格中非互易光传播特性的研究, 我们提出用斐波那契数列调控空晶格的排布规律, 构成准周期缺陷原子晶格系统, 实现了探测光左右反射非互易的操控. 分析了单个准周期中满晶格数量、斐波那契数列和准周期数对非互易反射的优化过程以及产生影响的物理实质, 并讨论了耦合场失谐对非互易频率域和带宽的调制. 这些结果为宽频、对比度高的非互易光反射调控提供了更多的自由度, 在量子计算和信息处理领域具有潜在的应用.
凝聚物质:电子结构、电学、磁学和光学性质
编辑推荐
2025, 74 (11): 117101.
doi: 10.7498/aps.74.20250152
摘要 +
粉末冶金制备技术是制备兼具优异力学性能和热电性能Bi2Te3基块状材料的重要途径, 但是粉末冶金制备过程中样品取向损失导致材料热电性能不高, 开发具有强板织构、细晶粒Bi2Te3基热电材料的制备技术是高性能Bi2Te3基热电材料研究的重点. 本文采用垂直转角挤压制备技术制备了系列p型Bi2Te3基材料, 系统研究了挤压温度对材料微结构和织构特征的影响规律及其对材料热电性能的影响规律, 在垂直转角挤压过程中, 材料经历了剧烈的塑性变形, 导致材料内部晶粒的破碎、重排及偏转, 同时挤压过程中高温有助于材料中晶粒的动态再结晶和生长过程, 实现了晶粒的细化, 773 K挤压样品在垂直于压力方向和平行于压力方向上分别取得了F(00l)=0.51和F(110)=0.30的高取向因子, 即从热压样品中面织构向挤压样品中板织构的转变, 这种微结构特征显著地提升了样品的载流子迁移率, 773 K挤压样品室温下载流子迁移率高达345.4 cm2·V–1·s–1, 与区熔样品相当, 表现出优异的电输运性能, 室温下功率因子达到4.43 mW·m–1·K–2, 与此同时, 773 K挤压样品的晶格热导率和双极热导率之和在323 K时降低至最小值0.78 W·m–1·K–1, 最终773 K挤压样品在323 K时获得最大ZT值1.13, 较热压样品提高了近70%. 该研究为高性能强板织构、细晶粒Bi2Te3基热电材料的制备提供了新途径, 为微型热电器件的制造奠定了重要基础.
物理学交叉学科及有关科学技术领域
2025, 74 (11): 118201.
doi: 10.7498/aps.74.20250096
摘要 +
在全球能源格局深度调整与环境问题严峻挑战的双重背景下, 固体氧化物燃料电池(SOFC)凭借其诸多卓越特性, 成为高效清洁能量转换技术的研究焦点. SOFC的电化学性能受到气流流型、流速及工作电压等多种因素影响, 准确分析电池的电化学指标随各因素的变化情况, 是提出电池高效反应设计方案的基础. 因此, 本研究建立了SOFC的三维多场耦合模型, 研究了各因素间耦合作用对电池电化学性能的影响规律. 研究结果表明, 随着工作电压的降低, 电池的电化学反应速率显著提高, 气体摩尔分数梯度增大, 电解质电流密度分布不均性增强. 对于低电压工况, 交叉流流型展现出更好的电化学性能优势, 其功率密度曲线在不同电流密度区间均占据领先地位. 随着流道气体流速的提升, 电池的输出功率密度曲线呈上升趋势, 后续因阴极反应渐趋饱和, 流速提升对功率密度增长的推动作用逐渐弱化. 本研究揭示了流型、流速与电压的耦合作用对SOFC电化学性能的影响, 为SOFC的商业化应用提供指导.
2025, 74 (11): 118501.
doi: 10.7498/aps.74.20250120
摘要 +
基于多单元结构模型, 对集成门极换流晶闸管(IGCT)在过应力条件下的关断特性进行了仿真. 发现在开关自箝位模式(SSCM)下, 虽然器件的端电压被箝位, 但其内部产生了移动速度非常缓慢的电流丝, 从而使得器件非常容易发生重触发、甚至热击穿. 并且, IGCT静态雪崩击穿特性决定了器件在SSCM下电流丝的性质. IGCT寄生pnp晶体管的共基极电流增益αpnp越大, SSCM下雪崩诱发电流丝的强度越大, 移动速度越慢, 从而大大降低器件的鲁棒性.
2025, 74 (11): 118701.
doi: 10.7498/aps.74.20250080
摘要 +
冷大气压等离子体(cold atmospheric plasma, CAP)由于其具有“选择性”杀伤癌细胞的效果, 被认为是一种极具潜力的癌症治疗手段. 然而, CAP对癌细胞的“选择性”杀伤作用相关的物理模型及CAP与癌细胞相互作用的微观机理仍然匮乏. 本文采用分子动力学方法模拟了CAP激发电场引起的细胞膜电穿孔(electroporation, EP)效应, 并采用伞形采样法计算了活性氧物质(reactive oxygen species, ROS)通过EP形成的不同阶段的孔结构进入细胞内部的自由能剖面. 结果表明, 相较于正常细胞膜, 胆固醇含量较低的癌细胞膜发生EP的电场强度阈值更低, 且EP发生时间更快; 对于ROS的转运过程而言, 由于癌细胞膜胆固醇含量更低, 在EP的各个阶段下ROS的自由能势垒更低, 因此在EP的各个阶段下, ROS内流的时间均早于正常细胞. 本文从分子模拟的角度探索了CAP激发电场作用下EP的形成过程, 以及EP的不同阶段中ROS转运的潜在机会, 有利于更清楚地阐述CAP“选择性”抗癌作用的微观机理, 并为CAP癌症治疗技术、设备和手段的研发提供了重要参考, 促进了CAP在临床应用方面的发展.


