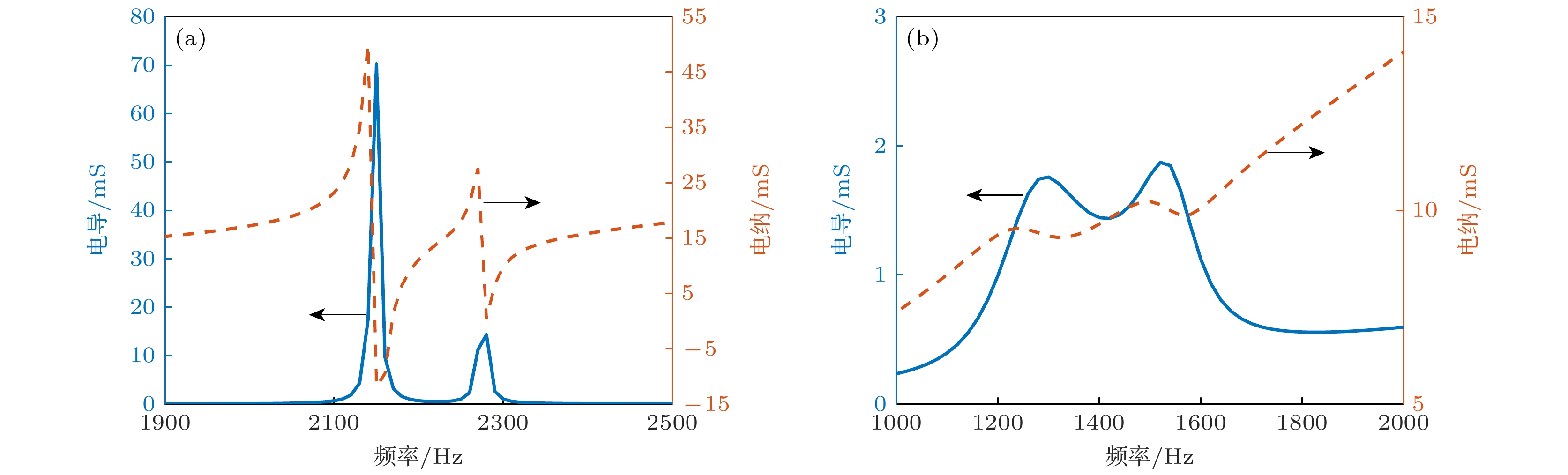
The dimensions of flextensional transducers are much smaller than the wavelength, thereby hindering the generation of directional beams by compact underwater acoustic transducers. To address the complexities of amplitude and phase modulation in circuit-driven traditional directional flextensional transducers, a directional flextensional transducer structure is proposed in this work. By implementing an asymmetric composite shell configuration combining concave and convex curved beams, the low-frequency directional radiation is achieved while simplifying peripheral driving circuits, thereby improving the operational convenience and cost-effectiveness. Through an analysis of the vibration characteristics and radiation mechanisms, this study elucidates the principle of directional generation. The concave and convex beams of the flextensional transducer exhibit an intrinsic operational characteristic of opposite-phase normal displacement in their vibration modes. By adjusting structural parameters, the amplitude output from the two beams under a single actuator drive can satisfy a specific differential relationship, effectively resulting in the modal superposition of a monopole and a dipole, thereby achieving directional radiation. By using a Lorentzian resonance fitting function and a linear fitting function, the relationship between the frequency-dependent amplitude ratio and phase difference of sound pressure for the concave and convex beams is established, forming an unequal amplitude, unequal phase dual-spherical source radiation model for the transducer, thereby providing a theoretical framework for controlling the directivity of the transducer. Through numerical simulations, the effects of the transducer sidewall parameters, as well as the thicknesses and curvature radii of the concave and convex beams, on the transducer’s resonance frequency, transmitting voltage response, front-to-back sound pressure ratio, and directivity are analyzed. Sensitivity ranking of the structural parameters is also presented. Finally, the optimization of transducer’s performance is discussed and compared with that in other existing research, showing the advantages of this design. Specifically, the transducer achieves a maximum transmitting voltage response of 145.9 dB within the operating frequency band from 1240 Hz to 1660 Hz. Under single-circuit drive, a cardioid-shaped directional beam with a maximum front-to-back sound pressure ratio of 27 dB is produced. Furthermore, the shear stress on the active material is significantly reduced, effectively preventing fatigue failure of the active material during high-power emission. This provides a more convenient method for achieving low-frequency underwater acoustic directional emission.