-
近零场磁共振波谱和成像是一个快速发展的前沿领域, 其在化学样品快速分析和便携式磁共振诊断方面拥有巨大的应用潜力, 伴随着其核心部件原子磁力计的成熟, 国际上许多学者已提出相关的临床应用方案与计划. 近年来, 超极化技术的快速发展弥补了近零场磁共振信号强度不足的问题. 溶解动态核极化(dDNP)、仲氢超极化(PHIP/SABRE)、化学诱导动态核极化(CIDNP)以及自旋交换光抽运(SEOP)等超极化技术在近零场磁共振中已得到初步应用. 结合超极化技术, 可以摆脱磁铁, 显著提高磁共振信号强度, 从而推动近零场磁共振在化学分析与人体成像中的应用, 为快速的化学样品分析和基于磁共振成像的快速诊断提供更便携的工具. 本文将综述的相关研究进展.
Near-zero-field nuclear magnetic resonance (NMR) has become a rapidly developing spectroscopic and imaging method, providing promising opportunities for portable diagnostics and fast chemical analysis. A key technology is the atomic magnetometer, and its ongoing improvements have sparked growing interest in potential clinical applications. The near-zero-field NMR has long been limited by weak signal strength, but recent developments in the hyperpolarization method have provided an effective solution to this problem. Dissolution dynamic nuclear polarization (dDNP), parahydrogen-based polarization schemes (PHIP/SABRE), chemically induced dynamic nuclear polarization (CIDNP), and spin-exchange optical pumping (SEOP) have all demonstrated preliminary feasibility in this context. By combining such hyperpolarization strategies with near-zero-field detection, strong signals can be obtained without the need of traditional high-field magnets. This capability opens new pathways for applying near-zero-field NMR to both chemical sensing and biomedical imaging, enabling compact tools for rapid analysis and diagnostic applications. Here, we review the recent progress of the intersection of near-zero-field NMR and hyperpolarization techniques. -
Keywords:
- near-zero-field nuclear magnetic resonance /
- hyperpolarization /
- magnetometer /
- magnetic resonance imaging
[1] [2] [3] [4] [5] [6] [7] [8] [9] [10] [11] [12] [13] [14] [15] [16] [17] [18] [19] [20] [21] [22] [23] [24] [25] [26] [27] [28] [29] [30] [31] [32] [33] [34] [35] [36] [37] [38] [39] [40] [41] [42] [43] [44] [45] [46] [47] [48] [49] [50] [51] [52] [53] [54] [55] [56] [57] [58] [59] [60] [61] [62] [63] [64] [65] [66] [67] [68] [69] [70] [71] [72] [73] [74] [75] [76] [77] [78] [79] [80] [81] [82] [83] [84] [85] [86] [87] [88] [89] [90] [91] [92] [93] [94] [95] -
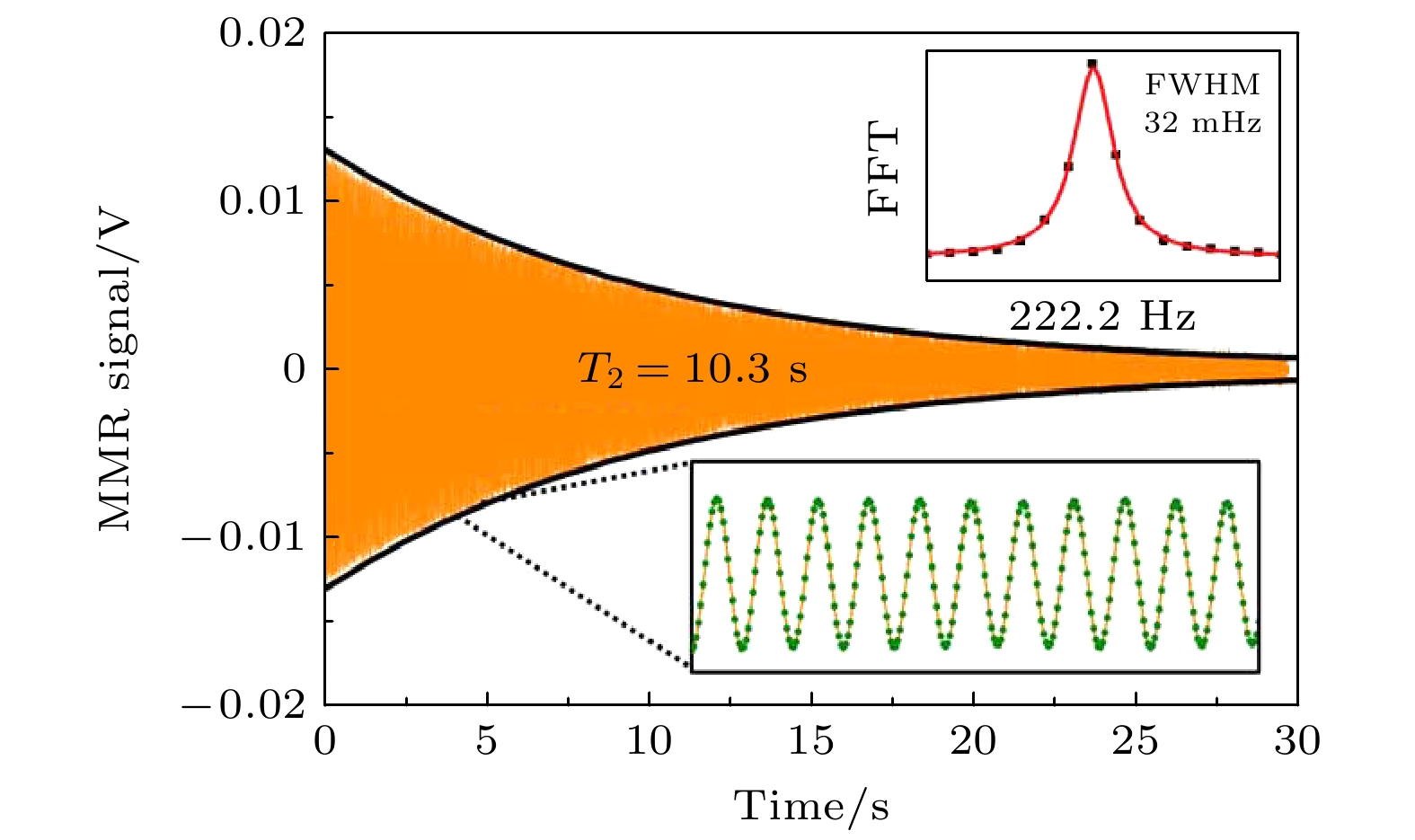
图 19 应用于化学分析[38]
图 20 应用于自旋重力耦合研究[91]
-
[1] [2] [3] [4] [5] [6] [7] [8] [9] [10] [11] [12] [13] [14] [15] [16] [17] [18] [19] [20] [21] [22] [23] [24] [25] [26] [27] [28] [29] [30] [31] [32] [33] [34] [35] [36] [37] [38] [39] [40] [41] [42] [43] [44] [45] [46] [47] [48] [49] [50] [51] [52] [53] [54] [55] [56] [57] [58] [59] [60] [61] [62] [63] [64] [65] [66] [67] [68] [69] [70] [71] [72] [73] [74] [75] [76] [77] [78] [79] [80] [81] [82] [83] [84] [85] [86] [87] [88] [89] [90] [91] [92] [93] [94] [95]
计量
- 文章访问数: 1595
- PDF下载量: 67
- 被引次数: 0








下载: