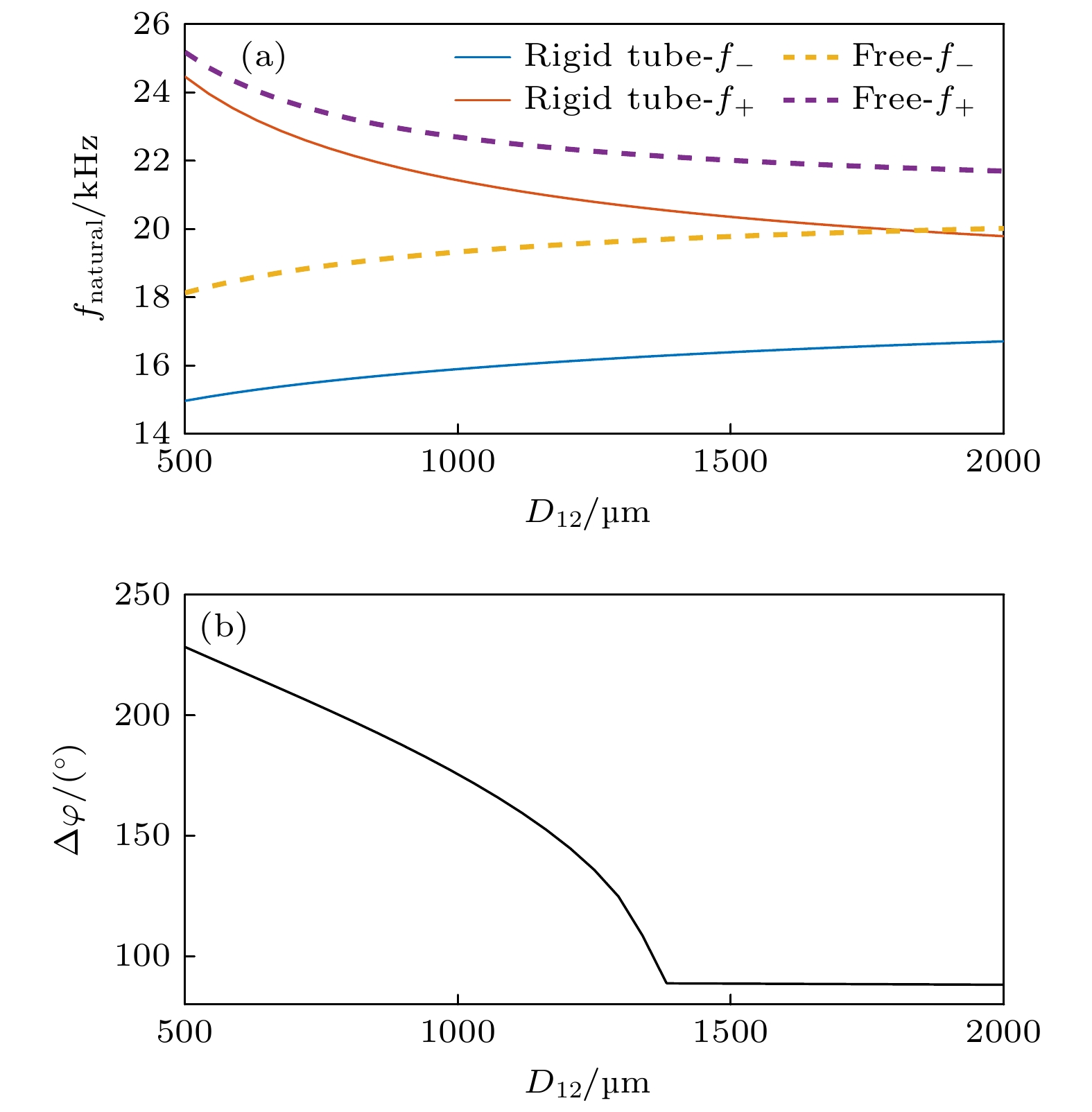
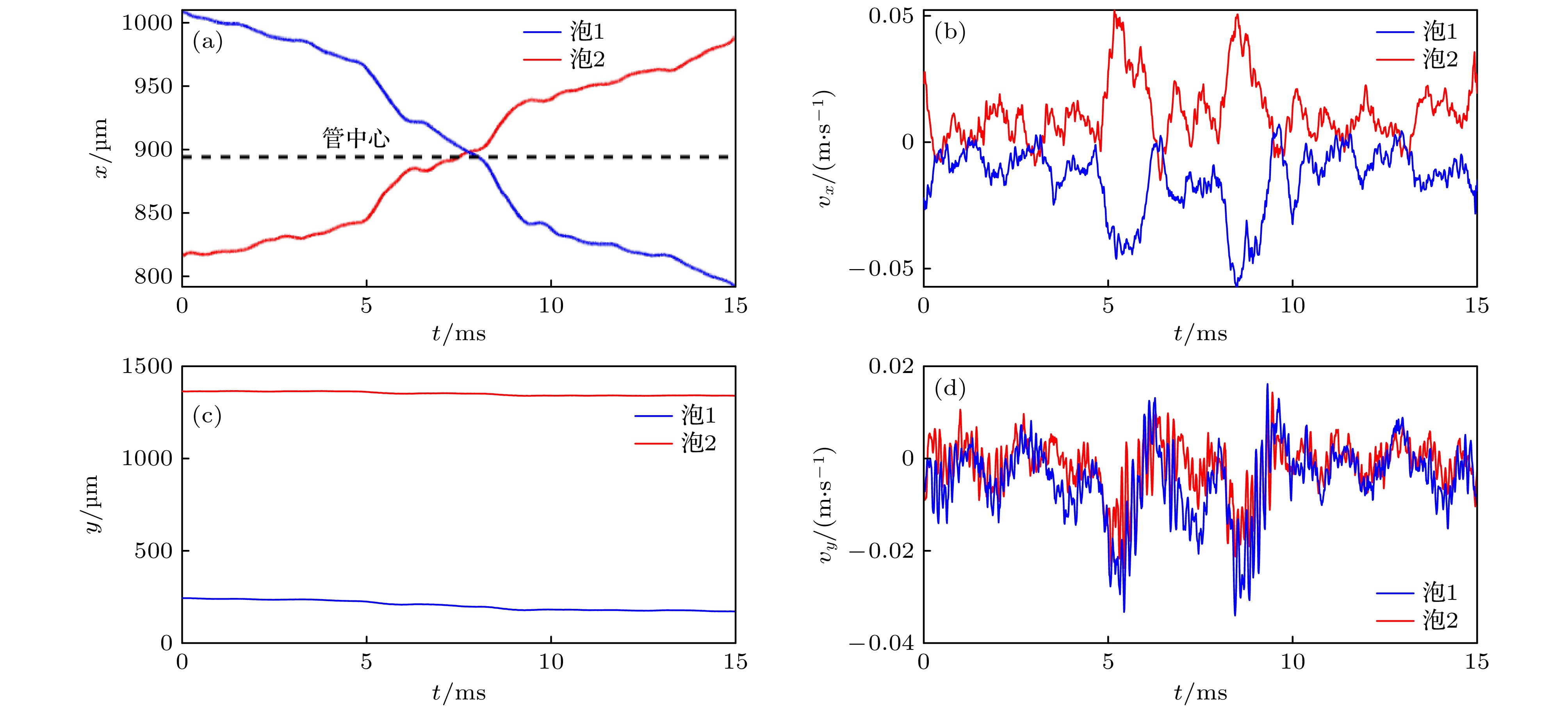
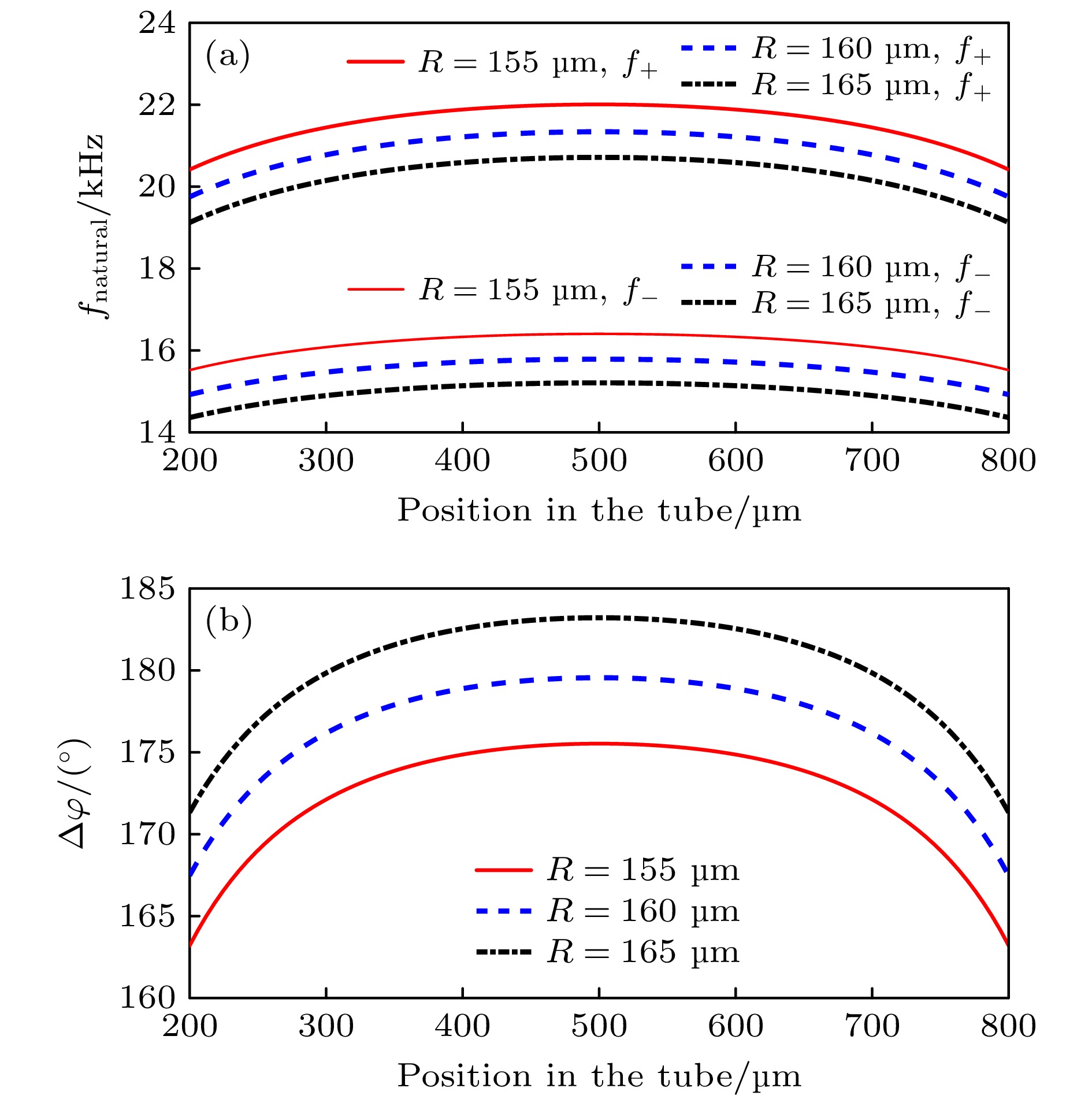
This study systematically investigates the bouncing behavior and dynamics of microbubbles under ultrasound excitation within a rigid capillary in order to offer quantitative insights into their oscillation characteristics, migration trajectories, and phase modulation mechanisms for applications in microfluidics, contrast-enhanced ultrasound imaging, and controlled drug delivery. A high-speed imaging system is employed to track the motion of single-, double-, and triple-bubble systems in a viscoelastic medium inside a capillary with a 0.5-mm inner diameter. Under a 28-kHz ultrasound field, bubble dynamics are captured at 100000 frames per second. Image processing techniques, including dynamic threshold segmentation and morphological operations, are employed to extract bubble contours and centroid trajectories. Spectral analysis via fast Fourier transform (FFT) is performed to identify oscillation frequencies and modulation characteristics. Experimental results show that a single bubble undergoes periodic lateral migration, with oscillation frequency slightly below the driving frequency, and that sideband distribution in its spectrum is asymmetric. In the two-bubble system, five different dynamic stages are identified: initial suppression, accelerated migration, interaction dominance, position exchange, and a secondary approach to the wall. The bubbles oscillate at a common dominant frequency of 27.32 kHz but maintain phase difference. Modulation sidebands of approximately 0.3 kHz are observed, indicating nonlinear coupling. The three-bubble system exhibits more complex spatiotemporal evolution, including sequential migration and transitions between triangular and mirror-symmetric configurations. A notable sideband at 0.1 kHz suggests that multi-bubble synergy enhances nonlinear behavior. The tube diameter and fluid viscosity are found to influence the bouncing period through added mass effects and viscous energy dissipation, respectively. The period increases significantly with tube diameter decreasing, and decreases with fluid viscosity lessening. Theoretical modeling incorporates the mirror bubble effect into the coupled Keller-Miksis equations to account for wall confinement, thus successfully simulating the oscillation and translation of confined microbubbles. Numerical analysis further indicates that inter-bubble distance, wall proximity, and medium viscosity modulate the dynamic behavior of the system. Specifically, the bubble resonance frequency is regulated by inter-bubble distance and wall confinement. The two-bubble system exhibits both in-phase and out-of-phase modes, with the latter being more sensitive to distance variation. Near the wall, the oscillation frequency decreases, and the phase difference attenuation accelerates. Increasing medium viscosity will weaken the phase coupling between bubbles, an effect which is particularly evident for smaller bubbles. This study not only enhances the understanding of multi-bubble synergistic effects in confined spaces but also provides a theoretical foundation and technical reference for optimizing ultrasound contrast agents, designing microfluidic devices, and developing targeted therapies in biomedicine.