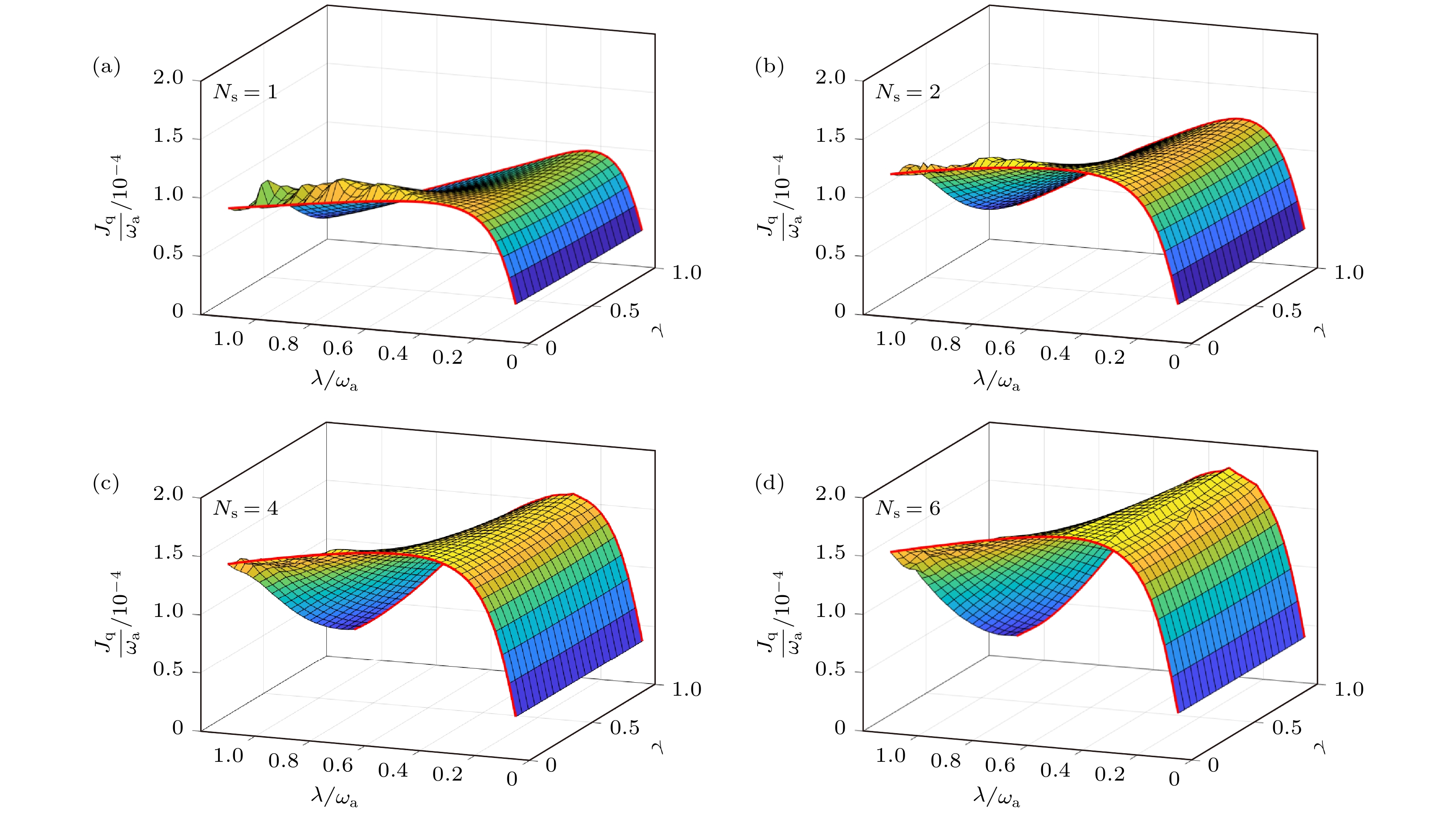
Nonequilibrium heat transport and quantum thermodynamics in quantum light-matter interacting systems have received increasing attention. Consequently, quantum thermal devices, such as heat valve and head diode, have been realized. Recently, it has been discovered that the anisotropic light-matter interactions can greatly modify the eigenvalues and corresponding eigenvectors of hybrid quantum systems, leading to nontrivial quantum phase transitions, quantum metrology, and nonclassicality of photons. To explore the influences of anisotropic light-matter interactions on quantum transport, we investigate heat flow in the nonequilibrium anisotropic Dicke model. In this model, an ensemble of qubits collectively interacts with an anisotropic photon field. Moreover, each component interacts with bosonic thermal reservoirs. The quantum dressed master equation (DME) is included to properly study dissipative dynamics of the anisotropic Dicke model. Within the eigenbasis of the reduced anisotropic Dicke system, the strong qubit-photon couplings can be properly handled. Our results demonstrate that anisotropic qubit-photon interactions are crucial for modulating steady-state heat flow. In particular, it is found that under strong coupling the heat flow is dramatically suppressed by a large anisotropic qubit-photon factor. While under moderate coupling, the anisotropic qubit-photon interactions enhance the heat flow. Moreover, the increase in the number of qubits amplifies the flow characteristics, with the peaks increasing and the valleys decreasing. Besides, we derive two analytical expressions of heat flows in the thermodynamic limit approximation with limiting anisotropic factors. These heat currents exhibit the cotunneling heat transport pictures. They also serve as the upper boundaries for the heat flows in the anisotropic Dicke model with finite qubit numbers. We also analyze the thermal rectification effect in the anisotropic Dicke model. It is found that a large temperature bias, a large anisotropic qubit-photon factor, and nonweak qubit-photon coupling are helpful in achieving the giant thermal rectification factor. We hope that these results can deepen the understanding of quantum heat transport in the anisotropic quantum light-matter interacting systems.